Đề thi tuyển sinh Toán vào lớp 10 (chuyên) năm 2025-2026 sở GD&ĐT Quảng Ninh
Khoahoc.vietjack.com cập nhật Đề thi tuyển sinh Toán vào lớp 10 (chuyên) năm 2025-2026 sở GD&ĐT Quảng Ninh sẽ giúp học sinh nắm được cấu trúc đề thi và có thêm tài liệu ôn thi vào lớp 10 môn Toán. Mời các bạn đón đọc:
- Bộ đề thi Toán vào 10 năm 2025 có đầy đủ lời giải chi tiết:
Xem thử Bộ đề thi thử vào 10 Toán 2025Xem thử Bộ đề thi vào 10 Toán 2025 Xem thử Chuyên đề Toán ôn vào 10
- Bộ đề thi vào 10 môn Toán Hà Nội, Tp.HCM, Đà Nẵng gồm 8 đề thi CHÍNH THỨC từ năm 2015 → 2024 có lời giải chi tiết giúp Giáo viên có thêm tài liệu ôn thi Toán vào 10 Hà Nội, Tp.HCM, Đà Nẵng:
Xem thử Đề vào 10 Hà NộiXem thử Đề vào 10 TP.HCMXem thử Đề vào 10 Đà Nẵng
Chỉ từ 150k mua trọn bộ Đề ôn thi vào 10 môn Toán năm 2026 theo cấu trúc mới bản word có lời giải chi tiết:
A. Tóm tắt nội dung một số câu trong Đề thi Toán vào lớp 10
Câu 4. (3,5 điểm) Cho đường tròn (O), đường kính BC (điểm O là tâm của đường tròn). Điểm A thay đổi thuộc đường tròn (0) sao cho AB <= AC và A khác B. Điểm H là hình chiếu vuông góc của A trên đường thẳng BC. Điểm D là điểm đối xứng với H qua C, điểm E là điểm đối xứng với H qua A. Tiếp tuyến tại A của đường tròn ngoại tiếp tam giác ABD cắt các đường thẳng EB, ED lần lượt tại M và N.
a) Chứng minh A là trực tâm tam giác BED.
b) Chứng minh M thuộc đường tròn (O).
c) Khi điểm A thay đổi và thỏa mãn các giả thiết của bài toán, tìm vị trí điểm A để AM.AN lớn nhất.
Câu 5. (0,5 điểm) Bạn Bình có 18 thẻ gỗ, mỗi thẻ được đánh một số bất kì từ 1 đến 2526 (mỗi số trên mỗi thẻ là một số tự nhiên). Chứng minh rằng bạn Bình có thể chọn ra 3 thẻ sao cho ba số trên 3 thẻ đó là độ dài ba cạnh của một tam giác.
...........................................................................................
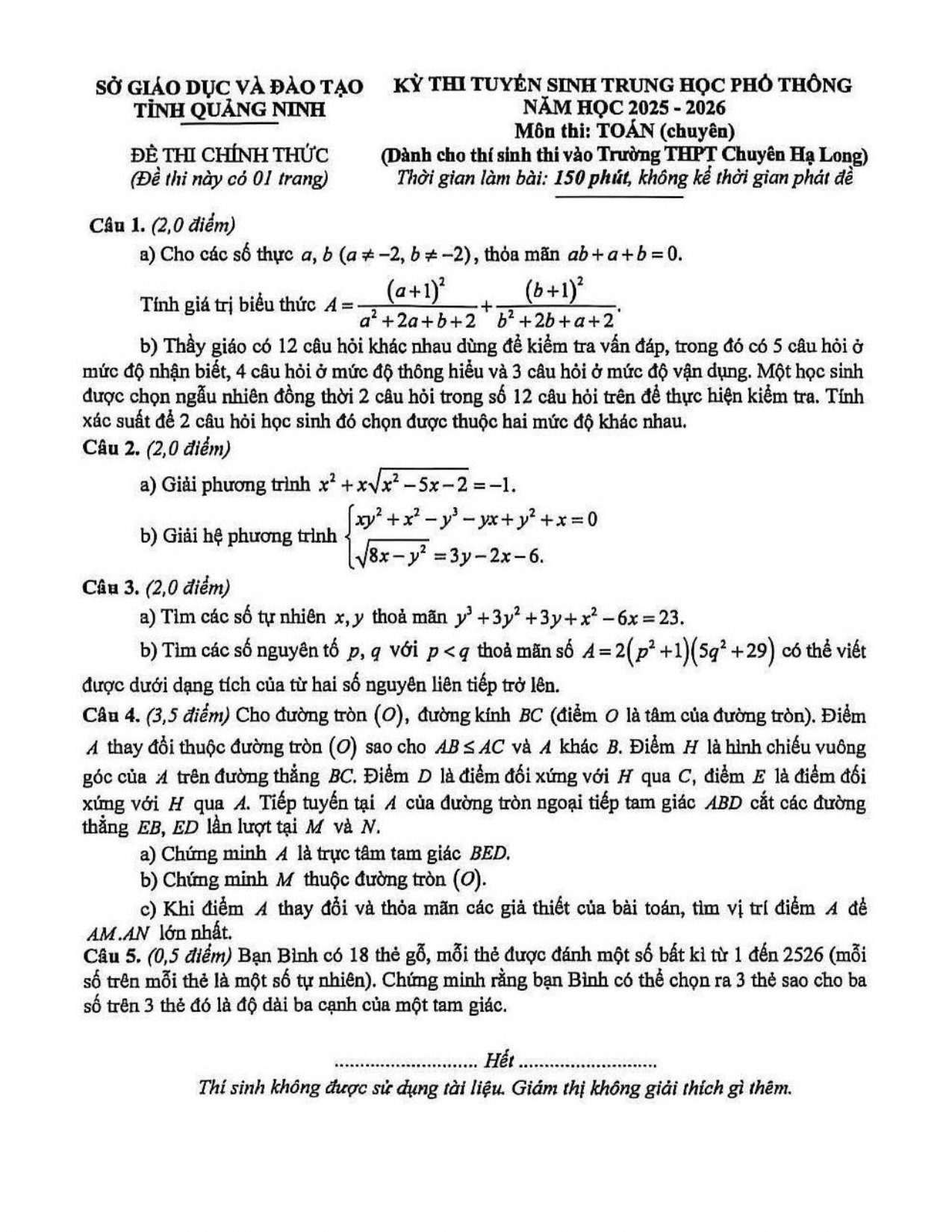
B. Nội dung Đề thi Toán vào lớp 10 (chuyên) năm 2025 - 2026 sở GD&ĐT Quảng Ninh




C. Chiến lược ôn thi vào 10 môn Toán hiệu quả
Qua đề thi tuyển sinh Toán vào lớp 10 (chuyên) năm 2025-2026 sở GD&ĐT Quảng Ninh trên, các em đã nắm được cấu trúc cũng như các dạng bài tập có trong đề thi. Cùng tham gia ôn luyện các Đề thi Toán vào lớp 10 mới nhất trên khoahoc.vietjack.com để ôn thi Toán đạt kết quả cao.
TÀI LIỆU LIÊN QUAN
Mở khóa kho tài liệu VIP cực lớn!
Không giới hạn lượt tải, xem tài liệu độc quyền từ các giáo viên hàng đầu.
Nâng cấp ngay