Cho bốn số \(a,{\rm{ }}b\), \(c,{\rm{ }}d\) theo thứ tự đó tạo thành cấp số nhân với công bội khác \(1\). Biết tổng ba số hạng đầu bằng \(\frac{{148}}{9}\), đồng thời theo thứ tự đó chúng lần lượt là số hạng thứ nhất, thứ tư và thứ tám của một cấp số cộng. Tính giá trị biểu thức \(T = a - b + c - d\).
Cho bốn số \(a,{\rm{ }}b\), \(c,{\rm{ }}d\) theo thứ tự đó tạo thành cấp số nhân với công bội khác \(1\). Biết tổng ba số hạng đầu bằng \(\frac{{148}}{9}\), đồng thời theo thứ tự đó chúng lần lượt là số hạng thứ nhất, thứ tư và thứ tám của một cấp số cộng. Tính giá trị biểu thức \(T = a - b + c - d\).
Quảng cáo
Trả lời:
Chọn C

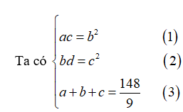
Và cấp số cộng có \({u_1} = a\) , \({u_4} = b\), \({u_8} = c\). Gọi \(x\) là công sai của cấp số cộng. Vì cấp số nhân có công bội khác \(1\) nên \(x \ne 0\).
Ta có : \(\left\{ \begin{array}{l}b = a + 3x\\c = a + 7x\end{array} \right.\) \(\left( 4 \right)\).
Từ \(\left( 1 \right)\) và \(\left( 4 \right)\) ta được : \(a\left( {a + 7x} \right) = {\left( {a + 3x} \right)^2}\)\( \Leftrightarrow ax - 9{x^2} = 0\).
Do \(x \ne 0\) nên \(a = 9x\).
Từ \(\left( 3 \right)\) và \(\left( 4 \right)\), suy ra \(3a + 10x = \frac{{148}}{9}\).
Do đó : \(\left\{ \begin{array}{l}a = 4\\x = \frac{4}{9}\end{array} \right.\) \( \Rightarrow \left\{ \begin{array}{l}b = \frac{{16}}{3}\\c = \frac{{64}}{9}\\d = \frac{{256}}{{27}}\end{array} \right.\).
Vậy \(T = a - b + c - d = \frac{{ - 100}}{{27}}\).
Hot: 1000+ Đề thi giữa kì 2 file word cấu trúc mới 2026 Toán, Văn, Anh... lớp 1-12 (chỉ từ 60k). Tải ngay
- Trọng tâm Sử, Địa, GD KTPL 11 cho cả 3 bộ Kết nối, Chân trời, Cánh diều VietJack - Sách 2025 ( 38.000₫ )
- Sách - Sổ tay kiến thức trọng tâm Vật lí 11 VietJack - Sách 2025 theo chương trình mới cho 2k8 ( 45.000₫ )
- Sách lớp 11 - Trọng tâm Toán, Lý, Hóa, Sử, Địa lớp 11 3 bộ sách KNTT, CTST, CD VietJack ( 52.000₫ )
- Sách lớp 10 - Combo Trọng tâm Toán, Văn, Anh và Lí, Hóa, Sinh cho cả 3 bộ KNTT, CD, CTST VietJack ( 75.000₫ )
CÂU HỎI HOT CÙNG CHỦ ĐỀ
Câu 1
Lời giải
Chọn D

Gọi \(K = \left( P \right) \cap BD\), \(L = \left( P \right) \cap BC\), \(E = \left( P \right) \cap CD\).
Vì \(\left( P \right)\,\,//\,AB\) nên \(IL\,//\,AB\), \(JK\,//\,AB\). Do đó \(IJKL\) hình thang và \(L\) là trung điểm cạnh \(BC\), nên ta có \(\frac{{KD}}{{KB}} = \frac{{JD}}{{JA}} = \frac{1}{2}\).
Xét tam giác \(ACD\) có \(I\), \(J\), \(E\) thẳng hàng. Áp dụng định lí Mê-nê-la-uýt ta có:
\(\frac{{ED}}{{EC}}.\frac{{IC}}{{IA}}.\frac{{JA}}{{JD}} = 1 \Rightarrow \frac{{ED}}{{EC}} = \frac{1}{2} \Rightarrow D\) là trung điểm \(EC\).
Dễ thấy hai tam giác \(ECI\) và \(ECL\) bằng nhau theo trường hợp c-g-c.
Áp dụng định lí cosin cho tam giác \(ICE\) ta có:
\(E{I^2} = E{C^2} + I{C^2} - 2EC.IC.\cos 60^\circ = \frac{{13{a^2}}}{4}\)\( \Rightarrow EL = EI = \frac{{a\sqrt {13} }}{2}\).
Áp dụng công thức Hê-rông cho tam giác \(ELI\) ta có: \({S_{ELI}} = \sqrt {p{{\left( {p - x} \right)}^2}\left( {p - y} \right)} = \frac{{\sqrt {51} }}{{16}}{a^2}\)
Với \(p = \frac{{EI + EL + IL}}{2} = \frac{{2\sqrt {13} + 1}}{4}a\), \(x = EI = EL = \frac{{\sqrt {13} }}{2}a\), \(y = IL = \frac{a}{2}\).
Hai tam giác \(ELI\) và tam giác \(EKJ\) đồng dạng với nhau theo tỉ số \(k = \frac{2}{3}\) nên
Do đó: \({S_{IJKL}} = {S_{ELI}} - {S_{EKJ}} = {S_{ELI}} - {\left( {\frac{2}{3}} \right)^2}{S_{ELI}} = \frac{{5\sqrt {51} }}{{144}}{a^2}\).
Câu 2
Lời giải
Chọn A
Ta có \(\mathop {\lim }\limits_{x \to \sqrt 3 } \frac{{2{x^2} - 6}}{{x - \sqrt 3 }} = \mathop {\lim }\limits_{x \to \sqrt 3 } \frac{{2\left( {{x^2} - 3} \right)}}{{x - \sqrt 3 }} = \mathop {\lim }\limits_{x \to \sqrt 3 } 2\left( {x + \sqrt 3 } \right) = 4\sqrt 3 \).
Suy ra \(a = 4\), \(b = 3\). Vậy \(P = a + b = 7\).
Câu 3
Lời giải
Bạn cần đăng ký gói VIP ( giá chỉ từ 199K ) để làm bài, xem đáp án và lời giải chi tiết không giới hạn.
Câu 4
Lời giải
Bạn cần đăng ký gói VIP ( giá chỉ từ 199K ) để làm bài, xem đáp án và lời giải chi tiết không giới hạn.
Lời giải
Bạn cần đăng ký gói VIP ( giá chỉ từ 199K ) để làm bài, xem đáp án và lời giải chi tiết không giới hạn.
Câu 6
Lời giải
Bạn cần đăng ký gói VIP ( giá chỉ từ 199K ) để làm bài, xem đáp án và lời giải chi tiết không giới hạn.
Câu 7
Lời giải
Bạn cần đăng ký gói VIP ( giá chỉ từ 199K ) để làm bài, xem đáp án và lời giải chi tiết không giới hạn.

