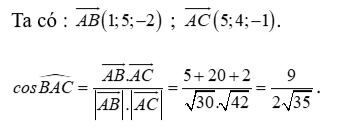
Trong không gian tọa độ Oxyz cho ba điểm A(-1;-2;3) ,B(0;3;1) , C(4;2;2). Cosin của góc BAC là
A. .
Quảng cáo
Trả lời:

Hot: 1000+ Đề thi giữa kì 2 file word cấu trúc mới 2026 Toán, Văn, Anh... lớp 1-12 (chỉ từ 60k). Tải ngay
- 500 Bài tập tổng ôn môn Toán (Form 2025) ( 38.500₫ )
- 250+ Công thức giải nhanh môn Toán 12 (chương trình mới) ( 18.000₫ )
- Sổ tay lớp 12 các môn Toán, Lí, Hóa, Văn, Sử, Địa, KTPL (chương trình mới) ( 36.000₫ )
- Bộ đề thi tốt nghiệp 2025 các môn Toán, Lí, Hóa, Văn, Anh, Sinh, Sử, Địa, KTPL (có đáp án chi tiết) ( 36.000₫ )
CÂU HỎI HOT CÙNG CHỦ ĐỀ
Lời giải
Ta đặt \[A(a;0;0)\],\[B(0;b;0)\],\[C(0;0;c)\].
\[\overrightarrow {SA} = (a - 1; - 2; - 3)\]; \[\overrightarrow {SB} = ( - 1;b - 2; - 3)\]; \[\overrightarrow {SC} = ( - 1; - 2;c - 3)\].
Vì \(SA\), \(SB\), \(SC\) đôi một vuông góc nên
\[\left\{ \begin{array}{l}\overrightarrow {SA} \bot \overrightarrow {SB} \\\overrightarrow {SB} \bot \overrightarrow {SC} \\\overrightarrow {SA} \bot \overrightarrow {SC} \end{array} \right. \Leftrightarrow \left\{ \begin{array}{l}\overrightarrow {SA} .\overrightarrow {SB} = 0\\\overrightarrow {SB} .\overrightarrow {SC} = 0\\\overrightarrow {SA} .\overrightarrow {SC} = 0\end{array} \right.\]\[ \Leftrightarrow \left\{ \begin{array}{l}a + 2b = 14\\2b + 3c = 14\\a + 3c = 14\end{array} \right. \Leftrightarrow \left\{ \begin{array}{l}a = 7\\b = \frac{7}{2}\\c = \frac{7}{3}\end{array} \right.\].
Do \(SA\), \(SB\), \(SC\) đôi một vuông góc, nên: \({V_{SABC}} = \frac{1}{6}SA.SB.SC = \frac{1}{6}.7.\frac{7}{2}.\frac{7}{3} = \frac{{343}}{{36}}\).
a) Sai.
b) Đúng.
c) Sai.
d) Đúng.
Lời giải
Ta có: \[M{A^2} + M{B^2} + M{C^2}\]
\[ = {\overrightarrow {MA} ^2} + {\overrightarrow {MB} ^2} + {\overrightarrow {MC} ^2}\]
\[ = {\left( {\overrightarrow {MG} + \overrightarrow {GA} } \right)^2} + {\left( {\overrightarrow {MG} + \overrightarrow {GB} } \right)^2} + {\left( {\overrightarrow {MG} + \overrightarrow {GC} } \right)^2}\]
\[ = 3{\overrightarrow {MG} ^2} + 2\overrightarrow {MG} .\left( {\overrightarrow {GA} + \overrightarrow {GB} + \overrightarrow {GC} } \right) + {\overrightarrow {GA} ^2} + {\overrightarrow {GB} ^2} + {\overrightarrow {GC} ^2}\]
Ta chọn điểm \[G\] sao cho : \[\overrightarrow {GA} + \overrightarrow {GB} + \overrightarrow {GC} = \overrightarrow 0 \]\[ \Rightarrow G\left( {1;2;3} \right)\]
Ta có: \[M{A^2} + M{B^2} + M{C^2}\]\[ = 3{\overrightarrow {MG} ^2} + \left( {{{\overrightarrow {GA} }^2} + {{\overrightarrow {GB} }^2} + {{\overrightarrow {GC} }^2}} \right)\] và \[{\overrightarrow {GA} ^2} + {\overrightarrow {GB} ^2} + {\overrightarrow {GC} ^2}\] không đổi
Do đó: \[M{A^2} + M{B^2} + M{C^2}\] nhỏ nhất khi và chỉ khi \[{\overrightarrow {MG} ^2} = M{G^2}\] nhỏ nhất
khi và chỉ khi \[M\] là hình chiếu vuông góc của \[G\] lên mặt phẳng \[\left( {Oxy} \right)\]
\[ \Rightarrow M\left( {1;0;0} \right)\]\[ \Rightarrow M{I^2} = 26\].
Lời giải
Bạn cần đăng ký gói VIP ( giá chỉ từ 199K ) để làm bài, xem đáp án và lời giải chi tiết không giới hạn.
Lời giải
Bạn cần đăng ký gói VIP ( giá chỉ từ 199K ) để làm bài, xem đáp án và lời giải chi tiết không giới hạn.
Câu 5
Lời giải
Bạn cần đăng ký gói VIP ( giá chỉ từ 199K ) để làm bài, xem đáp án và lời giải chi tiết không giới hạn.
Câu 6
Lời giải
Bạn cần đăng ký gói VIP ( giá chỉ từ 199K ) để làm bài, xem đáp án và lời giải chi tiết không giới hạn.
Lời giải
Bạn cần đăng ký gói VIP ( giá chỉ từ 199K ) để làm bài, xem đáp án và lời giải chi tiết không giới hạn.