Đề thi thử Tốt nghiệp THPT Hóa học 2025 - 2026 trường THPT Chuyên Lê Thánh Tông (Đà Nẵng) lần 1 có đáp án
59 người thi tuần này 4.6 59 lượt thi 28 câu hỏi
Bạn cần đăng ký gói VIP ( giá chỉ từ 199K ) để làm bài, xem đáp án và lời giải chi tiết không giới hạn.
🔥 Học sinh cũng đã học
Đề thi thử Tốt nghiệp THPT Hóa học 2025 - 2026 Liên trường Hải Phòng lần 2 có đáp án
Đề thi thử Tốt nghiệp THPT Hóa học 2025 - 2026 trường THPT Cẩm Xuyên (Hà Tĩnh) lần 1 có đáp án
Đề thi thử Tốt nghiệp THPT Hóa học 2025 - 2026 Liên trường Nghệ An (Lần 2) có đáp án
Đề thi thử Tốt nghiệp THPT Hóa học 2025 - 2026 trường THPT Vũng Tàu (Hồ Chí Minh) có đáp án
Đề thi thử Tốt nghiệp THPT Hóa học 2025 - 2026 trường THPT An Dương (Hải Phòng) lần 2 có đáp án
Đề thi thử Tốt nghiệp THPT Hóa học 2025 - 2026 Sở Bắc Ninh (lần 1) có đáp án
Đề thi thử Tốt nghiệp THPT Hóa học 2025 - 2026 Sở GD&ĐT Hưng Yên có đáp án
Đề thi thử Tốt nghiệp THPT Hóa học 2025 - 2026 Sở GD&ĐT Hà Tĩnh (Số 18) có đáp án
Danh sách câu hỏi:
Câu 1
2-aminopropanoic acid.
α -aminopropanoic acid.
α-aminopropionic acid.
2-aminopropionic acid.
Lời giải
Đáp án đúng là A
Câu 2
Ammonia được tạo ra bằng cách cho nitrogen phản ứng với hydrogen với sự có mặt của chất xúc tác là iron. Phương trình phản ứng tạo ammonia diễn ra như sau: N2(g) + 3H2(g) ⇌ 2NH3(g)
Biết năng lượng liên kết (Eb) ở 25°C; 1 bar của một số loại liên kết được cho trong bảng sau:
| Liên kết | N\(≡\)N | N-H | H-H |
| Năng lượng liên kết Eb (kJ/mol) | 946 | 389 | 436 |
Biến thiên enthalpy chuẩn của phản ứng (kJ) tính theo năng lượng liên kết ở điều kiện trên có giá trị là
1476.
993.
80.
959.
Lời giải
Đáp án đúng là C
Câu 3
(CH3)3N.
C6H5NHCH3.
(CH3)2NH.
C2H5NH2
Lời giải
Đáp án đúng là D
Câu 4
Chiết lỏng – lỏng.
Kết tinh.
Chưng cất.
Chiết lỏng – rắn.
Lời giải
Đáp án đúng là D
Lời giải
Đáp án đúng là D
Câu 6
(a), (c), (d).
(b), (c), (d).
(a), (b), (c).
(a), (b), (d).
Lời giải
Bạn cần đăng ký gói VIP ( giá chỉ từ 199K ) để làm bài, xem đáp án và lời giải chi tiết không giới hạn.
Câu 7
Acetic acid.
Acetone.
Propan-2-ol.
Methyl formate.
Lời giải
Bạn cần đăng ký gói VIP ( giá chỉ từ 199K ) để làm bài, xem đáp án và lời giải chi tiết không giới hạn.
Câu 8
Acquy.
Pin mặt trời.
Pin Galvani.
Pin nhiên liệu.
Lời giải
Bạn cần đăng ký gói VIP ( giá chỉ từ 199K ) để làm bài, xem đáp án và lời giải chi tiết không giới hạn.
Câu 9
Glucose.
Saccharose.
Cellulose.
Fructose.
Lời giải
Bạn cần đăng ký gói VIP ( giá chỉ từ 199K ) để làm bài, xem đáp án và lời giải chi tiết không giới hạn.
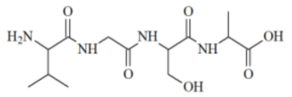
Câu 10
Amino acid đầu N của X là valine.
Dung dịch X không có phản ứng màu biuret.
Peptide X thuộc loại tripeptide.
Thủy phân X thu được tối đa 4 dipeptide.
Lời giải
Bạn cần đăng ký gói VIP ( giá chỉ từ 199K ) để làm bài, xem đáp án và lời giải chi tiết không giới hạn.
Câu 11
0,018.
0,12.
0,18.
0,012.
Lời giải
Bạn cần đăng ký gói VIP ( giá chỉ từ 199K ) để làm bài, xem đáp án và lời giải chi tiết không giới hạn.
Lời giải
Bạn cần đăng ký gói VIP ( giá chỉ từ 199K ) để làm bài, xem đáp án và lời giải chi tiết không giới hạn.
Lời giải
Bạn cần đăng ký gói VIP ( giá chỉ từ 199K ) để làm bài, xem đáp án và lời giải chi tiết không giới hạn.
Lời giải
Bạn cần đăng ký gói VIP ( giá chỉ từ 199K ) để làm bài, xem đáp án và lời giải chi tiết không giới hạn.
Câu 15
X không có phản ứng tráng bạc.
X có tính chất của alcohol đa chức
Y không tan trong nước.
Y có phân tử khối bằng 342 amu.
Lời giải
Bạn cần đăng ký gói VIP ( giá chỉ từ 199K ) để làm bài, xem đáp án và lời giải chi tiết không giới hạn.
Câu 16
Glycine bị acid hoá thành anion và di chuyển về phía anode.
Glycine bị acid hoá thành anion và di chuyển về phía cathode.
Glycine bị acid hoá thành cation và di chuyển về phía anode.
Glycine bị acid hoá thành cation và di chuyển về phía cathode.
Lời giải
Bạn cần đăng ký gói VIP ( giá chỉ từ 199K ) để làm bài, xem đáp án và lời giải chi tiết không giới hạn.
Câu 17
Bước 3 xảy ra quá trình tách proton (H+) để tạo ra sản phẩm.
Bước 1 xảy ra sự phân cắt dị li phân tử Br2 (sự phân cắt mà cặp electron dùng chung chỉ thuộc về 1 nguyên tử).
Phản ứng giữa benzene với bromine thuộc loại phản ứng thế.
Bước 2 xảy ra quá trình tương tác giữa benzene với tác nhân nucleophile.
Lời giải
Bạn cần đăng ký gói VIP ( giá chỉ từ 199K ) để làm bài, xem đáp án và lời giải chi tiết không giới hạn.
Câu 18
oxi hóa.
xà phòng hóa.
hydrogen hóa.
hydrate hóa.
Lời giải
Bạn cần đăng ký gói VIP ( giá chỉ từ 199K ) để làm bài, xem đáp án và lời giải chi tiết không giới hạn.
Câu 19
a. Ở điện cực dương xảy ra quá trình khử ion Cu2+: Cu2+ + 2e → Cu.
b. Do \({E}_{{Zn}^{2+}/Zn}^{o}<{E}_{{Cu}^{2+}/Cu}^{o}\) nên pin chanh tạo thành có Zn là cực âm, Cu là cực dương.
c. Thí nghiệm có thể dùng cho việc minh họa điều kiện để một vật bị ăn mòn điện hóa cụ thể là Zn bị ăn mòn điện hóa trong thí nghiệm trên.
d. Nếu đặt vôn kế vào hai điện cực của pin chanh thì vôn kế chỉ giá trị 1,1V.
Lời giải
Bạn cần đăng ký gói VIP ( giá chỉ từ 199K ) để làm bài, xem đáp án và lời giải chi tiết không giới hạn.
Câu 20
a. Thành phần trăm theo khối lượng của nitrogen trong phân tử caprolactam là 12,39%.
b. Phản ứng (3) là phản ứng trùng ngưng.
c. Tơ capron thuộc loại tơ nhân tạo.
d. Nếu hiệu suất chuyển hoá từ cyclohexanol đến capron là 60%, thi cứ 2,0 tấn cyclohexanol thu được 1,356 tấn tơ capron.
Lời giải
Bạn cần đăng ký gói VIP ( giá chỉ từ 199K ) để làm bài, xem đáp án và lời giải chi tiết không giới hạn.
Câu 21
a. X là hợp chất hữu cơ tạp chức.
b. Ở dạng mạch vòng, X có một nhóm -OH hemiaketal.
c. X có chứa 4 nhóm -OH alcohol trong phân tử.
d. X ít tan trong nước.
Lời giải
Bạn cần đăng ký gói VIP ( giá chỉ từ 199K ) để làm bài, xem đáp án và lời giải chi tiết không giới hạn.
Câu 22
a. Nung nóng X đến 160°C, thu được tinh thể muối ngậm nước Y, trong đó nước chiếm 6,21% khối lượng. Phần trăm khối lượng oxygen trong muối Y là 49,66% (kết quả làm tràn đến hàng phần trăm).
b. Trong muối X có 3 phân tử H2O.
c. Khi sử dụng vôi sống để khử chua đất nhiễm phèn thì tạo ra muối ngậm nước X ít tan, làm đất chai cứng.
d. Nước mặt và nước ngầm hòa tan nhiều muối của ion kim loại M.
Lời giải
Bạn cần đăng ký gói VIP ( giá chỉ từ 199K ) để làm bài, xem đáp án và lời giải chi tiết không giới hạn.
Lời giải
Bạn cần đăng ký gói VIP ( giá chỉ từ 199K ) để làm bài, xem đáp án và lời giải chi tiết không giới hạn.
Lời giải
Bạn cần đăng ký gói VIP ( giá chỉ từ 199K ) để làm bài, xem đáp án và lời giải chi tiết không giới hạn.
Lời giải
Bạn cần đăng ký gói VIP ( giá chỉ từ 199K ) để làm bài, xem đáp án và lời giải chi tiết không giới hạn.
Lời giải
Bạn cần đăng ký gói VIP ( giá chỉ từ 199K ) để làm bài, xem đáp án và lời giải chi tiết không giới hạn.
Lời giải
Bạn cần đăng ký gói VIP ( giá chỉ từ 199K ) để làm bài, xem đáp án và lời giải chi tiết không giới hạn.
Lời giải
Bạn cần đăng ký gói VIP ( giá chỉ từ 199K ) để làm bài, xem đáp án và lời giải chi tiết không giới hạn.







