Đề thi giữa kì 1 Toán 8 Kết nối tri thức (2023-2024) có đáp án - Đề 5
5 người thi tuần này 4.6 84 lượt thi 24 câu hỏi 45 phút
Bạn cần đăng ký gói VIP ( giá chỉ từ 250K ) để làm bài, xem đáp án và lời giải chi tiết không giới hạn.
🔥 Học sinh cũng đã học
Đề thi giữa kì 1 Toán 8 Kết nối tri thức (2023-2024) có đáp án - Đề 1
Đề cương ôn tập cuối kì 2 Toán 8 Cánh diều cấu trúc mới có đáp án - Tự luận
Đề cương ôn tập cuối kì 2 Toán 8 Cánh diều cấu trúc mới có đáp án - Trắc nghiệm
Đề cương ôn tập cuối kì 2 Toán 8 Chân trời sáng tạo cấu trúc mới có đáp án - Tự luận
Đề cương ôn tập cuối kì 2 Toán 8 Chân trời sáng tạo cấu trúc mới có đáp án - Trắc nghiệm
Đề cương ôn tập cuối kì 2 Toán 8 Kết nối tri thức cấu trúc mới có đáp án - Tự luận
Đề cương ôn tập cuối kì 2 Toán 8 Kết nối tri thức cấu trúc mới có đáp án - Trắc nghiệm
Bộ 10 đề thi cuối kì 2 Toán 8 Cánh diều có đáp án - Đề 10
Danh sách câu hỏi:
Câu 1
Lời giải
Chọn A
Câu 2
Lời giải
Chọn C
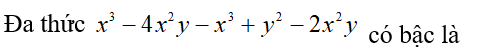
Câu 3
Lời giải
Chọn A
Câu 5
Lời giải
Chọn D
Lời giải
Bạn cần đăng ký gói VIP ( giá chỉ từ 250K ) để làm bài, xem đáp án và lời giải chi tiết không giới hạn.
Lời giải
Bạn cần đăng ký gói VIP ( giá chỉ từ 250K ) để làm bài, xem đáp án và lời giải chi tiết không giới hạn.
Câu 8
Lời giải
Bạn cần đăng ký gói VIP ( giá chỉ từ 250K ) để làm bài, xem đáp án và lời giải chi tiết không giới hạn.
Lời giải
Bạn cần đăng ký gói VIP ( giá chỉ từ 250K ) để làm bài, xem đáp án và lời giải chi tiết không giới hạn.
Câu 10
Lời giải
Bạn cần đăng ký gói VIP ( giá chỉ từ 250K ) để làm bài, xem đáp án và lời giải chi tiết không giới hạn.
Câu 11
A. Hình thang cân.
B. Hình bình hành.
Lời giải
Bạn cần đăng ký gói VIP ( giá chỉ từ 250K ) để làm bài, xem đáp án và lời giải chi tiết không giới hạn.
Câu 12
Lời giải
Bạn cần đăng ký gói VIP ( giá chỉ từ 250K ) để làm bài, xem đáp án và lời giải chi tiết không giới hạn.
Câu 13
Lời giải
Bạn cần đăng ký gói VIP ( giá chỉ từ 250K ) để làm bài, xem đáp án và lời giải chi tiết không giới hạn.
Câu 14
A. Dữ liệu số liên tục.
B. Dữ liệu không là số có thể sắp thứ tự.
Lời giải
Bạn cần đăng ký gói VIP ( giá chỉ từ 250K ) để làm bài, xem đáp án và lời giải chi tiết không giới hạn.
Lời giải
Bạn cần đăng ký gói VIP ( giá chỉ từ 250K ) để làm bài, xem đáp án và lời giải chi tiết không giới hạn.
Câu 16
A. Quan sát.
B. Lập phiếu điều tra.
Lời giải
Bạn cần đăng ký gói VIP ( giá chỉ từ 250K ) để làm bài, xem đáp án và lời giải chi tiết không giới hạn.
Câu 17
A. Biểu đồ cột kép
B. Biểu đồ đoạn thẳng
Lời giải
Bạn cần đăng ký gói VIP ( giá chỉ từ 250K ) để làm bài, xem đáp án và lời giải chi tiết không giới hạn.
Câu 18
A.Biểu đồ cột kép.
B. Biểu đồ đoạn thẳng.
Lời giải
Bạn cần đăng ký gói VIP ( giá chỉ từ 250K ) để làm bài, xem đáp án và lời giải chi tiết không giới hạn.
Lời giải
Bạn cần đăng ký gói VIP ( giá chỉ từ 250K ) để làm bài, xem đáp án và lời giải chi tiết không giới hạn.
Câu 20
Lời giải
Bạn cần đăng ký gói VIP ( giá chỉ từ 250K ) để làm bài, xem đáp án và lời giải chi tiết không giới hạn.
Lời giải
Bạn cần đăng ký gói VIP ( giá chỉ từ 250K ) để làm bài, xem đáp án và lời giải chi tiết không giới hạn.
Lời giải
Bạn cần đăng ký gói VIP ( giá chỉ từ 250K ) để làm bài, xem đáp án và lời giải chi tiết không giới hạn.
Lời giải
Bạn cần đăng ký gói VIP ( giá chỉ từ 250K ) để làm bài, xem đáp án và lời giải chi tiết không giới hạn.
Lời giải
Bạn cần đăng ký gói VIP ( giá chỉ từ 250K ) để làm bài, xem đáp án và lời giải chi tiết không giới hạn.













