Câu hỏi:

11/03/2026 26 Lưu

Một nhóm học sinh thực hiện đo cường độ dòng điện và hiệu điện thế ứng với các vật dẫn khác nhau với các dụng cụ: 1 ampe kế, 1 vôn kế, 1 nguồn có thể điều chỉnh được hiệu điện thế (điện trở không đáng kể), hai vật dẫn R1 và R2 khác nhau, dây dẫn và khóa K.

Thí nghiệm được tiến hành như sau:

Mạch được mắc như Hình 1.

Đóng khóa K, điều chỉnh hiệu điện thế của nguồn ta thu được các giá trị của cường độ dòng điện I, chạy qua vật dẫn R1, kết quả được ghi trong Bảng 1 . Thay vật dẫn R2 vào vị trí của vật dẫn R1 và lặp lại thí nghiệm tương tự, ghi kết quả của I và R2 vào bảng 1

*Trích sách giáo khoa Vật lí 11 - Kết nối tri thức với cuộc sống
Trả lời cho các câu 61, 62, 63, 64, 65, 66, 67, 68 dưới đây:

Khi đặt cùng một hiệu điện thế vào hai đầu R_1,R_2 thì cường độ dòng điện chạy qua hai vật dẫn là:

a) bằng nhau 
Đúng
Sai
b) khác nhau
Đúng
Sai

Quảng cáo

Trả lời:

verified Giải bởi Vietjack

Phương pháp giải

Sử dụng kết quả từ bảng số liệu

Giải chi tiết

Phân tích Bảng 1 (Ví dụ): Tại U = 4 V:

IR1= 1,73 mA à \(\)\({R_1} = \frac{4}{{1,73}} \approx 2,31\Omega \) (kiểm tra)

IR2= 0,87 mA à \(\)\({R_2} = \frac{4}{{0,87}} \approx 4,6\Omega \) (kiểm tra)

=> I1 ≠ I2 à Khi đặt cùng một hiệu điện thế vào hai đầu R1,R2  thì cường độ dòng điện chạy qua hai vật dẫn là khác nhau

Đáp án cần chọn là: S; Đ

Câu hỏi cùng đoạn

Câu 2:

Điền từ thích hợp vào chỗ trống:
Trong hình 1, ampe kế được mắc (1)
_________  với vật dẫn để đo cường độ dòng điện, vôn kế được mắc (2) __________ với vật để đo hiệu điện thế giữa hai đầu vật dẫn.

Viết đáp án dạng (1), (2).
 

Xem lời giải

verified Giải bởi Vietjack

Đáp án:

1. nối tiếp
2. song song

Phương pháp giải

Sử dụng lý thuyết các mắc các dụng cụ đo điện

Giải chi tiết

Ampe kế: Dùng để đo cường độ dòng điện, phải được mắc nối tiếp trong mạch để tất cả dòng điện chạy qua nó.

Vôn kế: Dùng để đo hiệu điện thế, phải được mắc song song với đoạn mạch cần đo.

à Trong hình 1, ampe kế được mắc nối tiếp với vật dẫn để đo cường độ dòng điện, vôn kế được mắc song song với vật để đo hiệu điện thế giữa hai đầu vật dẫn

Đáp án cần điền là: nối tiếp, song song

Câu 3:

Hiệu điện thế của nguồn đo được qua vôn kế là 6 V, khi đó cường độ dòng điện qua R_2 là bao nhiêu? 

A. 2,6 Ma 
B. 1,31 mA 
C. 2,06 mA 
D. 1,13 mA

Xem lời giải

verified Giải bởi Vietjack

Phương pháp giải

Sử dụng dữ kiện từ bảng số liệu

Giải chi tiết

Cường độ dòng điện qua R2 là: 1,31mA
Đáp án cần chọn là:B

Câu 4:

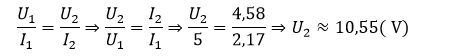
Khi cường độ dòng điện qua vật 1 có giá trị xấp xì bằng 4,58 mA thì hiệu điện thế của nguồn khi đó có thế là: 

A. 7 V 
B. 8 V 
C. 9 V 
D. 10 V

Xem lời giải

verified Giải bởi Vietjack

Phương pháp giải

Sử dụng dữ kiện từ bảng số liệu
Hiệu điện thế giữa hai đầu vật dẫn tỉ lệ với cường độ dòng điện qua vật dẫn

Giải chi tiết

Hiệu điện thế giữa hai đầu vật dẫn tỉ lệ với cường độ dòng điện qua vật dẫn, ta có:

Khi cường độ dòng điện qua vật 1 có giá trị xấp xì bằng 4,58

Đáp án cần chọn làD

Câu 5:

Khi mắc nối tiếp hai vật dẫn, khi đó điện trở của mạch điện được xác định bằng biểu thức nào sau đây? 

A. R_1+R_2 
B. R_1-R_2 
C. R_1⋅R_2
D. R_1/R_2

Xem lời giải

verified Giải bởi Vietjack

Phương pháp giải

Điện trờ tương đương của đoạn mạch ghép nối tiếp: R=R_1+R_2

Giải chi tiết

Đối với đoạn mạch mắc nối tiếp, điện trở tương đương R bằng tổng các điện trở thành phần:

Điện trờ của mạch điện là: R=R_1+R_2

Đáp án cần chọn là: A

Câu 6:

Khi ghép song song hai vật dẫn rồi thay vào vị trí R_1 và lặp lại các bước thí nghiệm. Khi vôn kế chỉ 8 V thì ampe kế sẽ chỉ:

A. 0,83 mA
B. 1,16 mA 
C. 0,38  mA 
D. 5,2  mA

Xem lời giải

verified Giải bởi Vietjack

Phương pháp giải

Sử dụng thông tin từ bảng dữ liệu

Khi ghép song song hai vật dẫn rồi thay vào vị trí R_1 và lặp lại các bước thí nghiệm. Khi vôn kế chỉ 8 V thì ampe kế sẽ chỉ:   	0,83

Đáp án cần chọn là: D

Câu 7:

Đồ thị thể hiện mối quan hệ thể hiện đường đặc trưng U-I của vật rắn có nhiệt độ không đổi là:

a) đường parabol 
Đúng
Sai
b) đường thẳng đi qua gốc toạ độ
Đúng
Sai

Xem lời giải

verified Giải bởi Vietjack

Phương pháp giải

Sử dụng lý thuyết đồ thị hàm số

Giải chi tiết

Theo Định luật Ohm, với vật dẫn có nhiệt độ không đổi (điện trở R là hằng số):

U = R.I

Ta thấy U tỉ lệ với I → đồ thị đường đặc trưng U-I là đương thẳng đi qua gốc tọa độ dạng y = kx, với y = U, x = I và hệ số góc k = R

Đáp án cần chọn là: S; Đ

Câu 8:

Cho 2 vật dẫn R_1,R_2 và một hiệu điện thế U không đổi. Mắc R_1 vào U thì công suất tỏa nhiệt trên R_1 là 100 W. Mắc nối tiếp R_1 và R_2 rồi mắc vào U thì công suất tỏa nhiệt trên R_1 là 64 W. Tìm tì số R_1/R_2 ? 

A. 0,25 
B. 4 
C. 2 . 
D. 0,5 .

Xem lời giải

verified Giải bởi Vietjack

Phương pháp giải

Cho 2 vật dẫn R_1,R_2 và một hiệu điện thế U không đổi. Mắc R_1 vào U thì công suất tỏa nhiệt trên R_1 là 100 W. Mắc nối tiếp R_1 và R_2 rồi mắc vào U thì công suất tỏa nhiệt trên R_1 là 64 W. Tìm tì số R_1/R_2  ?   	0,25 . 	4 . 	2 . 	0,5 . (ảnh 1)

CÂU HỎI HOT CÙNG CHỦ ĐỀ

Câu 1

A. Phân loại các siêu tân tinh. 
B. Giải thích về siêu tân tinh. 
C. Chứng minh sức tàn phá của một siêu tân tinh. 
D. Bàn luận về sự chết đi của một ngôi sao.

Lời giải

Phương pháp giải

Căn cứ bài đọc hiểu, phân tích.

Giải chi tiết

Ý chính của bài đọc: Giải thích về siêu tân tinh.

Đáp án cần chọn là: B

Câu 2

A. Nghiên cứu về khả năng mắc bệnh tim mạch của những người có nhóm máu A,B và AB. 
B. Giới thiệu về công trình nghiên cứu của Hiệp hội Tim mạch Hoa Ki. 
C. Phân tích cơ chế hoạt động của các nhóm máu. 
D. Phân biệt giữa các nhóm máu của cơ thể con người.

Lời giải

Phương pháp giải

Đọc văn bản, tìm ý.

Giải chi tiết

Ý chính của bài viết: Nghiên cứu về khả năng mắc bệnh tim mạch của những người có nhóm máu A,B và AB.

Đáp án cần chọn là: A

Lời giải

Bạn cần đăng ký gói VIP ( giá chỉ từ 199K ) để làm bài, xem đáp án và lời giải chi tiết không giới hạn.

Nâng cấp VIP

Câu 4

A. cát và đất sét. 
B. đất sét và bùn. 
C. đất sét và cát. 
D. chỉ có cát.

Lời giải

Bạn cần đăng ký gói VIP ( giá chỉ từ 199K ) để làm bài, xem đáp án và lời giải chi tiết không giới hạn.

Nâng cấp VIP

Lời giải

Bạn cần đăng ký gói VIP ( giá chỉ từ 199K ) để làm bài, xem đáp án và lời giải chi tiết không giới hạn.

Nâng cấp VIP

Câu 6

A. Siêu tân tinh vừa là một vật thể vừa là một quá trình. 
B. Siêu tân tinh là thuật ngữ để chỉ quá trình hấp hối của một ngôi sao. 
C. Siêu tân tinh là một trong những "màn bắn pháo hoa" ngoạn mục nhất trong vũ trụ 
D. Siêu tân tinh là một hành tinh mới được phát hiện có kích thước lớn.

Lời giải

Bạn cần đăng ký gói VIP ( giá chỉ từ 199K ) để làm bài, xem đáp án và lời giải chi tiết không giới hạn.

Nâng cấp VIP