108 câu trắc nghiệm Sinh học 12 Kết nối tri thức Bài 13 (Đúng sai - Trả lời ngắn) có đáp án - Phần 3
40 người thi tuần này 4.6 619 lượt thi 43 câu hỏi
Bạn cần đăng ký gói VIP ( giá chỉ từ 199K ) để làm bài, xem đáp án và lời giải chi tiết không giới hạn.
🔥 Học sinh cũng đã học
Đề thi giữa kì 2 Sinh học 12 Chân trời sáng tạo cấu trúc mới (có tự luận) có đáp án - Đề 2
Đề thi giữa kì 2 Sinh học 12 Chân trời sáng tạo cấu trúc mới (có tự luận) có đáp án - Đề 1
Đề thi giữa kì 2 Sinh học 12 Cánh diều cấu trúc mới (có tự luận) có đáp án - Đề 2
Đề thi giữa kì 2 Sinh học 12 Cánh diều cấu trúc mới (có tự luận) có đáp án - Đề 1
Đề thi giữa kì 2 Sinh học 12 Kết nối tri thức cấu trúc mới (có tự luận) có đáp án - Đề 2
Đề thi giữa kì 2 Sinh học 12 Kết nối tri thức cấu trúc mới (có tự luận) có đáp án - Đề 1
Đề thi HSG Sinh học 12 Cụm THPT số 11 (Ninh Bình) có đáp án - Đề 2
Đề thi HSG Sinh học 12 Cụm THPT số 11 (Ninh Bình) có đáp án - Đề 1
Danh sách câu hỏi:
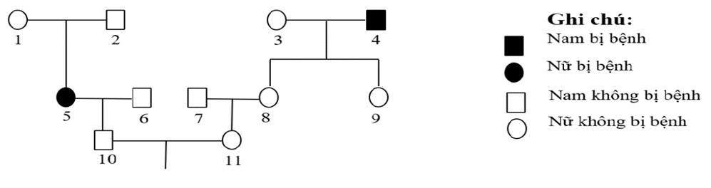
Câu 1
a) Bệnh do gene nằm trên nhiễm sắc thể giới tính quy định.
b) Xác định được kiểu gene của 11 người trong phả hệ.
c) Xác suất để người số 11 có kiểu gene đồng hợp 1/4.
Lời giải
|
Nội dung |
Đúng |
Sai |
|
a) Bệnh do gene nằm trên nhiễm sắc thể giới tính quy định. |
|
S |
|
b) Xác định được kiểu gene của 11 người trong phả hệ. |
|
S |
|
c) Xác suất để người số 11 có kiểu gene đồng hợp \(\frac{1}{4}\). |
|
S |
|
d) Xác suất sinh con trai bình thường của cặp vợ chồng 9 và 10 là \(\frac{1}{2}\). |
Đ |
|
Hướng dẫn giải
Trước tiên nhìn vào phả hệ ta thấy vợ chồng (6) (7) đều bị bệnh nhưng sinh con không bệnh.
→ Bệnh được quy định bởi allele trội.
→ Kiểu gene ở người bị bệnh: Aa và AA; kiểu gene của người bình thường: aa
a. Sai, gene nằm trên NST thường.
b. Sai, trong phả hệ có người (1), (5) và (11) không xác định được kiểu gene chính xác.
c. Sai, cặp vợ chồng (6) (7) bị bệnh nhưng sinh con không bệnh nên có kiểu gene là Aa
→ Aa × Aa, xác suất người con số 11 có kiểu gene đồng hợp là \({\rm{AA}} + {\rm{aa}} = \frac{1}{4} + \frac{1}{4} = \frac{1}{2}\)
d. Đúng, người chồng không bệnh có kiểu gene aa, người vợ bị bệnh nhưng có mẹ không bệnh nên có kiểu gene là Aa
→ Aa × aa, xác suất sinh con bình thường là \(\frac{1}{2}\)
Câu 2
a) Có tối đa 6 người có kiểu gene đồng hợp tử.
b) Xác suất người số 7 có kiểu gene đồng hợp là 2/5.
c) Xác suất sinh con không bị bệnh của cặp vợ chồng 10 – 11 là 19/22.
Lời giải
|
Nội dung |
Đúng |
Sai |
|
a) Có tối đa 6 người có kiểu gene đồng hợp tử. |
|
S |
|
b) Xác suất người số 7 có kiểu gene đồng hợp là 2/5. |
|
S |
|
c) Xác suất sinh con không bị bệnh của cặp vợ chồng 10 – 11 là 19/22. |
Đ |
|
|
d) Xác suất sinh con không mang allele bệnh của cặp vợ chồng 10 – 11 là 4/11. |
Đ |
|
Hướng dẫn giải
1,2 bình thường 5 bệnh bệnh do gene lặn, 4 bệnh 8 9 bình thường bệnh do gene lặn nằm trên NST thường
Quy ước A: bình thường; a: Bệnh
4, 5 có kiểu gene đồng hợp aa, 6, 7, 11,3 có thể kiểu gene đồng hợp AA a Đúng
Tỉ lệ người bệnh aa=4% tần số allele a =0,2 A =0.8 CTQT người số 7 là \[\frac{2}{3}\]AA: \[\frac{1}{3}\]Aab sai
người số (7) là \[\frac{2}{3}\]AA: \[\frac{1}{3}\]Aa x người số (8) Aa (11) \[\frac{{\rm{5}}}{{{\rm{11}}}}{\rm{AA:}}\,\frac{{\rm{6}}}{{{\rm{11}}}}{\rm{Aa}}\] x (10) Aa xs con không bị bệnh là 19/22 c đúng, d đúng
Câu 3
a) Xác suất để con của cặp vợ chống ở thế hệ III mang allele gây bệnh là 38/45.
b) Có 6 người trong phả hệ này xác định được chính xác kiểu gene.
c) Xác suất để người vợ ở thế hệ III mang kiểu gene dị hợp cả hai cặp gene là 2/9.
Lời giải
|
Nội dung |
Đúng |
Sai |
|
a) Xác suất để con của cặp vợ chống ở thế hệ III mang allele gây bệnh là 38/45. |
Đ |
|
|
b) Có 6 người trong phả hệ này xác định được chính xác kiểu gene. |
|
S |
|
c) Xác suất để người vợ ở thế hệ III mang kiểu gene dị hợp cả hai cặp gene là 2/9. |
|
S |
|
d) Có 3 người trong phả hệ này đã chắc chắn mang một cặp gene dị hợp tử. |
|
S |
Hướng dẫn giải
→ Xác định được chính xác kiểu gene của 5 cá thể trong hình vẽ.
a đúng.
Xét bên người chồng:
Người bố chồng có thể có kiểu gene (1AA:2Aa)B- × mẹ chồng: Aabb → người chồng: (2AA:3Aa)Bb
Xét bên người vợ: Bố mẹ vợ: AaBb × AaBb → người vợ (1AA:2Aa)(1BB:2Bb)
Cặp vợ chồng này: (2AA:3Aa)Bb × (1AA:2Aa)(1BB:2Bb) ↔ (7A:3a)(1B:1b) × (2A:1a)(2B:1b)
→ XS họ sinh con mang allele gây bệnh = 1 – AABB = \(1 - \frac{7}{{10}}A \times \frac{2}{3}A \times \frac{1}{2}B \times \frac{2}{3}B = \frac{{38}}{{45}}\)
b sai. Xác định được kiểu gene của 5 người.
c sai. XS để người vợ ở thế hệ thứ 3 dị hợp hai cặp gene là 4/9
(bố mẹ có kiểu gene AaBb × AaBb → 9/16A-B-; AaBb = 4/16)
d sai, có chắc chắn 2 người xác định được dị hợp 1 cặp gene.
Câu 4
a) Có thể xác định chính xác kiểu gene của tất cả những người trong phả hệ.
b) Cặp vợ chồng ở thế hệ III sinh người con thứ hai là con gái không bị bệnh với xác suất 12,5%.
c) Người số 14 có kiểu gene aa.
Lời giải
|
Nội dung |
Đúng |
Sai |
|
a) Có thể xác định chính xác kiểu gene của tất cả những người trong phả hệ. |
Đ |
|
|
b) Cặp vợ chồng ở thế hệ III sinh người con thứ hai là con gái không bị bệnh với xác suất 12,5%. |
|
S |
|
c) Người số 14 có kiểu gene aa. |
|
S |
|
d) Người số 7 và 8 có kiểu gene không giống nhau. |
|
S |
Hướng dẫn giải
- (12) và (13) bệnh nhưng có con (14) không bệnh →Bệnh do gene trội qui định.
- Bố bị bệnh sinh ra 100% con gái bị bệnh, mẹ không bị bệnh sinh ra 100% con trai không bị bệnh → Gene nằm trên nhiễm sắc thể giới tính X → Qui định gene: XA: bệnh, Xa: không bệnh.
Kiểu gene: XAXa: 7,8,10,12
Kiểu gene: XAXa: 1,3
Kiểu gene: XAY: 2, 4, 13
Kiểu gene: XaY: 5, 6, 9, 11, 14.
Xét các phát biểu
a đúng, có thể xác định kiểu gene của tất cả những người trong phả hệ.
b sai, (12) XAXa × (13) XAY → Con gái luôn có kiểu gene XAX- → Luôn bị bệnh.
c sai, người số 14 có kiểu gene XaY
d sai, người 7, 8 đều có kiểu gene XAXa.
Câu 5
a) Có tối đa 8 người cơ kiểu gene đồng hợp về tính trạng hói đầu.
b) Có 7 người xác định được chính xác kiểu gene về cả hai bệnh.
c) Khả năng người số (10) mang ít nhất 1 allele lặn là 13/15.
Lời giải
|
Nội dung |
Đúng |
Sai |
|
a) Có tối đa 8 người cơ kiểu gene đồng hợp về tính trạng hói đầu. |
Đ |
|
|
b) Có 7 người xác định được chính xác kiểu gene về cả hai bệnh. |
|
S |
|
c) Khả năng người số (10) mang ít nhất 1 allele lặn là 13/15. |
Đ |
|
|
d) Xác suất đề cặp vợ chồng số (10) và (11) sinh ra một đứa con trai không hói đầu và không bị bệnh P là 17/160. |
Đ |
|
Hướng dẫn giải
Về bệnh P: Cặp vợ chồng (1) và (2) không bị bệnh P nhưng sinh con gái số (5) bị bệnh P → Bệnh P do gen lặn nằm trên NST thường quy định.
Về bệnh hói đầu: Người có kiểu gen dị hợp gồm có 4 người là (2), (6), (7), (9).
+ Vì người số (1) và người số (2) không mang bệnh nhưng sinh con (6) bị bệnh hói đầu do đó Phải có allele H mà người (1) nếu có kiểu gen Hh sẽ biểu hiện hỏi đầu do đó người (1) có kiểu gen hh và người (2) có kiểu gen dị hợp Hh.
+ Người số (6) là con của người số (1) và (2) có bị bệnh hói đầu nên sẽ có kiểu gen Hh.
+ Người số (7) con của người số (3) có kiểu gen HH nên có kiểu gen dị hợp Hh.
+ Người số (9) bị hóa đầu sinh ra con trai (12) không bị hóa đầu do đó có kiểu gen Hh.
Người chắc chắn có kiểu gen đồng hợp về tính trạng hói đầu gồm có (1), (3), (4), (12).
+ Người (1) có kiểu gen hh.
+ Người số (3) có kiểu gen HH.
+ Người số (4) là con trai không bị hói đầu nên có kiểu gen hh.
+ Người số (12) là con trai không bị hói đầu nên có kiểu gen hh.
Những người (5), (8), (10), (11) có thể có kiểu gen đồng hợp hoặc dị hợp về tính trạng hói đầu.
a Đúng. Có tối đa 8 người có kiểu gen đồng hợp về hói đầu đó là (1), (3), (4), (12) là nhóm người
chắc chắn và (5), (8), (10), (11) là nhóm người có thể có kiểu gen đồng hợp.
b Sai. Bệnh mù màu, có 5 người có kiểu gen Bb số (1), (2), (7), (8), (9) và 3 người có kiểu gen bb
gồm có (3), (5), (12).
Về bệnh hói đầu:
+ Người có kiểu gen dị hợp gồm có 4 người là (2), (6), (7), (9).
+ Người chắc chắn có kiểu gen đồng hợp về tính trạng hói đầu gồm có (1), (3), (4), (12).
=> Có 6 người đã biết kiểu gen của 2 bệnh, đó là (1), (2), (3), (7), (9), (12).
c Đúng.
- Về bệnh hói đầu:
+ Người số (6) có kiểu gen Hh, người số (7) có kiểu gen Hh nên sẽ sinh ra người số (10) có kiểu gen là 1/3HH: 2/3Hh → (10) không mang allele h với tỉ 1/3.
Về bệnh máu khó đông, người số (6) có tỉ lệ kiểu gen 2/3Bb : 1/3BB. Người số (7) có kiểu gen Bb nên sẽ sinh ra người số (10) có kiểu gen là 2/5BB hoặc 3/5Bb → Người số (10) không mang allele lặn b với xác suất 2/5. => Người 10 mang ít nhất 1 allele lặn với tỷ lệ: 1- 1/3.2/5 = 13/15.
d Đúng.
Về bệnh hói đầu:
- Xác suất kiểu gen của người số (10) là 1/3HH: 2/3 Hh. Quần thể này đang cân bằng di truyền và có 40% số người bị hói đầu => H = 0,4; h = 0,6.
+ Người con gái số (8) không bị hói nên có xác suất kiểu gen 0,48Hh: 0,36hh = 4/7 Hh : 3/7hh.
- Người số (9) là nam và bị hói nên có kiểu gen Hh. Do đó cặp vợ chồng (8) – (9) sinh con có tỉ lệ kiểu gen là 2/14HH : 7/14Hh : 5/14hh. Người số (11) không bị hói đầu là người con của cặp (8) – (9) => có kiểu gen 7/12Hh: 5/12 hh → Sinh con trai không hói đầu (hh) với tỉ lệ là: 1/2.1/3.17/24 = 17/144.
Về bệnh P: Người số (10) có xác suất kiểu gen 2/5 BB: 3/5Bb; . Người số (11) có xác suất kiểu gen 1/3BB: 2/3Bb → Sinh con không bị bệnh P = 1 – 3/10.1/3 = 9/10.
=> Cặp vợ chồng số (10) và (11) sinh ra một đứa con trai không hói đầu và không bị bệnh P là: 17/144.9/10 = 17/160.Câu 6
a) Cả 2 bệnh này đều do gene nằm trên nhiễm sắc thể thường quy định.
b) Xác định được kiểu gene của tất cả các người không bị bệnh X trong phả hệ.
c) Nếu cá thể A lập gia đình với một người phụ nữ không cùng huyết thống và không mắc bệnh, có một người con trai. Xác suất người con trai mắc bệnh X là 50%.
Lời giải
Bạn cần đăng ký gói VIP ( giá chỉ từ 199K ) để làm bài, xem đáp án và lời giải chi tiết không giới hạn.
Câu 7
a) Bệnh này do allele lặn nằm trên NST thường quy định.
b) Có 3 người chưa thể xác định được chính xác kiểu genee do chưa có đủ thông tin.
c) Dự đoán ở 3 thế hệ tiếp theo số nữ giới mắc bệnh sẽ nhiều hơn nam giới.
Lời giải
Bạn cần đăng ký gói VIP ( giá chỉ từ 199K ) để làm bài, xem đáp án và lời giải chi tiết không giới hạn.
Câu 8
a) Bệnh M và N đều gene allele lặn quy định.
b) Xác suất sinh con thứ hai bình thường của cặp 8 – 9 là 1/2.
c) Xác định chính xác được tối đa kiểu gene của 9 người trong phả hệ.
Lời giải
Bạn cần đăng ký gói VIP ( giá chỉ từ 199K ) để làm bài, xem đáp án và lời giải chi tiết không giới hạn.
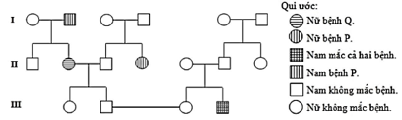
Câu 9
a) Bệnh Q do gene lặn nằm trên NST X quy định.
b) Bệnh P do gene lặn nằm trên NST thường quy định.
c) Người số 11 sẽ tạo ra giao tử không mang allele bệnh với xác suất 1/3.
Lời giải
Bạn cần đăng ký gói VIP ( giá chỉ từ 199K ) để làm bài, xem đáp án và lời giải chi tiết không giới hạn.
Câu 10
a) Xác xuất cặp vợ chồng II3 và II4 sinh thêm được 1 đứa con có kiểu hình bình thường là 3/8.
b) Có 4 tối đa 4 người có kiểu gene đồng hợp.
c) Xác suất để III2 có kiểu gene giống II4 là 1/3.
Lời giải
Bạn cần đăng ký gói VIP ( giá chỉ từ 199K ) để làm bài, xem đáp án và lời giải chi tiết không giới hạn.
Câu 11
a) Quần thể có tỉ lệ kiểu hình 7 đen: 5 nâu: 3 hung: 1 trắng.
b) Không xét đến vai trò của giới tính thì trong quần thể có tối đa 55 phép lai.
c) Cho một con đực đen giao .ối với một cái nâu thì xác suất sinh được một con lông trắng là 1/35.
Lời giải
Bạn cần đăng ký gói VIP ( giá chỉ từ 199K ) để làm bài, xem đáp án và lời giải chi tiết không giới hạn.
Câu 12
a) Xác định được chính xác kiểu gene của 2 người trong phả hệ nói trên.
b) Xác suất cặp (6) × (7) sinh đứa con thứ ba không bị bệnh có thể chiếm tỉ lệ cao nhất là 50%.
c) Không tính vai trò của bố mẹ có tối đa 5 phép lai phù hợp với cặp vợ chồng 1, 2.
Lời giải
Bạn cần đăng ký gói VIP ( giá chỉ từ 199K ) để làm bài, xem đáp án và lời giải chi tiết không giới hạn.
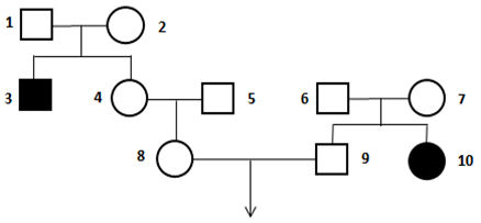
Câu 13
a) Người số 3 và người số 8 có kiểu gene giống nhau.
b) Xác định được kiểu gene của 9 người.
c) Cặp 10-11 sẽ sinh con bị bệnh với xác suất 50%.
Lời giải
Bạn cần đăng ký gói VIP ( giá chỉ từ 199K ) để làm bài, xem đáp án và lời giải chi tiết không giới hạn.
Câu 14
a) Tính trạng tóc đỏ do gene trội nằm trên NST thường quy định.
b) Xác xuất để IV.1 có màu tóc đỏ là 14/17.
c) Xác xuất để IV.2 có màu tóc đỏ là 1/6.
Lời giải
Bạn cần đăng ký gói VIP ( giá chỉ từ 199K ) để làm bài, xem đáp án và lời giải chi tiết không giới hạn.
Câu 15
a) Xác định được tối đa kiểu gene của 15 người trong phả hệ.
b) Xác suất sinh con trai đầu lòng không bị bệnh của cặp 16-17 là 50%.
c) Người số 7 và 8 là cặp song sinh nên có kiểu gene giống nhau, vậy người số 7 không bị bệnh chứng tỏ người số 8 bị bệnh do môi trường có tác động.
Lời giải
Bạn cần đăng ký gói VIP ( giá chỉ từ 199K ) để làm bài, xem đáp án và lời giải chi tiết không giới hạn.
Câu 16
a) Bệnh máu khó đông được thể hiện di truyền lặn trên NST thường.
b) Bệnh máu khó đông được thể hiện di truyền lặn trên NST giới tính.
c) Xác suất con gái ? ở thế hệ thứ III bị bệnh là 25%.
Lời giải
Bạn cần đăng ký gói VIP ( giá chỉ từ 199K ) để làm bài, xem đáp án và lời giải chi tiết không giới hạn.
Câu 17
a) Cặp bố mẹ được xác định trong trường hợp này là người C và D.
b) Cặp bố mẹ được xác định trong trường hợp này là người A và B.
c) E là một trong hai đứa con của cặp bố mẹ trên.
Lời giải
Bạn cần đăng ký gói VIP ( giá chỉ từ 199K ) để làm bài, xem đáp án và lời giải chi tiết không giới hạn.
Câu 18
a) Hình a mô tả kỹ thuật sinh thiết tua nhau thai, hình b mô tả kỹ thuật chọc dò dịch ối.
b) Xét nghiệm trước sinh nhằm mục đích kiểm tra sức khỏe của người mẹ trước khi sinh.
c) Cả hai hình thức xét nghiệm trước sinh này không thể phát hiện được bệnh phenylketo niệu vì bệnh này do đột biến gene.
Lời giải
Bạn cần đăng ký gói VIP ( giá chỉ từ 199K ) để làm bài, xem đáp án và lời giải chi tiết không giới hạn.
Câu 19
a) Các allele IA, IB là trội hoàn toàn so với IO, allele H trội không hoàn toàn so với h.
b) Sự biểu hiện của các alelle IA, IB phụ thuộc vào sự có mặt của allele H.
c) Trong một gia đình có bố, mẹ và các con, nếu lượng thành viên là đủ lớn, sẽ có tối đa 18 kiểu gene khác nhau về nhóm máu.
Lời giải
Bạn cần đăng ký gói VIP ( giá chỉ từ 199K ) để làm bài, xem đáp án và lời giải chi tiết không giới hạn.
Câu 20
a) Xác định được chính xác kiểu gene của 9 người.
b) Có tối đa 5 người nữ có kiểu gene dị hợp về cả 2 cặp gene.
c) Ở người, bệnh M và N chỉ xuất hiện ở nam giới.
Lời giải
Bạn cần đăng ký gói VIP ( giá chỉ từ 199K ) để làm bài, xem đáp án và lời giải chi tiết không giới hạn.
Lời giải
Bạn cần đăng ký gói VIP ( giá chỉ từ 199K ) để làm bài, xem đáp án và lời giải chi tiết không giới hạn.
Lời giải
Bạn cần đăng ký gói VIP ( giá chỉ từ 199K ) để làm bài, xem đáp án và lời giải chi tiết không giới hạn.
Lời giải
Bạn cần đăng ký gói VIP ( giá chỉ từ 199K ) để làm bài, xem đáp án và lời giải chi tiết không giới hạn.
Lời giải
Bạn cần đăng ký gói VIP ( giá chỉ từ 199K ) để làm bài, xem đáp án và lời giải chi tiết không giới hạn.
Lời giải
Bạn cần đăng ký gói VIP ( giá chỉ từ 199K ) để làm bài, xem đáp án và lời giải chi tiết không giới hạn.
Lời giải
Bạn cần đăng ký gói VIP ( giá chỉ từ 199K ) để làm bài, xem đáp án và lời giải chi tiết không giới hạn.
Lời giải
Bạn cần đăng ký gói VIP ( giá chỉ từ 199K ) để làm bài, xem đáp án và lời giải chi tiết không giới hạn.
Lời giải
Bạn cần đăng ký gói VIP ( giá chỉ từ 199K ) để làm bài, xem đáp án và lời giải chi tiết không giới hạn.
Lời giải
Bạn cần đăng ký gói VIP ( giá chỉ từ 199K ) để làm bài, xem đáp án và lời giải chi tiết không giới hạn.
Lời giải
Bạn cần đăng ký gói VIP ( giá chỉ từ 199K ) để làm bài, xem đáp án và lời giải chi tiết không giới hạn.
Lời giải
Bạn cần đăng ký gói VIP ( giá chỉ từ 199K ) để làm bài, xem đáp án và lời giải chi tiết không giới hạn.
Lời giải
Bạn cần đăng ký gói VIP ( giá chỉ từ 199K ) để làm bài, xem đáp án và lời giải chi tiết không giới hạn.
Lời giải
Bạn cần đăng ký gói VIP ( giá chỉ từ 199K ) để làm bài, xem đáp án và lời giải chi tiết không giới hạn.
Lời giải
Bạn cần đăng ký gói VIP ( giá chỉ từ 199K ) để làm bài, xem đáp án và lời giải chi tiết không giới hạn.
Lời giải
Bạn cần đăng ký gói VIP ( giá chỉ từ 199K ) để làm bài, xem đáp án và lời giải chi tiết không giới hạn.
Lời giải
Bạn cần đăng ký gói VIP ( giá chỉ từ 199K ) để làm bài, xem đáp án và lời giải chi tiết không giới hạn.
Lời giải
Bạn cần đăng ký gói VIP ( giá chỉ từ 199K ) để làm bài, xem đáp án và lời giải chi tiết không giới hạn.
Lời giải
Bạn cần đăng ký gói VIP ( giá chỉ từ 199K ) để làm bài, xem đáp án và lời giải chi tiết không giới hạn.
Lời giải
Bạn cần đăng ký gói VIP ( giá chỉ từ 199K ) để làm bài, xem đáp án và lời giải chi tiết không giới hạn.
Lời giải
Bạn cần đăng ký gói VIP ( giá chỉ từ 199K ) để làm bài, xem đáp án và lời giải chi tiết không giới hạn.
Lời giải
Bạn cần đăng ký gói VIP ( giá chỉ từ 199K ) để làm bài, xem đáp án và lời giải chi tiết không giới hạn.
Lời giải
Bạn cần đăng ký gói VIP ( giá chỉ từ 199K ) để làm bài, xem đáp án và lời giải chi tiết không giới hạn.
Lời giải
Bạn cần đăng ký gói VIP ( giá chỉ từ 199K ) để làm bài, xem đáp án và lời giải chi tiết không giới hạn.





































