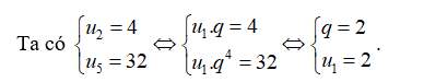
Cho cấp nhân có số hạng \({u_2} = 4,{u_5} = 32\). Tìm số hạng thứ 20 của cấp số nhân đó.
Cho cấp nhân có số hạng \({u_2} = 4,{u_5} = 32\). Tìm số hạng thứ 20 của cấp số nhân đó.
Quảng cáo
Trả lời:

Số hạng thứ 20 của cấp số nhân đó là \({u_{20}} = {u_1}.{q^{19}} = {2^{20}} = 1048576\).
Hot: 1000+ Đề thi giữa kì 2 file word cấu trúc mới 2026 Toán, Văn, Anh... lớp 1-12 (chỉ từ 60k). Tải ngay
- Trọng tâm Hóa học 11 dùng cho cả 3 bộ sách Kết nối, Cánh diều, Chân trời sáng tạo VietJack - Sách 2025 ( 58.000₫ )
- Sách - Sổ tay kiến thức trọng tâm Vật lí 11 VietJack - Sách 2025 theo chương trình mới cho 2k8 ( 45.000₫ )
- Sách lớp 11 - Trọng tâm Toán, Lý, Hóa, Sử, Địa lớp 11 3 bộ sách KNTT, CTST, CD VietJack ( 52.000₫ )
- Sách lớp 10 - Combo Trọng tâm Toán, Văn, Anh và Lí, Hóa, Sinh cho cả 3 bộ KNTT, CD, CTST VietJack ( 75.000₫ )
CÂU HỎI HOT CÙNG CHỦ ĐỀ
Lời giải

a) Do \(ABCD\) là hình bình hành nên \(CD\,{\rm{//}}\,AB\).
Ta có: \(\left\{ \begin{array}{l}CD\,{\rm{//}}\,AB\\CD\, \not\subset \,\,(\,SAB\,)\,\,\\AB\, \subset \,(SAB\,)\end{array} \right.\, \Rightarrow \,CD\,{\rm{//}}\,(\,SAB)\) (điều phải chứng minh).
b) Ta có \(OM,MN\) là đường trung bình của tam giác \(SAC\) và tam giác \(SBD\)
\(\left\{ \begin{array}{l}OM||SA\\OM \not\subset \left( {SAB} \right)\\SA \subset \left( {SAB} \right)\end{array} \right. \Rightarrow OM//\left( {SAB} \right)\)(1)
\(\left\{ \begin{array}{l}ON||SB\\ON \not\subset \left( {SAB} \right)\\SB \subset \left( {SAB} \right)\end{array} \right. \Rightarrow ON//\left( {SAB} \right)\) (2)
Từ (1), (2) và \(ON \cap OM = O,OM,ON \subset \left( {OMN} \right) \Rightarrow \left( {OMN} \right)//\left( {SAB} \right)\)
c) Gọi \((P)\) là mặt phẳng đi qua điểm \(O\) và song song với mặt phẳng \(\left( {SBC} \right)\). Xác định giao tuyến của mặt phẳng \((P)\)với các mặt phẳng \[(ABCD)\]và \[(SAB)\].
Ta có \[\left\{ \begin{array}{l}O \in \left( P \right) \cap \left( {ABCD} \right)\\\left( P \right)//\left( {SBC} \right)\\\left( {ABCD} \right) \cap \left( {SBC} \right) = BC\end{array} \right. \Rightarrow \left( P \right) \cap \left( {ABCD} \right) = Ox,Ox//BC\]
Gọi \(Ox \cap AB = Q\)
\[\left\{ \begin{array}{l}Q \in \left( P \right) \cap \left( {SAB} \right)\\\left( P \right)//\left( {SBC} \right)\\\left( {SAB} \right) \cap \left( {SBC} \right) = SB\end{array} \right. \Rightarrow \left( P \right) \cap \left( {SAB} \right) = Qy,Oy//SB\].
d)
Cách 1:

Gọi \(F\) là giao điểm của \(AE\) và \(CD\) trong mặt phẳng \(\left( {ABCD} \right)\).
Ta có: \(\left\{ \begin{array}{l}GE \subset \left( {ANF} \right)\\GE//\left( {SCD} \right)\\\left( {ANF} \right) \cap \left( {SCD} \right) = NF\end{array} \right. \Rightarrow GE//NF\)
\( \Rightarrow \frac{{FE}}{{FA}} = \frac{{NG}}{{NA}} = \frac{1}{3}\)
Theo Talet, ta có: \(\frac{{EC}}{{AD}} = \frac{{FE}}{{FA}} = \frac{1}{3}\)\( \Rightarrow EC = \frac{1}{3}AD = \frac{1}{3}BC \Rightarrow \frac{{EB}}{{EC}} = 2\)
Nhận xét: \(\Delta EAB\) và \(\Delta EAC\) có chung đường cao kẻ từ \(A\).
Do đó: \(\frac{{{S_{\Delta EAB}}}}{{{S_{\Delta EAC}}}} = \frac{{EB}}{{EC}} = 2\).
Cách 2:
Vẽ \(GF\) song song với \(SD\)\(\left( {F \in AD} \right)\).
Ta chứng minh được: \(\left( {GEF} \right)//\left( {SCD} \right) \Rightarrow EF//CD\)
Từ đó suy ra được:
\(\frac{{EC}}{{BC}} = \frac{{FD}}{{AD}} = \frac{{GN}}{{AN}} = \frac{1}{3} \Rightarrow EC = \frac{1}{3}BC\)
Nhận xét: \(\Delta EAB\) và \(\Delta EAC\) có chung đường cao kẻ từ \(A\)
Do đó: \(\frac{{{S_{\Delta EAB}}}}{{{S_{\Delta EAC}}}} = \frac{{EB}}{{EC}} = 2\)
Lời giải
Gọi \[x\] là số tiền bác An gửi ngân hàng \[MSB\].
\[320000000 - x\] là số tiền bác An gửi ngân hàng VietinBank.
Sau 15 tháng số tiền lãi ở ngân hàng \[MSB\] là \[x{(1 + 2,1\% )^5} - x\].
Sau 9 tháng số tiền lãi ở ngân hàng VietinBank là \[(320000000 - x){(1 + 0.73\% )^9} - (320000000 - x)\].
Ta có \[x{(1 + 2,1\% )^5} - x + (320000000 - x){(1 + 0,73\% )^9} - (320000000 - x) = 26670725,95\].
\[ \Leftrightarrow x = 120000000\].
Vậy số tiền bác An gửi vào hai ngân hàng\[MSB\]là \(120\) triệu đồng và ngân hàng VietinBank \(200\) triệu đồng
Lời giải
Bạn cần đăng ký gói VIP ( giá chỉ từ 199K ) để làm bài, xem đáp án và lời giải chi tiết không giới hạn.
Lời giải
Bạn cần đăng ký gói VIP ( giá chỉ từ 199K ) để làm bài, xem đáp án và lời giải chi tiết không giới hạn.
Lời giải
Bạn cần đăng ký gói VIP ( giá chỉ từ 199K ) để làm bài, xem đáp án và lời giải chi tiết không giới hạn.
Câu 6
Lời giải
Bạn cần đăng ký gói VIP ( giá chỉ từ 199K ) để làm bài, xem đáp án và lời giải chi tiết không giới hạn.