Đề thi Đánh giá năng lực Bộ Quốc phòng phần Lịch sử - Địa lý (có đáp án) - Đề số 10
99 người thi tuần này 4.6 99 lượt thi 50 câu hỏi
Bạn cần đăng ký gói VIP ( giá chỉ từ 250K ) để làm bài, xem đáp án và lời giải chi tiết không giới hạn.
🔥 Học sinh cũng đã học
Đề thi Đánh giá năng lực Bộ Quốc phòng phần Lịch sử - Địa lý (có đáp án) - Đề số 10
Đề thi Đánh giá năng lực Bộ Quốc phòng phần Lịch sử - Địa lý (có đáp án) - Đề số 9
Đề thi Đánh giá năng lực Bộ Quốc phòng phần Lịch sử - Địa lý (có đáp án) - Đề số 8
Đề thi Đánh giá năng lực Bộ Quốc phòng phần Lịch sử - Địa lý (có đáp án) - Đề số 7
Đề thi Đánh giá năng lực Bộ Quốc phòng phần Lịch sử - Địa lý (có đáp án) - Đề số 6
Đề thi Đánh giá năng lực Bộ Quốc phòng phần Lịch sử - Địa lý (có đáp án) - Đề số 5
Đề thi Đánh giá năng lực Bộ Quốc phòng phần Lịch sử - Địa lý (có đáp án) - Đề số 4
Đề thi Đánh giá năng lực Bộ Quốc phòng phần Lịch sử - Địa lý (có đáp án) - Đề số 3
Danh sách câu hỏi:
Câu 1
Tập trung giúp các quốc gia hiện đại hóa quân đội.
Tham gia giải quyết các xung đột ở nhiều khu vực.
Hỗ trợ các nước về vốn để mua nhiều vũ khí hiện đại.
Tổ chức thường xuyên các chiến dịch quân sự đặc biệt.
Lời giải
Đáp án đúng là: B
Vai trò duy trì hòa bình và an ninh quốc tế của Liên hợp quốc gắn liền trực tiếp với hoạt động tham gia giải quyết các xung đột ở nhiều khu vực trên thế giới. Thông qua các phái bộ gìn giữ hòa bình, trung gian hòa giải và các nghị quyết của Hội đồng Bảo an, Liên hợp quốc góp phần ngăn chặn chiến tranh và ổn định tình hình quốc tế.
Câu 2
Đa phương hóa.
Khu vực hóa.
Đa cực.
Toàn cầu hóa.
Lời giải
Đáp án đúng là: D
Sự phát triển mạnh của thương mại thế giới, vai trò ngày càng lớn của các công ty xuyên quốc gia và sự quốc tế hóa tài chính là những biểu hiện điển hình của xu thế toàn cầu hóa sau Chiến tranh lạnh. Toàn cầu hóa thể hiện ở sự gia tăng mạnh mẽ các mối liên hệ và phụ thuộc lẫn nhau giữa các quốc gia/ các dân tộc trên phạm vi toàn thế giới.
Câu 3
Thành lập Hội Quốc liên để duy trì hoà bình thế giới.
Thúc đẩy Chiến tranh thế giới thứ hai nhanh kết thúc.
Dấn đến sự ra đời của các tổ chức liên kết kinh tế toàn cầu.
Thống nhất xóa bỏ vũ khí hạt nhân bảo đảm hòa bình thế giới.
Lời giải
Đáp án đúng là: B
Hội nghị Ianta (2-1945) đã đưa ra nhiều quyết định quan trọng nhằm nhanh chóng kết thúc Chiến tranh thế giới thứ hai, trong đó có việc Liên Xô cam kết tham chiến chống Nhật. Những thỏa thuận này góp phần thúc đẩy chiến tranh đi đến hồi kết.
Câu 4
Mở đầu cho quá trình hình thành liên minh khu vực.
Thúc đẩy sự phát triển của quá trình liên kết khu vực.
Xóa bỏ được mọi mâu thuẫn giữa các nước Đông Nam Á.
Hoàn thành quá trình phát triển từ ASEAN 5 lên ASEAN 10.
Lời giải
Đáp án đúng là: B
Việt Nam gia nhập ASEAN năm 1995 đã góp phần thúc đẩy mạnh mẽ quá trình liên kết khu vực Đông Nam Á, mở rộng hợp tác và tăng cường vị thế của tổ chức. Sự kiện này không phải là mốc mở đầu hình thành ASEAN và cũng chưa hoàn tất quá trình ASEAN 10, vì vậy phương án B là phù hợp nhất.
Câu 5
Trung Quốc, Nga, Việt Nam, Lào.
Trung Quốc, Việt Nam, Lào, Cuba.
Hàn Quốc, Triều Tiên, Việt Nam.
Lào, Cuba, Hàn Quốc, Nhật Bản.
Lời giải
Đáp án đúng là: B
Sau năm 1991, khi hệ thống xã hội chủ nghĩa ở Đông Âu và Liên Xô tan rã, chỉ còn một số quốc gia tiếp tục kiên trì xây dựng chủ nghĩa xã hội, tiêu biểu là Trung Quốc, Việt Nam, Lào và Cuba…. Nga và Hàn Quốc không đi theo con đường xã hội chủ nghĩa, nên phương án B đúng.
Câu 6
Diễn đàn hợp tác Á - Âu.
Cộng đồng ASEAN.
Liên minh châu Âu.
Tổ chức Thương mại Thế giới.
Lời giải
Bạn cần đăng ký gói VIP ( giá chỉ từ 250K ) để làm bài, xem đáp án và lời giải chi tiết không giới hạn.
Câu 7
các cuộc kháng chiến của ta đều chính nghĩa.
lòng yêu nước và tinh thần đoàn kết của dân tộc.
đường lối chiến lược, chiến thuật đúng đắn, hiệu quả.
những khó khăn của kẻ thù trong quá trình xâm lược.
Lời giải
Bạn cần đăng ký gói VIP ( giá chỉ từ 250K ) để làm bài, xem đáp án và lời giải chi tiết không giới hạn.
Câu 8
Sự chuẩn bị đầu tiên để bước vào kháng chiến.
Là nhà nước công - nông đầu tiên trên thế giới.
Mở rộng không gian địa lý của chủ nghĩa xã hội.
Bước ngoặt lớn trong lịch sử dân tộc thế kỷ XX.
Lời giải
Bạn cần đăng ký gói VIP ( giá chỉ từ 250K ) để làm bài, xem đáp án và lời giải chi tiết không giới hạn.
Câu 9
Sự quyết tâm kháng chiến của toàn Đảng, toàn quân, toàn dân.
Kháng chiến toàn diện, có sự chuyển hóa lớn về hậu phương.
Có sự tham gia của lực lượng chính trị và lực lượng vũ trang.
Sự kết hợp chặt chẽ giữa nhiệm vụ xây dựng và bảo vệ Tổ quốc.
Lời giải
Bạn cần đăng ký gói VIP ( giá chỉ từ 250K ) để làm bài, xem đáp án và lời giải chi tiết không giới hạn.
Câu 10
Từ tìm đường, mở đường đến dẫn đường cho dân tộc giải phóng, xây dựng và bảo vệ chế độ dân chủ.
Từ tìm đường, mở đường đến trực tiếp lãnh đạo dân tộc hoàn thành sự nghiệp thống nhất đất nước.
Từ tìm đường đến xây dựng Cương lĩnh chính trị (1930) nhằm thực hiện từng bước cuộc cách mạng vô sản.
Từ tìm đường, mở đường đến lãnh đạo dân tộc giải phóng, xây dựng hoàn chỉnh lí luận về chủ nghĩa xã hội.
Lời giải
Bạn cần đăng ký gói VIP ( giá chỉ từ 250K ) để làm bài, xem đáp án và lời giải chi tiết không giới hạn.
Lời giải
Bạn cần đăng ký gói VIP ( giá chỉ từ 250K ) để làm bài, xem đáp án và lời giải chi tiết không giới hạn.
Câu 12
Văn thân, sĩ phu đã ngừng hẳn các hoạt động cứu nước.
Nhân dân Việt Nam bước đầu giành được quyền tự chủ.
Đất nước mất độc lập, nhân dân chịu cảnh nô lệ lầm than.
Chế độ phong kiến Việt Nam bắt đầu khủng hoảng, suy yếu.
Lời giải
Bạn cần đăng ký gói VIP ( giá chỉ từ 250K ) để làm bài, xem đáp án và lời giải chi tiết không giới hạn.
Câu 13
Là cơ sở chủ yếu để tiến hành bạo lực cách mạng.
Là lực lượng quyết định thắng lợi của Tổng khởi nghĩa.
Là lực lượng xung kích, nòng cốt trong Tổng khởi nghĩa.
Là lực lượng chính chiếm các cơ quan đầu não của kẻ thù.
Lời giải
Bạn cần đăng ký gói VIP ( giá chỉ từ 250K ) để làm bài, xem đáp án và lời giải chi tiết không giới hạn.
Câu 14
Là Đại hội xây dựng chủ nghĩa xã hội ở miền Bắc và đấu tranh thống nhất đất nước.
Góp phần hoàn chỉnh đường lối của cuộc kháng chiến toàn quốc chống thực dân Pháp.
Dẫn đường đi tới thắng lợi của cuộc kháng chiến chống thực dân Pháp và can thiệp Mỹ.
Khẳng định chủ trương đúng đắn của Đảng đối với vấn đề độc lập dân tộc và ruộng đất.
Lời giải
Bạn cần đăng ký gói VIP ( giá chỉ từ 250K ) để làm bài, xem đáp án và lời giải chi tiết không giới hạn.
Câu 15
Kháng chiến toàn dân.
Kháng chiến toàn diện.
Phụ thuộc bên ngoài.
Trường kì kháng chiến.
Lời giải
Bạn cần đăng ký gói VIP ( giá chỉ từ 250K ) để làm bài, xem đáp án và lời giải chi tiết không giới hạn.
Câu 16
Thống nhất đất nước về mặt lãnh thổ.
Xây dựng và bảo vệ Tổ quốc Việt Nam.
Củng cố chính quyền trên cả nước.
Hoàn thiện hệ thống luật pháp quốc gia.
Lời giải
Bạn cần đăng ký gói VIP ( giá chỉ từ 250K ) để làm bài, xem đáp án và lời giải chi tiết không giới hạn.
Câu 17
Liên minh Nhân dân Việt - Miên - Lào.
Mặt trận Việt Nam Độc lập Đồng minh.
Mặt trận Dân tộc giải phóng miền Nam Việt Nam.
Mặt trận Thống nhất dân tộc phản đế Đông Dương.
Lời giải
Bạn cần đăng ký gói VIP ( giá chỉ từ 250K ) để làm bài, xem đáp án và lời giải chi tiết không giới hạn.
Câu 18
Đất nước chịu hậu quả nặng nề của chiến tranh.
Việt Nam và Trung Quốc có quan hệ hữu nghị.
Đất nước thống nhất, đi lên chủ nghĩa xã hội.
Đất nước bị bao vây và cấm vận về kinh tế.
Lời giải
Bạn cần đăng ký gói VIP ( giá chỉ từ 250K ) để làm bài, xem đáp án và lời giải chi tiết không giới hạn.
Câu 19
mọi biện pháp, không đàm phán.
sức mạnh quân sự; không thỏa hiệp.
các biện pháp phù hợp với luật pháp quốc tế.
biện pháp hòa bình; luôn nhân nhượng, thỏa hiệp.
Lời giải
Bạn cần đăng ký gói VIP ( giá chỉ từ 250K ) để làm bài, xem đáp án và lời giải chi tiết không giới hạn.
Câu 20
đổi mới gắn với hiện đại hoá và kinh tế tri thức.
đổi mới cơ chế quản lí kinh tế theo hướng hiệu quả.
hội nhập kinh tế quốc tế sâu rộng và toàn diện.
đổi mới gắn với công nghiệp hoá toàn diện đất nước.
Lời giải
Bạn cần đăng ký gói VIP ( giá chỉ từ 250K ) để làm bài, xem đáp án và lời giải chi tiết không giới hạn.
Câu 21
Phóng thành công tàu vũ trụ có người lái.
Hoàn thành công nghiệp hóa trước thời hạn.
Đời sống nhân dân từng bước được nâng cao.
Trở thành cường quốc công nghiệp ở châu Á.
Lời giải
Bạn cần đăng ký gói VIP ( giá chỉ từ 250K ) để làm bài, xem đáp án và lời giải chi tiết không giới hạn.
Câu 22
Đông Dương Cộng sản liên đoàn.
Đông Dương Cộng sản đảng.
Hội Việt Nam Cách mang thanh niên.
Hội Liên hiệp các dân tộc thuộc địa.
Lời giải
Bạn cần đăng ký gói VIP ( giá chỉ từ 250K ) để làm bài, xem đáp án và lời giải chi tiết không giới hạn.
Câu 23
Cuộc Tổng tiến công và nổi dậy Tết Mậu Thân (1968).
Cuộc Tiến công chiến lược Đông - Xuân 1953 - 1954.
Hiệp định Pari (27-1-1973) về Việt Nam được kí kết.
Cuộc Tổng tiến công và nổi dậy Xuân 1975 thắng lợi.
Lời giải
Bạn cần đăng ký gói VIP ( giá chỉ từ 250K ) để làm bài, xem đáp án và lời giải chi tiết không giới hạn.
Câu 24
Vừa kháng chiến toàn quốc chống Pháp vừa xây dựng và kiến thiết đất nước.
Xây dựng chủ nghĩa xã hội trên cả nước và tiến hành chiến tranh bảo vệ biên giới.
Cách mạng XHCN ở miền Bắc, cách mạng dân tộc dân chủ nhân dân ở miền Nam.
Đánh đổ đế quốc giành độc dân tộc, đánh đổ phong kiến giành ruộng đất cho dân cày.
Lời giải
Bạn cần đăng ký gói VIP ( giá chỉ từ 250K ) để làm bài, xem đáp án và lời giải chi tiết không giới hạn.
Câu 25
Độc lập dân tộc gắn liền với chủ nghĩa xã hội.
Kết hợp sức mạnh dân tộc với sức mạnh thời đại.
Cách mạng Việt Nam là bộ phận của cách mạng thế giới.
Nhiệm vụ của cách mạng Việt Nam là giải phóng dân tộc.
Lời giải
Bạn cần đăng ký gói VIP ( giá chỉ từ 250K ) để làm bài, xem đáp án và lời giải chi tiết không giới hạn.
Câu 26
Nhiệt độ cao quanh năm, nhiều nắng, sinh vật đa dạng.
Có nền nhiệt ẩm cao, hai mùa gió trong năm, mưa lớn.
Mưa lớn quanh năm, nhiều thiên tai và số giờ nắng lớn.
Hai mùa gió rõ rệt, khoáng sản đa dạng và nhiều nắng.
Lời giải
Bạn cần đăng ký gói VIP ( giá chỉ từ 250K ) để làm bài, xem đáp án và lời giải chi tiết không giới hạn.
Câu 27
phân bố không đồng đều.
có tỉ lệ ngày càng tăng nhanh.
số dân có xu hướng giảm dần.
số lượng giống nhau ở các tỉnh.
Lời giải
Bạn cần đăng ký gói VIP ( giá chỉ từ 250K ) để làm bài, xem đáp án và lời giải chi tiết không giới hạn.
Câu 28
tập trung đông dân cư, nghề cá phát triển.
mức sống dân cư rất cao, đô thị hiện đại.
phân bố chủ yếu dọc ven biển, biên giới.
có ngành dịch vụ đa dạng, thu hút đầu tư.
Lời giải
Bạn cần đăng ký gói VIP ( giá chỉ từ 250K ) để làm bài, xem đáp án và lời giải chi tiết không giới hạn.
Câu 29
Thuốc lá.
Hồ tiêu.
Cà phê.
Cao su.
Lời giải
Bạn cần đăng ký gói VIP ( giá chỉ từ 250K ) để làm bài, xem đáp án và lời giải chi tiết không giới hạn.
Lời giải
Bạn cần đăng ký gói VIP ( giá chỉ từ 250K ) để làm bài, xem đáp án và lời giải chi tiết không giới hạn.
Câu 31
Hỗ trợ vận chuyển công-te-nơ, chuyên chở hành khách.
Chuyên chở hàng hóa nội địa, kết nối với các cảng biển.
Phát triển mạnh mẽ ở các vùng, được đầu tư trọng điểm.
Ứng dụng công nghệ vận tải tiên tiến, dịch vụ logistics.
Lời giải
Bạn cần đăng ký gói VIP ( giá chỉ từ 250K ) để làm bài, xem đáp án và lời giải chi tiết không giới hạn.
Câu 32
nguồn lợi sinh vật biển ngày càng phong phú.
cơ sở chế biến thủy sản ngày càng phát triển.
tàu thuyền và ngư cụ ngày càng hiện đại hơn.
lao động có kinh nghiệm ngày càng đông.
Lời giải
Bạn cần đăng ký gói VIP ( giá chỉ từ 250K ) để làm bài, xem đáp án và lời giải chi tiết không giới hạn.
Câu 33
đa dạng cơ cấu kinh tế, phát triển đô thị, tăng cường giao thông vận tải.
đẩy mạnh công nghiệp hóa, đô thị hóa, có nhiều tài nguyên khoáng sản.
sản xuất phát triển mạnh, tăng cường hội nhập, chất lượng lao động cao.
chính sách phù hợp, phát triển cơ sở hạ tầng, nâng cao trình độ lao động.
Lời giải
Bạn cần đăng ký gói VIP ( giá chỉ từ 250K ) để làm bài, xem đáp án và lời giải chi tiết không giới hạn.
Câu 34
lao động nhiều, kinh nghiệm, tập trung chủ yếu ở đô thị.
cơ sở vật chất kĩ thuật tốt, gần các vùng giàu tài nguyên.
cơ sở hạ tầng rất hiện đại, nhiều đầu mối giao thông lớn.
lao động có trình độ cao, thu hút nhiều đầu tư nước ngoài.
Lời giải
Bạn cần đăng ký gói VIP ( giá chỉ từ 250K ) để làm bài, xem đáp án và lời giải chi tiết không giới hạn.
Câu 35
thúc đẩy sản xuất, mở rộng hội nhập quốc tế.
mở rộng đô thị, hoàn thiện các cơ sở hạ tầng.
đa dạng ngành sản xuất, mở rộng thị trường.
tăng sản xuất hàng hóa, nâng cao mức sống.
Lời giải
Bạn cần đăng ký gói VIP ( giá chỉ từ 250K ) để làm bài, xem đáp án và lời giải chi tiết không giới hạn.
Câu 36
hạn chế các thiên tai và mở rộng thêm diện tích vùng biển.
tạo động lực để phát triển nền kinh tế mở hướng ra biển.
nâng cao vị thế kinh tế biển, chuyển dịch cơ cấu kinh tế.
đóng góp vào GDP, nâng cao tiềm lực kinh tế đất nước.
Lời giải
Bạn cần đăng ký gói VIP ( giá chỉ từ 250K ) để làm bài, xem đáp án và lời giải chi tiết không giới hạn.
Câu 37
gió mùa Tây Nam, gió mùa Đông Bắc và hai sườn dãy núi Trường Sơn.
địa hình núi đồi, cao nguyên và các hướng gió thổi qua biển trong năm
dãy núi Trường Sơn và các loại gió hướng tây nam, gió hướng đông bắc.
các gió hướng tây nam nóng ẩm và địa hình núi, cao nguyên, đồng bằng.
Lời giải
Bạn cần đăng ký gói VIP ( giá chỉ từ 250K ) để làm bài, xem đáp án và lời giải chi tiết không giới hạn.
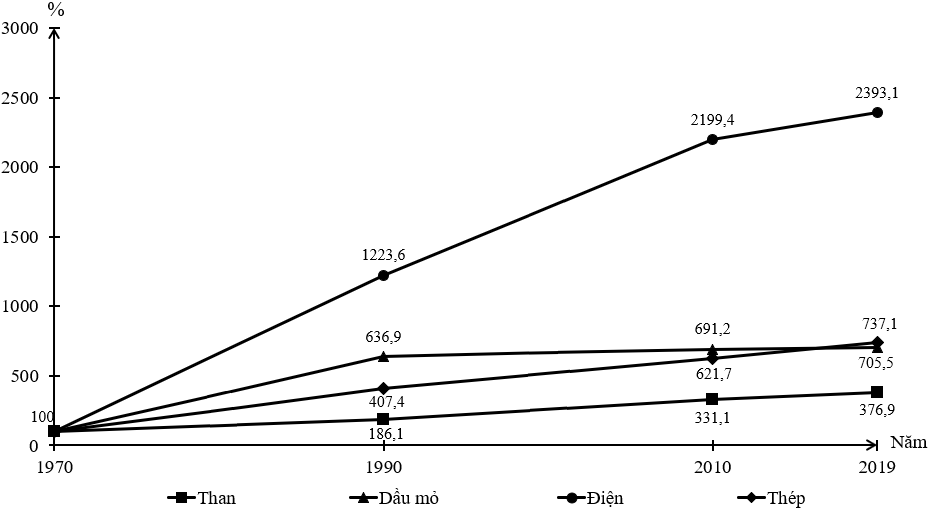
Câu 38
Các sản phẩm công nghiệp đều có tốc độ giảm nhanh qua các năm.
Điện có tốc độ tăng trưởng nhanh nhất, còn than tăng lên chậm nhất.
Thép có tốc độ tăng trưởng nhanh hơn so với dầu mỏ, than và điện.
Dầu mỏ có tốc độ tăng lên liên tục qua các năm, tăng thêm 637,1%.
Lời giải
Bạn cần đăng ký gói VIP ( giá chỉ từ 250K ) để làm bài, xem đáp án và lời giải chi tiết không giới hạn.
Câu 39
Doanh thu và số khách du lịch dần phục hồi sau dịch bệnh trên toàn cầu.
Là ngành kinh tế mũi nhọn, tạo động lực thúc đẩy các ngành kinh tế khác.
Loại hình du lịch nổi bật ở nước ta là du lịch biển đảo, văn hóa, sinh thái.
Thị trường khách quốc tế mở rộng, chủ yếu là khách từ châu Âu, Nam Á.
Lời giải
Bạn cần đăng ký gói VIP ( giá chỉ từ 250K ) để làm bài, xem đáp án và lời giải chi tiết không giới hạn.
Câu 40
Giàu có về tài nguyên khoáng sản, thiên tai đến từ biển nhiều.
Lợi thế phát triển kinh tế biển, giao thoa với nền văn hóa khác.
Cầu nối giữa các vùng, cửa ngõ ra biển của một số quốc gia.
Thuận lợi phát triển nông nghiệp, thu hút nguồn vốn đầu tư.
Lời giải
Bạn cần đăng ký gói VIP ( giá chỉ từ 250K ) để làm bài, xem đáp án và lời giải chi tiết không giới hạn.
Câu 41
Nền nhiệt ẩm cao, khí hậu có sự phân mùa, địa hình phân hóa.
Khí hậu phân hóa đa dạng, nhiều đồng bằng rộng, có mưa lớn.
Chủ yếu đồi núi thấp, tác động của gió mùa, mùa mưa kéo dài.
Địa hình phân hóa, có mưa lớn quanh năm, sông ngòi dày đặc.
Lời giải
Bạn cần đăng ký gói VIP ( giá chỉ từ 250K ) để làm bài, xem đáp án và lời giải chi tiết không giới hạn.
Câu 42
Mùa khô kéo dài, nguồn vốn đầu tư ít, hạn hán nhiều.
Thiếu lao động, ô nhiễm nguồn nước, nhiều thiên tai.
Thị trường biến động, xâm nhập mặn sâu, dịch bệnh.
Diện tích nuôi trồng giảm, nước biển dâng, hạn mặn.
Lời giải
Bạn cần đăng ký gói VIP ( giá chỉ từ 250K ) để làm bài, xem đáp án và lời giải chi tiết không giới hạn.
Lời giải
Bạn cần đăng ký gói VIP ( giá chỉ từ 250K ) để làm bài, xem đáp án và lời giải chi tiết không giới hạn.
Câu 44
Thiên nhiên có sự phân hóa đa dạng.
Giàu có khoáng sản, nhiều sông dài.
Xuất hiện nhiều thiên tai: bão, lũ lụt.
Phát triển một nền kinh tế đa dạng.
Lời giải
Bạn cần đăng ký gói VIP ( giá chỉ từ 250K ) để làm bài, xem đáp án và lời giải chi tiết không giới hạn.
Câu 45
Đóng tàu, sản xuất ô tô.
Thực phẩm, dệt may.
Điện tử, tin học.
Hóa chất, dược phẩm.
Lời giải
Bạn cần đăng ký gói VIP ( giá chỉ từ 250K ) để làm bài, xem đáp án và lời giải chi tiết không giới hạn.
Câu 46
Tỉ lệ dân thành thị cao, nhiều nhóm dân tộc khác nhau.
Cơ cấu dân số trẻ, phân bố dân cư đều ở các quốc gia.
Dân số đông, tỉ lệ gia tăng tự nhiên của dân số giảm.
Cơ cấu giới tính cân bằng, nhiều nước già hóa dân số.
Lời giải
Bạn cần đăng ký gói VIP ( giá chỉ từ 250K ) để làm bài, xem đáp án và lời giải chi tiết không giới hạn.
Câu 47
Cơ cấu sản lượng khai thác dầu mỏ, khí tự nhiên của Liên bang Nga qua các năm.
Tốc độ tăng trưởng khai thác dầu mỏ, khí tự nhiên của Liên bang Nga qua các năm.
Quy mô và cơ cấu khai thác dầu mỏ, khí tự nhiên của Liên bang Nga qua các năm.
Quy mô sản lượng khai thác dầu mỏ, khí tự nhiên của Liên bang Nga qua các năm.
Lời giải
Bạn cần đăng ký gói VIP ( giá chỉ từ 250K ) để làm bài, xem đáp án và lời giải chi tiết không giới hạn.
Câu 48
Quy luật đai cao.
Quy luật địa ô.
Quy luật địa đới.
Quy luật địa mạo.
Lời giải
Bạn cần đăng ký gói VIP ( giá chỉ từ 250K ) để làm bài, xem đáp án và lời giải chi tiết không giới hạn.
Câu 49
có số lượng đông, tiếp tục tăng lên.
phân bố đồng đều giữa các quốc gia.
chủ yếu sống ở nhóm nước phát triển.
châu Á chiếm gần 50% tổng số dân.
Lời giải
Bạn cần đăng ký gói VIP ( giá chỉ từ 250K ) để làm bài, xem đáp án và lời giải chi tiết không giới hạn.
Câu 50
Bảo vệ môi trường, tạo sản phẩm xuất khẩu giá trị.
Giải quyết việc làm, cung cấp nguyên liệu đa dạng.
Phát triển nguồn lực, thúc đẩy phân công lao động.
Sản xuất ra các hàng hóa thông dụng, tạo việc làm.
Lời giải
Bạn cần đăng ký gói VIP ( giá chỉ từ 250K ) để làm bài, xem đáp án và lời giải chi tiết không giới hạn.

