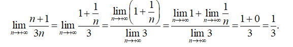
\(\mathop {\lim }\limits_{n \to + \infty } \frac{{n + 1}}{{3n}}\) bằng
Quảng cáo
Trả lời:
Đáp án đúng là: D

Hot: 1000+ Đề thi cuối kì 1 file word cấu trúc mới 2025 Toán, Văn, Anh... lớp 1-12 (chỉ từ 60k). Tải ngay
- Sách - Sổ tay kiến thức trọng tâm Vật lí 11 VietJack - Sách 2025 theo chương trình mới cho 2k8 ( 45.000₫ )
- Trọng tâm Sử, Địa, GD KTPL 11 cho cả 3 bộ Kết nối, Chân trời, Cánh diều VietJack - Sách 2025 ( 38.000₫ )
- Sách lớp 11 - Trọng tâm Toán, Lý, Hóa, Sử, Địa lớp 11 3 bộ sách KNTT, CTST, CD VietJack ( 52.000₫ )
- Sách lớp 10 - Combo Trọng tâm Toán, Văn, Anh và Lí, Hóa, Sinh cho cả 3 bộ KNTT, CD, CTST VietJack ( 75.000₫ )
CÂU HỎI HOT CÙNG CHỦ ĐỀ
Lời giải

a) Vì \(ABCD\) là hình bình hành tâm \(O\) nên \(O\) là trung điểm của \(AC,\,\,BD.\)
Xét \(\Delta SBD\) có: \(O,\,\,M\) lần lượt là trung điểm của \(BD,\,\,SB.\)
Suy ra \(OM\) là đường trung bình của \(\Delta SBD.\)
\( \Rightarrow OM//SD.\)
Hơn nữa \(SD \subset \left( {SCD} \right);\,\,OM\,\, \not\subset \left( {SCD} \right).\)
\( \Rightarrow OM{\rm{//}}\left( {SCD} \right).\)
b) Trong \(\left( {ABCD} \right)\) gọi \(K = AN \cap CD.\)
\[ \Rightarrow K \in AN;\,\,K \in CD.\]
Mà \(AN \subset \left( {AMN} \right)\) và \(CD \subset \left( {SCD} \right).\)
\( \Rightarrow K \in \left( {SCD} \right) \cap \left( {AMN} \right).\) (1)
Vì \(N\) là điểm trên cạnh \(BC\) sao cho \(BN = 2CN\) nên \(MN\) không song song với \(SC.\) Trong \(\left( {SBC} \right)\) gọi \[H = MN \cap SC.\]
\( \Rightarrow H \in MN;\,\,H \in SC.\)
Mà \(MN \subset \left( {AMN} \right)\) và \(SC \subset \left( {SCD} \right).\)
\( \Rightarrow H \in \left( {SCD} \right) \cap \left( {AMN} \right).\) (2)
Từ (1) và (2) ta có \(HK = \left( {SCD} \right) \cap \left( {AMN} \right).\)
Câu 2
Lời giải
Đáp án đúng là: D
Ta có: \(\sin \left( {\alpha + \frac{\pi }{6}} \right) = \sin \alpha \cos \frac{\pi }{6} + \cos \alpha \sin \frac{\pi }{6} = \frac{{\sqrt 3 }}{2}\sin \alpha + \frac{1}{2}\cos \alpha .\)
Lời giải
Bạn cần đăng ký gói VIP ( giá chỉ từ 199K ) để làm bài, xem đáp án và lời giải chi tiết không giới hạn.
Lời giải
Bạn cần đăng ký gói VIP ( giá chỉ từ 199K ) để làm bài, xem đáp án và lời giải chi tiết không giới hạn.
Câu 5
Lời giải
Bạn cần đăng ký gói VIP ( giá chỉ từ 199K ) để làm bài, xem đáp án và lời giải chi tiết không giới hạn.
Lời giải
Bạn cần đăng ký gói VIP ( giá chỉ từ 199K ) để làm bài, xem đáp án và lời giải chi tiết không giới hạn.
Câu 7
Lời giải
Bạn cần đăng ký gói VIP ( giá chỉ từ 199K ) để làm bài, xem đáp án và lời giải chi tiết không giới hạn.