Đề thi HSG Sinh học 12 sở Điện Biên năm 2025-2026 có đáp án - Đề 2
50 người thi tuần này 4.6 611 lượt thi 12 câu hỏi 45 phút
Bạn cần đăng ký gói VIP ( giá chỉ từ 250K ) để làm bài, xem đáp án và lời giải chi tiết không giới hạn.
🔥 Học sinh cũng đã học
Đề thi HSG Sinh học 12 THPT Tống Văn Trân (Ninh Bình) có đáp án
Đề thi HSG Sinh học 12 Cụm chuyên môn số 03 - Sở Bắc Ninh lần 2 có đáp án
Đề thi HSG Sinh học 12 THPT Xuân Trường B (Ninh Bình) có đáp án
Đề thi HSG Sinh học 12 THPT Võ Thị Sáu (Phú Thọ) có đáp án
Đề thi HSG Sinh học 12 THPT B Nguyễn Khuyến- Ninh Bình có đáp án
Đề thi HSG Sinh học 12 THPT Chuyên Lương Văn Tụy - Ninh Bình có đáp án
Đề thi HSG Sinh học 12 Cụm 6 Trường THPT Sở Ninh Bình có đáp án
Đề thi HSG Sinh học 12 THPT Bắc Đông Quan - Hưng Yên lần 3 có đáp án
Danh sách câu hỏi:
Lời giải
|
1 (2,0) |
a) - Thí nghiệm chỉ ra sự vắng/có mặt của mỗi trình tự 1,2,3 đều ảnh hưởng đến sự biểu hiện của gen. - Tuy nhiên, có những trình tự như ADN nối giữa enhancer và promoter không phải là trình tự điều hòa của gen nhưng vẫn ảnh hưởng đến sự biểu hiện của gen. Vì vậy, không thể kết luận chắc chắn về vai trò của 1,2,3. b) IV: mất 3: giảm sự biểu hiện của gen -> 3 là vị trí gắn của protein hoạt hóa (yếu tố phiên mã đặc hiệu) -> Có chức năng thúc đẩy sự biểu hiện của gen. - II: mất 1 làm tăng mạnh sự biểu hiện của gen -> 1 gây giảm chức năng của enhencer -> 1 là vùng ADN giữa enhencer và promoter, làm enhencer muốn tác động phải cần protein bẻ cong ADN; hoặc 1 là vị trí gắn của protein ức chế phiên mã III: Mất 2, làm tăng sự biểu hiện của gen -> 2 gây giảm chức năng của enhancer -> 2 tương tự 1 nhưng vai trò ít quan trọng hơn. c) - Cài trở lại trình tự 3 –> khôi phục lại sự biểu hiện như bình thường của nó (như I). - Loại trình tự gây giảm phiên mã là 1 hoặc 2 hoặc cả 2. |
0,25
0,25
0,25
0,5
0,25
0,25 0,25 |
Lời giải
|
a) - A: bất thường không phân li trong giảm phân II của người X vì: …... - B: bất thường không phân li trong giảm phân I của người Y: vì…….. - C: bất thường không phân li trong giảm phân I của người X - D: bất thường của người Y trong giảm phân II
b) Người X: A1A2; người Y: A3A4 Người A: A2A2A4; Người B: A1A3A4 Người C: A1A2A3 Người D: A2A4A4
|
0,25 0,25 0,25 0,25
0,25 0,25
0,5 |
Câu 3/12
(2,0 điểm)
Bệnh Huntington là bệnh di truyền do gen đột biến trội trên NST thường gây ra. Các alen kiểu dại HD+ có chứa tối đa 35 lần lặp 3 nucleotide CAG ở vùng mã hóa của gen HD (CAG là bộ ba mã hóa glutamine), còn alen gây bệnh chứa từ 36 lần lặp CAG trở lên. Các alen có từ 36 đến 41 lần lặp CAG có độ thấm (độ thâm nhập) không hoàn toàn, các alen gây bệnh có 42 lần lặp trở lên có độ thâm nhập hoàn toàn. Đoạn lặp càng dài thì biểu hiện bệnh càng sớm và độ nghiêm trọng bệnh càng cao. Thực hiện PCR khuếch đại vùng chứa trình tự lặp CAG ở gen HD của 8 người (kí hiệu từ A đến H) sử dụng cặp mồi đặc hiệu. Trong đó, đầu 5’ của một mồi cách 60 nucleotide ngược dòng so với CAG đầu tiên của vùng lặp. Kết quả điện di sản phẩm PCR thể hiện ở hình 4. Biết rằng alen kiểu dại HD+ tạo ra băng dài nhất có thể có kích thước 241 bp. Mỗi người tham gia nghiên cứu đều có cha hoặc mẹ bị mắc bệnh Hungtington.

Hãy trả lời các câu hỏi sau:
a) Những người nào trong số 8 người (A-H) người nào bình thường, người nào chắc chắn mắc bệnh Huntington? Hãy sắp xếp những người mắc bệnh theo thứ tự tuổi khởi phát bệnh từ sớm nhất đến muộn nhất. Giải thích.
b) Hãy tính khoảng cách ở phía xuôi dòng từ CAG cuối cùng đến đầu 5' của mồi còn lại.
(2,0 điểm)
Bệnh Huntington là bệnh di truyền do gen đột biến trội trên NST thường gây ra. Các alen kiểu dại HD+ có chứa tối đa 35 lần lặp 3 nucleotide CAG ở vùng mã hóa của gen HD (CAG là bộ ba mã hóa glutamine), còn alen gây bệnh chứa từ 36 lần lặp CAG trở lên. Các alen có từ 36 đến 41 lần lặp CAG có độ thấm (độ thâm nhập) không hoàn toàn, các alen gây bệnh có 42 lần lặp trở lên có độ thâm nhập hoàn toàn. Đoạn lặp càng dài thì biểu hiện bệnh càng sớm và độ nghiêm trọng bệnh càng cao. Thực hiện PCR khuếch đại vùng chứa trình tự lặp CAG ở gen HD của 8 người (kí hiệu từ A đến H) sử dụng cặp mồi đặc hiệu. Trong đó, đầu 5’ của một mồi cách 60 nucleotide ngược dòng so với CAG đầu tiên của vùng lặp. Kết quả điện di sản phẩm PCR thể hiện ở hình 4. Biết rằng alen kiểu dại HD+ tạo ra băng dài nhất có thể có kích thước 241 bp. Mỗi người tham gia nghiên cứu đều có cha hoặc mẹ bị mắc bệnh Hungtington.

Hãy trả lời các câu hỏi sau:
a) Những người nào trong số 8 người (A-H) người nào bình thường, người nào chắc chắn mắc bệnh Huntington? Hãy sắp xếp những người mắc bệnh theo thứ tự tuổi khởi phát bệnh từ sớm nhất đến muộn nhất. Giải thích.
b) Hãy tính khoảng cách ở phía xuôi dòng từ CAG cuối cùng đến đầu 5' của mồi còn lại.
Lời giải
|
a) - người bình thường: D vì: D có 2 băng kích thước 241bp và 220bp. Đề cho các alen kiểu dại HD+ có chứa tối đa 35 lần lặp 3 nucleotide CAG ở vùng mã hóa của gen HD và alen kiểu dại HD+ tạo ra băng dài nhất có thể có kích thước 241 bp => băng 241bp là băng của allele bình thường; băng 220 bp có số lần lặp < 35 lần nên không bị bệnh. - người bị bệnh: A,B,C,F,G : vì đều tạo ra các băng có kích thước > 289 kb -> có hơn 42 lần lần lặp -> có độ thấm hoàn toàn -> chắc chắn mắc bệnh - người H, E: Vì có khoảng 36 lần lặp -> có độ thâm nhập không hoàn toàn -> không chắc chắn là có mang bệnh hay không - thứ tự khởi phát bệnh: B -> A -> C-> F -> G vì: người nào có đoạn lặp càng dài -> thời gian khởi phát bệnh càng sớm, người nào có số đoạn lặp càng ngắn -> thời gian khởi phát bệnh càng chậm. à người B có băng có kích thước lớn nhất ( 460kb) -> lặp nhiều nhất -> phát hiện bệnh sớm nhất và giảm dần theo kích thước băng b) khoảng cách ở phía xuôi dòng từ CAG cuối cùng đến đầu 5' của mồi còn lại: 241 – ( 35 x3) – 60 = 76 bp
|
0,125
0,125
0,5 0,25
0,25
0,25
0,25
0,25
|
Lời giải
|
6 (2,0) |
a) Quy ước: RR (đỏ), Rr (lang), rr (trắng) AA; Aa: cá thể sống bình thường; aa: gây chết sau khi sinh - Trường hợp 1 Giả sử con bố mẹ đều là RrAa + Xét từng gene Rr × Rr → màu: 1/4 RR (đỏ) : 2/4 Rr (lang) : 1/4 rr (trắng) Aa × Aa → kiểu gen: 1/4AA :2/4 Aa : 1/4aa; trong đó aa (1/4) là chết vài ngày sau sinh. + Xét đồng thời hai gen: Lúc sinh: aa chưa chết nên màu sắc con mới sinh là: 1/4 RR (đỏ) : 2/4 Rr (lang) : 1/4 rr (trắng) Vài ngày sau sinh: những con aa chết nên màu sắc con mới sinh là: 1/4 RR (đỏ) : 2/4 Rr (lang) : 1/4 rr (trắng) - Trường hợp 2: Giả sử con bố mẹ đều là Rr AA : Biện luận tương tự như trường hợp 1: Lúc sinh: màu sắc con mới sinh là: 1/4 RR (đỏ) : 2/4 Rr (lang) : 1/4 rr (trắng) Vài ngày sau sinh: những con aa chết: 1/4 RR (đỏ) : 2/4 Rr (lang) : 1/4 rr (trắng) - Trường hợp 3: Giả sử bố Rr Aa x mẹ Rr AA hoặc ngược lại Lúc sinh: màu sắc con mới sinh là: 1/4 RR (đỏ) : 2/4 Rr (lang) : 1/4 rr (trắng) Vài ngày sau sinh: những con aa chết: 1/4 RR (đỏ) : 2/4 Rr (lang) : 1/4 rr (trắng) b) Kiểu gen bố mẹ là RrAa x RrAa ; aa chết Tỉ lệ cần tính là 1/12:1/4= 1/3 |
0,25
0,5
0,5
0,5
0,25 |
Lời giải
|
-Bệnh do gene lặn quy định vì ……… -Gene quy định tính trạng nằm trên NST thường vì người nam đều có 2 băng ó mang 2 allele của một gene - Kiểu gen: Quy ước gene A: bình thường; a: bị bệnh Người số 2,5,7 là aa; người còn lại Aa b) 10 và 11 đều có kiểu gene Aa => F ¾ bình thường; ¼ bị bệnh Xác suất sinh con trai bình thường = ¾.1/2 = 3/8 |
0,25
0,25 0,25 0,75 0,25 0,25 |
Lời giải
|
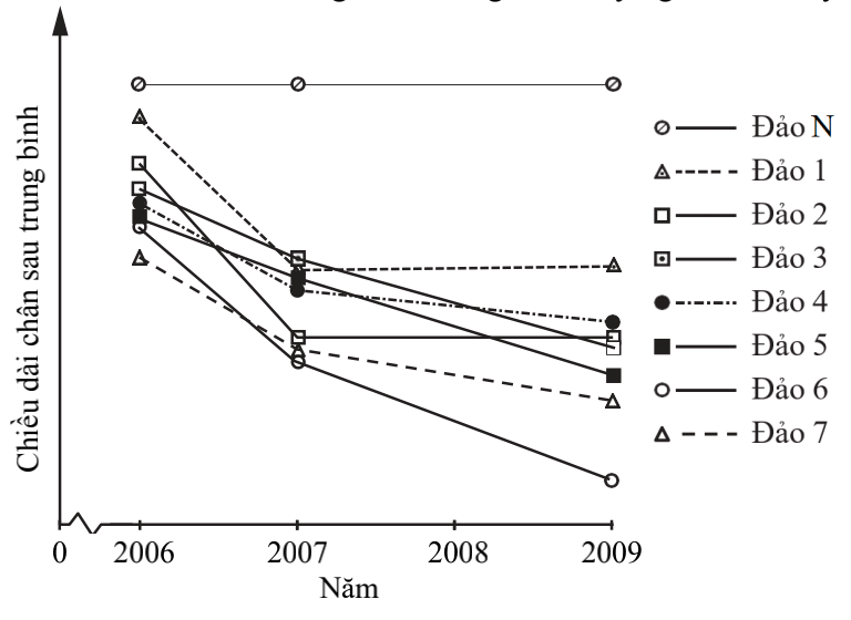
a) - Cả 7 đảo đều có xu hướng giảm chiều dài chân sau trong khi đó đảo N có chiều dài chân sau không thay đổi theo thời gian. - Vì trên các đảo này, chân sau ngắn có ưu thế chọn lọc giá trị thích nghi cao hơn → nhiều cá thể chân ngắn sống sót hơn và truyền alen cho thế hệ sau → tăng tần số alen chân ngắn. b) Không. Vì chân sau ngắn có ưu thế chọn lọc ở các đảo này nên thảm thực vật ở đây chủ yếu là cây nhỏ. c) - Hiệu ứng kẻ sáng lập. Vì quần thể mới được hình thành do một số cá thể của quần thể cũ bị cách ly có vốn gen khác hoàn toàn so với quần thể gốc. - Diễn ra theo chọn lọc định hướng, vì kiểu hình có ưu thế (chân ngắn) chỉ nằm ở một phía duy nhất trong dãy các loại kiểu hình. d) - QT kích thước nhỏ nên đa dạng di truyền thấp, dễ chịu ảnh hưởng bởi các yếu tố ngẫu nhiên. - QT ban đầu chủ yếu giao phối gần nên dễ bị thoái hoá, lại không có dòng gen từ quần thể khác. |
0,25
0,25
0,5
0,25 0,25
0,25 0,25 |
Lời giải
Bạn cần đăng ký gói VIP ( giá chỉ từ 250K ) để làm bài, xem đáp án và lời giải chi tiết không giới hạn.
Lời giải
Bạn cần đăng ký gói VIP ( giá chỉ từ 250K ) để làm bài, xem đáp án và lời giải chi tiết không giới hạn.
Đoạn văn 1
(2,0 điểm)
Lời giải
Bạn cần đăng ký gói VIP ( giá chỉ từ 250K ) để làm bài, xem đáp án và lời giải chi tiết không giới hạn.
Lời giải
Bạn cần đăng ký gói VIP ( giá chỉ từ 250K ) để làm bài, xem đáp án và lời giải chi tiết không giới hạn.
Đoạn văn 2
(2,0 điểm)
Lời giải
Bạn cần đăng ký gói VIP ( giá chỉ từ 250K ) để làm bài, xem đáp án và lời giải chi tiết không giới hạn.
Lời giải
Bạn cần đăng ký gói VIP ( giá chỉ từ 250K ) để làm bài, xem đáp án và lời giải chi tiết không giới hạn.
Xem tiếp với tài khoản VIP
Còn 6/12 câu hỏi, đáp án và lời giải chi tiết.
Bạn cần đăng ký gói VIP ( giá chỉ từ 250K ) để làm bài, xem đáp án và lời giải chi tiết không giới hạn.






