Đề thi thử Tốt nghiệp THPT Hóa học 2025 - 2026 Sở GD&ĐT Nghệ An lần 1 có đáp án
156 người thi tuần này 4.6 156 lượt thi 28 câu hỏi 50 phút
Bạn cần đăng ký gói VIP ( giá chỉ từ 250K ) để làm bài, xem đáp án và lời giải chi tiết không giới hạn.
🔥 Học sinh cũng đã học
Đề thi thử Tốt nghiệp THPT Hóa học 2025 - 2026 Sở GD&ĐT Cao Bằng lần 1 có đáp án
Đề thi thử Tốt nghiệp THPT Hóa học 2025 - 2026 Sở GD&ĐT Huế lần 1 có đáp án
Đề thi thử Tốt nghiệp THPT Hóa học 2025 - 2026 trường THPT Chuyên Trần Phú (Hải Phòng) lần 2 có đáp án
Đề thi thử Tốt nghiệp THPT Hóa học 2025 - 2026 Sở GD&ĐT Nghệ An lần 1 có đáp án
Đề thi thử Tốt nghiệp THPT Hóa học 2025 - 2026 Sở GD&ĐT Thanh Hóa lần 1 có đáp án
Đề thi thử Tốt nghiệp THPT Hóa học 2025 - 2026 Sở GD&ĐT Lào Cai lần 1 có đáp án
Đề thi thử Tốt nghiệp THPT Hóa học 2025 - 2026 trường THPT Chuyên Bình Long (Đồng Nai) lần 1 có đáp án
Đề thi thử Tốt nghiệp THPT Hóa học 2025 - 2026 trường THPT Chuyên KHTN Hà Nội lần 2 có đáp án
Danh sách câu hỏi:
Lời giải
Đáp án đúng là A
Có 3 polymer được tổng hợp bằng phản ứng trùng hợp, gồm polyethylene, poly(vinyl chloride), polystyrene (trùng hợp tương ứng CH2=CH2, CH2=CH-Cl và CH2=CH-C6H5).
Nylon-6,6 điều chế từ phản ứng trùng ngưng H2N[CH2]6NH2 và HOOC[CH2]4COOH.
Câu 2/28
Methylamine.
Glycine.
Glutamic acid.
Aniline.
Lời giải
Đáp án đúng là A
Dung dịch methylamine (CH3NH2) làm quỳ tím hóa xanh. Còn lại Glu (1 -NH2 và 2 -COOH) làm quỳ tím hóa đỏ. Gly và aniline không làm đổi màu quỳ tím.
Lời giải
Đáp án đúng là A
Liên kết trong NaCl là liên kết ion vì Na là kim loại điển hình và Cl là phi kim điển hình.
Còn lại, liên kết trong N2 là liên kết cộng hóa trị không cực, trong H2O và HCl là liên kết cộng hóa trị có cực.
Câu 4/28
ethanal.
aldehyde acetic.
aldehyde formic.
methanal.
Lời giải
Đáp án đúng là B
Tên gọi thông thường của hợp chất CH3CHO là aldehyde acetic.
Ethanal là tên quốc tế của CH3CHO.
Câu 5/28
được tạo bởi các chất có đầu ưa nước và đuôi kị nước.
đều dễ phân hủy sinh học nên không gây ô nhiễm môi trường.
tính giặt rửa không bị ảnh hưởng khi giặt trong nước cứng.
đều có thể sản xuất trực tiếp bằng phản ứng xà phòng hóa chất béo.
Lời giải
Đáp án đúng là A
Chất giặt rửa tổng hợp và xà phòng có điểm chung là được tạo bởi các chất có đầu ưa nước và đuôi kị nước.
Xà phòng dễ phân hủy sinh học, không dùng được trong nước cứng và sản xuất trực tiếp bằng phản ứng xà phòng hóa chất béo.
Chất giặt rửa tổng hợp khó phân hủy sinh học, dùng được trong nước cứng, không sản xuất từ chất béo mà từ dầu mỏ.
Câu 6/28
Saccharose.
Glucose.
Cellulose.
Tinh bột.
Lời giải
Đáp án đúng là B
Glucose (C6H12O6) thuộc loại monosaccharide.
Còn lại saccharose là disaccharide, cellulose và tinh bột là các polysaccharide.
Lời giải
Đáp án đúng là C
C2H2 có hàm lượng C lớn nhất (%C = 12.2/26 = 92,31%) nên đốt cháy C2H2 sẽ tạo ra ngọn lửa có nhiệt độ cao nhất.
Câu 8/28
A. (b), (c), (d).
B. (a), (c), (d).
C. (a), (b), (d).
D. (a), (b), (c).
Lời giải
Đáp án đúng là D
(a) Đúng, khi thế điện cực chuẩn tăng dần, tính khử của dạng khử giảm dần: Na > Mg > Cu > Fe2+.
(b) Đúng, khi thế điện cực chuẩn tăng dần, tính oxi hóa của dạng oxi hóa tăng dần nên Fe3+ có tính oxi hóa mạnh hơn Mg2+.
(c) Đúng: Cu + Fe2(SO4)3 → CuSO4 + 2FeSO4
(d) Sai, Na khử H2O trước:
2Na + 2H2O → 2NaOH + H2
2NaOH + CuSO4 → Cu(OH)2 + Na2SO4
Câu 9/28
Nhiệt độ nóng chảy cao.
Khối lượng riêng nhỏ.
Dẫn điện tốt.
Độ cứng lớn.
Lời giải
Bạn cần đăng ký gói VIP ( giá chỉ từ 250K ) để làm bài, xem đáp án và lời giải chi tiết không giới hạn.
Câu 10/28
Đinh thép bị gỉ khi để trong không khí ẩm.
Cho mẩu kim loại Na vào nước dư.
Điện phân nóng chảy Al2O3 để sản xuất nhôm.
Đốt cháy dây sắt trong khí chlorine.
Lời giải
Bạn cần đăng ký gói VIP ( giá chỉ từ 250K ) để làm bài, xem đáp án và lời giải chi tiết không giới hạn.
Câu 11/28
NaOH.
Na2CO3.
KCl.
NaCl.
Lời giải
Bạn cần đăng ký gói VIP ( giá chỉ từ 250K ) để làm bài, xem đáp án và lời giải chi tiết không giới hạn.
Câu 12/28
Dung dịch NH3 có pH > 7.
Trong nước, NH3 là một base.
Dung dịch NH3 làm quỳ tím hóa đỏ.
Trong dung dịch NH3 có cả NH4+, OH- và NH3.
Lời giải
Bạn cần đăng ký gói VIP ( giá chỉ từ 250K ) để làm bài, xem đáp án và lời giải chi tiết không giới hạn.
Câu 13/28
Sản xuất phân đạm.
Tác nhân làm lạnh.
Khử trùng nước sinh hoạt.
Sản xuất nitric acid.
Lời giải
Bạn cần đăng ký gói VIP ( giá chỉ từ 250K ) để làm bài, xem đáp án và lời giải chi tiết không giới hạn.
Câu 14/28
Sắc ký.
Chưng cất.
Kết tinh.
Chiết lỏng - rắn.
Lời giải
Bạn cần đăng ký gói VIP ( giá chỉ từ 250K ) để làm bài, xem đáp án và lời giải chi tiết không giới hạn.
Câu 15/28
HClO.
NaCl.
Cl2.
HCl.
Lời giải
Bạn cần đăng ký gói VIP ( giá chỉ từ 250K ) để làm bài, xem đáp án và lời giải chi tiết không giới hạn.
Lời giải
Bạn cần đăng ký gói VIP ( giá chỉ từ 250K ) để làm bài, xem đáp án và lời giải chi tiết không giới hạn.
Câu 17/28
Phần dung dịch bên phía anode chuyển sang màu xanh chứng tỏ có I2 sinh ra và nhận định của nhóm học sinh trên là đúng.
Nếu cho phenolphthalein vào phần dung dịch bên phía cathode, dung dịch sẽ chuyển thành màu hồng.
Sau khi điện phân, nếu tháo màng ngăn, khuấy đều dung dịch sẽ tạo thành nước Javel.
Sau điện phân, nhóm học sinh trên lấy 5 mL dung dịch bên anode đem pha loãng bằng nước cất và chuẩn độ bằng dung dịch Na2S2O3 0,1 M đến khi dung dịch mất màu thì dùng hết 29,8 mL. Biết phương trình chuẩn độ: 2Na2S2O3 + I2 → Na2S4O6 + 2NaI. Nồng độ mol/L của I2 được xác định bằng phương pháp chuẩn độ trên là 0,298M. (Kết quả các phép tính trung gian không được làm tròn, chỉ kết quả cuối cùng được làm tròn đến hàng phần nghìn).
Lời giải
Bạn cần đăng ký gói VIP ( giá chỉ từ 250K ) để làm bài, xem đáp án và lời giải chi tiết không giới hạn.
Câu 18/28
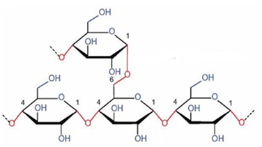
Đoạn mạch trên là của amylose và chứa 4 đơn vị β-glucose.
Cấu tạo của đoạn mạch trên có các liên kết β-1,4-glycoside và β-1,6-glycoside.
Tinh bột bị thủy phân hoàn toàn nhờ các enzyme trong quá trình tiêu hóa tạo ra glucose.
Giá trị của V là 18,3. (Kết quả phép tính trung gian không được làm tròn, chỉ làm tròn kết quả cuối cùng đến hàng phần mười).
Lời giải
Bạn cần đăng ký gói VIP ( giá chỉ từ 250K ) để làm bài, xem đáp án và lời giải chi tiết không giới hạn.
Đoạn văn 1
Sử dụng thông tin cho dưới đây để trả lời các câu số 17 – 18:
Nước cứng là nước chứa nhiều ion Ca2+, Mg2+. Dựa vào tính chất và thành phần người ta chia nước cứng thành các loại nước có tính cứng tạm thời, nước cứng có tính cứng vĩnh cửu và nước có tính cứng toàn phần. Tuy nhiên độ cứng của nước được xác định dựa trên tổng nồng độ mol Ca2+ và Mg2+ quy đổi về hàm lượng CaCO3 mg/L nước (ví dụ một loại nước cứng có tổng nồng độ Ca2+ và Mg2+ là 0,0018 M thì có độ cứng bằng 180). Theo hiệp hội chất lượng nước Hoa Kỳ (WQA) và USGS phân loại như sau:
|
Độ cứng (mg CaCO3/L nước) |
≤ 60 |
> 60 và ≤ 120 |
> 120 và ≤ 180 |
> 180 |
|
Loại nước |
Nước mềm |
Hơi cứng |
Cứng |
Rất cứng |
Câu 19/28
A. MgCl2, CaCl2.
B. NaHCO3, KHCO3.
C. Ca(HCO3)2, Mg(HCO3)2.
D. MgSO4, CaSO4.
Lời giải
Bạn cần đăng ký gói VIP ( giá chỉ từ 250K ) để làm bài, xem đáp án và lời giải chi tiết không giới hạn.
Lời giải
Bạn cần đăng ký gói VIP ( giá chỉ từ 250K ) để làm bài, xem đáp án và lời giải chi tiết không giới hạn.
Xem tiếp với tài khoản VIP
Còn 20/28 câu hỏi, đáp án và lời giải chi tiết.
Bạn cần đăng ký gói VIP ( giá chỉ từ 250K ) để làm bài, xem đáp án và lời giải chi tiết không giới hạn.

