Diện tích phần hình phẳng tô đậm trong hình vẽ bên được tính theo công thức nào dưới đây?





Quảng cáo
Trả lời:
Đáp án đúng là \({\bf{B}}\)
Phương pháp giải
Ứng dụng tích phân tính diện tích
Lời giải
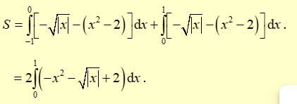
Dựa vào hình vẽ ta có:

Hot: 1000+ Đề thi cuối kì 2 file word cấu trúc mới 2026 Toán, Văn, Anh... lớp 1-12 (chỉ từ 60k). Tải ngay
CÂU HỎI HOT CÙNG CHỦ ĐỀ
Câu 1
Lời giải
Đáp án đúng là C
Phương pháp giải
Lời giải
Cái săm được coi như là vật thể tròn xoay được tạo thành khi quay hình tròn bán kính \(R = \frac{{31 - 21}}{2} = 5\left( {{\rm{cm}}} \right)\) quanh trục \(Ox\) (hình vẽ)

Phương trình đường tròn \({x^2} + {(y - 26)^2} = 25 \Leftrightarrow \left[ {\begin{array}{*{20}{l}}{y = 26 + \sqrt {25 - {x^2}} }\\{y = 26 - \sqrt {25 - {x^2}} }\end{array}} \right.\)
Vậy thể tích khối không khí trong cái săm là:

\( = \pi \int\limits_{ - 5}^5 {104\sqrt {25 - {x^2}} dx} = 1300{\pi ^2}\)
Lời giải
Đáp án đúng là C
Phương pháp giải
Tính toán độ tan của muối X rồi so với bảng tính tan.
Lời giải
Độ tan của muối X là: \[\frac{{150}}{{200}}.100 = 75{\rm{g/}}100{\rm{g}}\,{{\rm{H}}_2}{\rm{O}}\].
Vậy muối X là Ca(NO3)2.
Chọn đáp án C.
Câu 3
Lời giải
Bạn cần đăng ký gói VIP ( giá chỉ từ 250K ) để làm bài, xem đáp án và lời giải chi tiết không giới hạn.
Lời giải
Bạn cần đăng ký gói VIP ( giá chỉ từ 250K ) để làm bài, xem đáp án và lời giải chi tiết không giới hạn.
Câu 5
Lời giải
Bạn cần đăng ký gói VIP ( giá chỉ từ 250K ) để làm bài, xem đáp án và lời giải chi tiết không giới hạn.
Lời giải
Bạn cần đăng ký gói VIP ( giá chỉ từ 250K ) để làm bài, xem đáp án và lời giải chi tiết không giới hạn.
Câu 7
b. Vì nó có một trung tâm điều hành giúp kiểm soát sự chú ý và xử lý thông tin.
Lời giải
Bạn cần đăng ký gói VIP ( giá chỉ từ 250K ) để làm bài, xem đáp án và lời giải chi tiết không giới hạn.


