Đề thi thử Tốt nghiệp THPT Hóa học 2025 - 2026 trường THPT Cẩm Xuyên (Hà Tĩnh) lần 1 có đáp án
315 người thi tuần này 4.6 315 lượt thi 28 câu hỏi
Bạn cần đăng ký gói VIP ( giá chỉ từ 250K ) để làm bài, xem đáp án và lời giải chi tiết không giới hạn.
🔥 Học sinh cũng đã học
Đề thi thử Tốt nghiệp THPT Hóa học 2025 - 2026 Liên trường Hải Phòng lần 2 có đáp án
Đề thi thử Tốt nghiệp THPT Hóa học 2025 - 2026 trường THPT Cẩm Xuyên (Hà Tĩnh) lần 1 có đáp án
Đề thi thử Tốt nghiệp THPT Hóa học 2025 - 2026 Liên trường Nghệ An (Lần 2) có đáp án
Đề thi thử Tốt nghiệp THPT Hóa học 2025 - 2026 trường THPT Vũng Tàu (Hồ Chí Minh) có đáp án
Đề thi thử Tốt nghiệp THPT Hóa học 2025 - 2026 trường THPT An Dương (Hải Phòng) lần 2 có đáp án
Đề thi thử Tốt nghiệp THPT Hóa học 2025 - 2026 Sở Bắc Ninh (lần 1) có đáp án
Đề thi thử Tốt nghiệp THPT Hóa học 2025 - 2026 Sở GD&ĐT Hưng Yên có đáp án
Đề thi thử Tốt nghiệp THPT Hóa học 2025 - 2026 Sở GD&ĐT Hà Tĩnh (Số 18) có đáp án
Danh sách câu hỏi:
Câu 1
Trùng hợp vinyl alcohol thu được poly(vinyl alcohol).
Cellulosetriacetate là một loại polymer bán tổng hợp.
Tơ tằm thuộc loại polyamide.
Poly(vinyl chloride) có khả năng tham gia phản ứng cộng.
Lời giải
Đáp án đúng là B
Câu 2
Glucose.
Fructose.
Glycerol.
Amylopectin.
Lời giải
Đáp án đúng là D
Câu 3
CH2=C(Cl)-CH2-CH3.
CH2=CHCl.
CH3-CHCl-CH=CH2.
CH2=C(Cl)-CH=CH2.
Lời giải
Đáp án đúng là D
Câu 4
Triolein.
Sodium stearate.
Linoleic acid.
Vinyl acetate.
Lời giải
Đáp án đúng là B
Câu 5
Amylopectin.
Maltose.
Glycerol.
Saccharose.
Lời giải
Đáp án đúng là B
Câu 6
Glycerol, acetic acid, fructose.
Maltose, saccharose, glucose.
Amylopectin, glucose, fructose.
Saccharose, cellulose, maltose.
Lời giải
Bạn cần đăng ký gói VIP ( giá chỉ từ 250K ) để làm bài, xem đáp án và lời giải chi tiết không giới hạn.
Lời giải
Bạn cần đăng ký gói VIP ( giá chỉ từ 250K ) để làm bài, xem đáp án và lời giải chi tiết không giới hạn.
Câu 8
4.
3.
2.
5.
Lời giải
Bạn cần đăng ký gói VIP ( giá chỉ từ 250K ) để làm bài, xem đáp án và lời giải chi tiết không giới hạn.
Câu 9
Tripalmitin.
Benzyl acetate.
Vinyl fomate.
Phenyl acetate.
Lời giải
Bạn cần đăng ký gói VIP ( giá chỉ từ 250K ) để làm bài, xem đáp án và lời giải chi tiết không giới hạn.
Câu 10
Đồng trùng ngưng buta-1,3-diene với styrene thu được cao su buna-S.
Quá trình lưu hóa cao su không làm thay đổi số nguyên tử carbon và hydrogen trong mạch polymer.
Trùng hợp isoprene thu được cao su tự nhiên.
Ở cao su lưu hóa, các mạch polymer được nối với nhau chủ yếu bởi các cầu nối disulfide.
Lời giải
Bạn cần đăng ký gói VIP ( giá chỉ từ 250K ) để làm bài, xem đáp án và lời giải chi tiết không giới hạn.
Câu 11
Trong các chất trên có 2 chất bị oxi hóa bởi dung dịch nước bromine.
Trong các chất trên, có 1 chất khi thủy phân chỉ thu được β-glucose.
Các chất trên đều có cùng công thức đơn giản nhất.
Trong các chất trên có 4 bị oxi hóa bởi thuốc thử Tollens.
Lời giải
Bạn cần đăng ký gói VIP ( giá chỉ từ 250K ) để làm bài, xem đáp án và lời giải chi tiết không giới hạn.
Câu 12
Methyl acetate.
Methyl acrylate.
Ethyl benzoate.
Vinyl acetate.
Lời giải
Bạn cần đăng ký gói VIP ( giá chỉ từ 250K ) để làm bài, xem đáp án và lời giải chi tiết không giới hạn.
Câu 13
Polybuta-1,3-diene.
Poly(methyl methacrylate).
Poly(hexamethylene adipamide).
Polyacrylonitrile.
Lời giải
Bạn cần đăng ký gói VIP ( giá chỉ từ 250K ) để làm bài, xem đáp án và lời giải chi tiết không giới hạn.
Câu 14
5.
3.
4.
2.
Lời giải
Bạn cần đăng ký gói VIP ( giá chỉ từ 250K ) để làm bài, xem đáp án và lời giải chi tiết không giới hạn.
Câu 15
2-aminopropanoic acid.
2-aminopropionic acid.
α-aminopropionic acid.
Alanine.
Lời giải
Bạn cần đăng ký gói VIP ( giá chỉ từ 250K ) để làm bài, xem đáp án và lời giải chi tiết không giới hạn.
Lời giải
Bạn cần đăng ký gói VIP ( giá chỉ từ 250K ) để làm bài, xem đáp án và lời giải chi tiết không giới hạn.
Câu 17
N-methylmethanamine.
Phenylmethylamine.
Trimethylamine.
3,3-dimethylbutan -2-amine.
Lời giải
Bạn cần đăng ký gói VIP ( giá chỉ từ 250K ) để làm bài, xem đáp án và lời giải chi tiết không giới hạn.
Câu 18
Thủy phân dipeptide Gly-Gly trong môi trường acid thu được glycine.
Urea và tripeptide Gly-Ala-Ala đều có phản ứng màu với Cu(OH)2.
Có thể phân biệt dipeptide mạch hở Glu-Gly và Gly-Gly bằng quỳ tím ẩm.
Trùng ngưng ε-aminoacid thu được polyamide.
Lời giải
Bạn cần đăng ký gói VIP ( giá chỉ từ 250K ) để làm bài, xem đáp án và lời giải chi tiết không giới hạn.
Câu 19
a. Sau bước 2 nếu cho dung dịch iodine vào ống nghiệm thấy xuất hiện màu xanh tím chứng tỏ tinh bột chưa bị thủy phân.
b. Sau bước 3 trong ống nghiệm xuất hiện kết tủa đỏ gạch do glucose khử Cu(OH)2/OH- thành Cu2O.
c. Vai trò của NaHCO3 trong bước 3 là phản ứng với dung dịch HCl.
d. Sản phẩm hữu cơ thu được sau bước 2 là α-glucose.
Lời giải
Bạn cần đăng ký gói VIP ( giá chỉ từ 250K ) để làm bài, xem đáp án và lời giải chi tiết không giới hạn.
Câu 20
a. Số liên kết sigma trong Y bằng 55.
b. Hợp chất Z được cấu tạo bởi hai phần, phần đuôi dài kị nước và phần đầu ưu nước.
c. Hợp chất X, Y, Z đều là hợp chất cộng hóa trị.
d. Giá trị của x là 35,74 (kết quả các phép tính trung gian không được làm tròn chỉ làm tròn phép tính cuối cùng đến chữ số phần trăm).
Lời giải
Bạn cần đăng ký gói VIP ( giá chỉ từ 250K ) để làm bài, xem đáp án và lời giải chi tiết không giới hạn.
Câu 21
a. Trong dung dịch X không làm đổi màu quỳ tím.
b. % theo khối lượng của nguyên tử oxygen trong X là 35,91% (kết quả làm tròn đến hàng phần trăm)
c. Trong dung dịch có pH =3, amino acid đầu N và đầu C của X đều di chuyển về cực âm của điện trường.
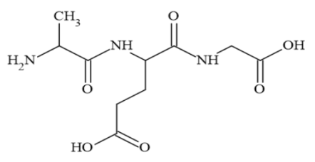
d. X thuộc loại tripeptide, X phản ứng với Cu(OH)2 tạo phức màu tím.
Lời giải
Bạn cần đăng ký gói VIP ( giá chỉ từ 250K ) để làm bài, xem đáp án và lời giải chi tiết không giới hạn.
Câu 22
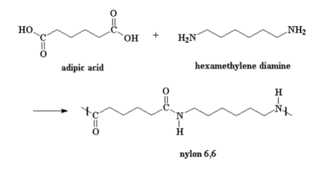
a. Tơ nilon-6,6 có chứa liên kết CO-NH vì vậy tơ nilon - 6,6 là polypeptide.
b. Tơ nilon - 6,6 kém bền trong môi trường acid và môi trường kiềm.
c. Tơ nilon - 6,6 là tơ bán tổng hợp được điều chế bằng phản ứng trùng ngưng.
d. Phân tử khối của một mắt xích trong nilon - 6,6 là 226 gam.
Lời giải
Bạn cần đăng ký gói VIP ( giá chỉ từ 250K ) để làm bài, xem đáp án và lời giải chi tiết không giới hạn.
Lời giải
Bạn cần đăng ký gói VIP ( giá chỉ từ 250K ) để làm bài, xem đáp án và lời giải chi tiết không giới hạn.
Lời giải
Bạn cần đăng ký gói VIP ( giá chỉ từ 250K ) để làm bài, xem đáp án và lời giải chi tiết không giới hạn.
Lời giải
Bạn cần đăng ký gói VIP ( giá chỉ từ 250K ) để làm bài, xem đáp án và lời giải chi tiết không giới hạn.
Lời giải
Bạn cần đăng ký gói VIP ( giá chỉ từ 250K ) để làm bài, xem đáp án và lời giải chi tiết không giới hạn.
Lời giải
Bạn cần đăng ký gói VIP ( giá chỉ từ 250K ) để làm bài, xem đáp án và lời giải chi tiết không giới hạn.
Lời giải
Bạn cần đăng ký gói VIP ( giá chỉ từ 250K ) để làm bài, xem đáp án và lời giải chi tiết không giới hạn.


