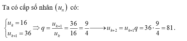
Một cấp số nhân có hai số hạng liên tiếp là 16 và 36. Số hạng tiếp theo là
720.
81.
64.
56.
Câu hỏi trong đề: Bộ 10 đề thi cuối kì 1 Toán 11 Cánh diều có đáp án !!
Quảng cáo
Trả lời:
Đáp án đúng là: B

Hot: 1000+ Đề thi cuối kì 2 file word cấu trúc mới 2026 Toán, Văn, Anh... lớp 1-12 (chỉ từ 60k). Tải ngay
CÂU HỎI HOT CÙNG CHỦ ĐỀ
Câu 1
\(\left( {BMN} \right){\rm{//}}\left( {SCD} \right).\)
\(\left( {BMN} \right){\rm{//}}\left( {SAD} \right).\)
\(\left( {BMN} \right){\rm{//}}\left( {ABCD} \right).\)
\(\left( {BMN} \right){\rm{//}}\left( {SBC} \right).\)
Lời giải
Đáp án đúng là: A

Vì \(N\) là trung điểm của \(AD\) nên \(NA = ND = \frac{{AD}}{2} = BC.\)
Xét tứ giác \(BCDN\) có: \(ND = BC\) và \(ND{\rm{//}}BC\) (do \(AD{\rm{//}}BC\)).
Suy ra \(BCDN\) là hình bình hành.
\( \Rightarrow NB{\rm{//}}CD\) mà \(CD \subset \left( {SCD} \right)\) nên \(NB{\rm{//}}\left( {SCD} \right).\)
Xét tam giác \(SAD\) có: \(M,\,\,N\) lần lượt là trung điểm của \(SA\) và \(AD.\)
Suy ra \(MN\) là đường trung bình của tam giác \(SAD.\)
\( \Rightarrow MN{\rm{//}}SD\) mà \(SD \subset \left( {SCD} \right)\) nên \(MN{\rm{//}}\left( {SCD} \right).\)
Ta có: \(NB{\rm{//}}\left( {SCD} \right);\,\,MN{\rm{//}}\left( {SCD} \right)\) và \(NB \cap MN = N\) trong \(\left( {BMN} \right).\)
\( \Rightarrow \left( {BMN} \right){\rm{//}}\left( {SCD} \right).\)
Câu 2
Điểm \(S.\)
Trung điểm của \(BC.\)
Điểm \(B.\)
Điểm \(C.\)
Lời giải
Đáp án đúng là: C

Do \(AB \cap \left( {SBC} \right) = B\) suy ra hình chiếu song song của điểm \(A\) theo phương \(AB\) lên mặt phẳng \(\left( {SBC} \right)\) là điểm \(B.\)
Câu 3
\(f\left( x \right) = \frac{{2{x^2} + 6x + 1}}{{x + 2}}\).
\(f\left( x \right) = \frac{{x + 1}}{{x - 2}}\).
\(f\left( x \right) = \frac{{{x^2} + x + 1}}{{x - 2}}\).
\(f\left( x \right) = \frac{{3{x^2} - x - 2}}{{{x^2} - 4}}\).
Lời giải
Bạn cần đăng ký gói VIP ( giá chỉ từ 250K ) để làm bài, xem đáp án và lời giải chi tiết không giới hạn.
Lời giải
Bạn cần đăng ký gói VIP ( giá chỉ từ 250K ) để làm bài, xem đáp án và lời giải chi tiết không giới hạn.
Lời giải
Bạn cần đăng ký gói VIP ( giá chỉ từ 250K ) để làm bài, xem đáp án và lời giải chi tiết không giới hạn.
Lời giải
Bạn cần đăng ký gói VIP ( giá chỉ từ 250K ) để làm bài, xem đáp án và lời giải chi tiết không giới hạn.
Câu 7
\(\left( {ABCD} \right).\)
\(\left( {SAC} \right).\)
\(\left( {SAD} \right).\)
\(\left( {SBD} \right).\)
Lời giải
Bạn cần đăng ký gói VIP ( giá chỉ từ 250K ) để làm bài, xem đáp án và lời giải chi tiết không giới hạn.

