Đề thi thử Tốt nghiệp THPT Hóa học 2025 - 2026 trường THPT Cửa Lò (Nghệ An) có đáp án
163 người thi tuần này 4.6 163 lượt thi 28 câu hỏi
Bạn cần đăng ký gói VIP ( giá chỉ từ 250K ) để làm bài, xem đáp án và lời giải chi tiết không giới hạn.
🔥 Học sinh cũng đã học
Đề thi thử Tốt nghiệp THPT Hóa học 2025 - 2026 Liên trường Hải Phòng lần 2 có đáp án
Đề thi thử Tốt nghiệp THPT Hóa học 2025 - 2026 trường THPT Cẩm Xuyên (Hà Tĩnh) lần 1 có đáp án
Đề thi thử Tốt nghiệp THPT Hóa học 2025 - 2026 Liên trường Nghệ An (Lần 2) có đáp án
Đề thi thử Tốt nghiệp THPT Hóa học 2025 - 2026 trường THPT Vũng Tàu (Hồ Chí Minh) có đáp án
Đề thi thử Tốt nghiệp THPT Hóa học 2025 - 2026 trường THPT An Dương (Hải Phòng) lần 2 có đáp án
Đề thi thử Tốt nghiệp THPT Hóa học 2025 - 2026 Sở Bắc Ninh (lần 1) có đáp án
Đề thi thử Tốt nghiệp THPT Hóa học 2025 - 2026 Sở GD&ĐT Hưng Yên có đáp án
Đề thi thử Tốt nghiệp THPT Hóa học 2025 - 2026 Sở GD&ĐT Hà Tĩnh (Số 18) có đáp án
Danh sách câu hỏi:
Câu 1
5.
2.
4.
3.
Lời giải
Đáp án đúng là D
Câu 2
(CH3)3N.
(CH3)2NH.
C2H5NH2.
CH3NH3.
Lời giải
Đáp án đúng là A
Lời giải
Đáp án đúng là B
Câu 4
chất béo và acid béo.
glycerol và chất béo.
dầu mỡ động thực vật và sản phẩm từ dầu mỏ.
trái bồ hòn, bồ kết.
Lời giải
Đáp án đúng là C
Câu 5
Omega-3.
Omega-9.
Omega-6.
Omega-5.
Lời giải
Đáp án đúng là A
Câu 6
Hồ tinh bột.
Saccharose.
Lòng trắng trứng.
Glucose.
Lời giải
Bạn cần đăng ký gói VIP ( giá chỉ từ 250K ) để làm bài, xem đáp án và lời giải chi tiết không giới hạn.
Câu 7
H2 (xt Ni, to).
CH3OH (xt HCl).
Cu(OH)2/OH-.
[Ag(NH3)2]OH.
Lời giải
Bạn cần đăng ký gói VIP ( giá chỉ từ 250K ) để làm bài, xem đáp án và lời giải chi tiết không giới hạn.
Câu 8
CH2=CH-CH=CH2.
CH2=CH2.
CH2=CH-CH3.
CH=CH.
Lời giải
Bạn cần đăng ký gói VIP ( giá chỉ từ 250K ) để làm bài, xem đáp án và lời giải chi tiết không giới hạn.
Câu 9
Dầu cá.
Dầu thực vật.
Mỡ động vật.
Dầu diesel.
Lời giải
Bạn cần đăng ký gói VIP ( giá chỉ từ 250K ) để làm bài, xem đáp án và lời giải chi tiết không giới hạn.
Câu 10
Acquy.
Pin Galvani.
Pin nhiên liệu.
Pin mặt trời.
Lời giải
Bạn cần đăng ký gói VIP ( giá chỉ từ 250K ) để làm bài, xem đáp án và lời giải chi tiết không giới hạn.
Câu 11
Cho các cặp oxi hoá - khử của các kim loại và thế điện cực chuẩn tương ứng:
| Cặp oxi hoá-khử | Fe2+/Fe | Sn2+/Sn | Zn2+/Zn | Ni2+/Ni |
| Thế điện cực chuẩn (V) | -0,440 | -0,138 | -0,763 | -0,257 |
Trong số các kim loại trên, kim loại có tính khử yếu nhất là
Fe.
Zn.
Sn.
Ni.
Lời giải
Bạn cần đăng ký gói VIP ( giá chỉ từ 250K ) để làm bài, xem đáp án và lời giải chi tiết không giới hạn.
Câu 12
C6H12O6.
C3H6O3.
(C6H10O5)n.
C12H22O11.
Lời giải
Bạn cần đăng ký gói VIP ( giá chỉ từ 250K ) để làm bài, xem đáp án và lời giải chi tiết không giới hạn.
Câu 13
propyl acetate.
ethyl acetate.
methyl propionate.
methyl butyrate.
Lời giải
Bạn cần đăng ký gói VIP ( giá chỉ từ 250K ) để làm bài, xem đáp án và lời giải chi tiết không giới hạn.
Lời giải
Bạn cần đăng ký gói VIP ( giá chỉ từ 250K ) để làm bài, xem đáp án và lời giải chi tiết không giới hạn.
Câu 15
CH3NHCH2CH3.
H2NCH2COOH.
H2NCH2COOCH3.
HOCH2COOH.
Lời giải
Bạn cần đăng ký gói VIP ( giá chỉ từ 250K ) để làm bài, xem đáp án và lời giải chi tiết không giới hạn.
Câu 16
4.
2.
1.
3.
Lời giải
Bạn cần đăng ký gói VIP ( giá chỉ từ 250K ) để làm bài, xem đáp án và lời giải chi tiết không giới hạn.
Câu 17
polyethylene.
poly(methyl metacrylate).
poly(vinyl chloride).
polystyrene.
Lời giải
Bạn cần đăng ký gói VIP ( giá chỉ từ 250K ) để làm bài, xem đáp án và lời giải chi tiết không giới hạn.
Câu 18
amine.
saccharose.
sodium chloride.
glucose.
Lời giải
Bạn cần đăng ký gói VIP ( giá chỉ từ 250K ) để làm bài, xem đáp án và lời giải chi tiết không giới hạn.
Câu 19
a. Phản ứng hoá học xảy ra trong pin là: Zn(s) + 2H+ (aq) → Zn2+(aq) + H2 (g).
b. Quá trình khử xảy ra ở anode là: 2H+ + 2e → H2.
c. Chất điện li trong cầu muối là KCl.
d. Thế điện cực chuẩn của cặp oxi hoá - khử Zn2+ / Zn là 0,762 V.
Lời giải
Bạn cần đăng ký gói VIP ( giá chỉ từ 250K ) để làm bài, xem đáp án và lời giải chi tiết không giới hạn.
Câu 20
a. Có thể tách được glutamic acid và lysine ra khỏi hỗn hợp trong dung dịch ở pH = 6 bằng phương pháp điện di.
b. Khi pH = 1 thì glutamic acid và lysine đều di chuyển về cực âm (cathode).
c. Khi pH = 13 thì glutamic acid tồn tại chủ yếu dạng anion HOOC-CH2-CH2-CH(NH2)-COO- và di chuyển về phía cực dương.
d. Khi pH = 6 thì glutamic acid di chuyển về phía cực âm còn lysine di chuyển về phía cực dương.
Lời giải
Bạn cần đăng ký gói VIP ( giá chỉ từ 250K ) để làm bài, xem đáp án và lời giải chi tiết không giới hạn.
Câu 21
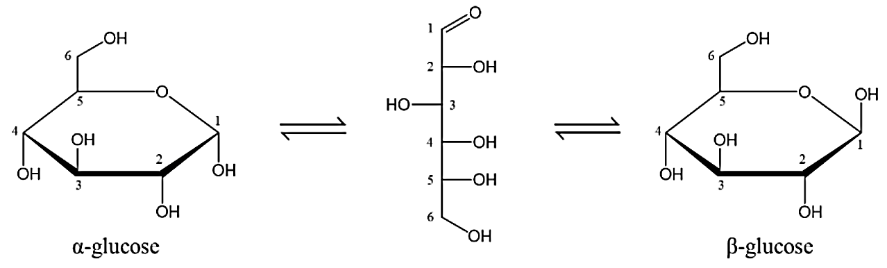
a. Glucose có phản ứng hòa tan Cu(OH)2 ở điều kiện thường tạo dung dịch phức có màu xanh lam.
b. Nhóm –OH ở vị trí carbon số 6 trong glucose dạng mạch vòng gọi là –OH hemiacetal.
c. Do tồn tại ở dạng mạch vòng nên glucose có phản ứng làm mất màu dung dịch nước bromine.
d. Ở dạng mạch hở, phân tử glucose có 5 nhóm hydroxy và một nhóm chức ketone.
Lời giải
Bạn cần đăng ký gói VIP ( giá chỉ từ 250K ) để làm bài, xem đáp án và lời giải chi tiết không giới hạn.
Câu 22
a. Kết quả thí nghiệm ủng hộ dự đoán của nhóm học sinh.
b. Theo kết quả thí nghiệm trên, thể tích ethyl acetate thu được ở 70°C là nhiều nhất.
c. Việc lắp ống sinh hàn ở bước 2 nhằm mục đích hạn chế sự thất thoát chất lỏng trong bình cầu.
d. Số liệu cho thấy phản ứng có nhiệt độ tối ưu ở 75°C, sau đó hiệu suất tổng hợp ethyl acetate giảm.
Lời giải
Bạn cần đăng ký gói VIP ( giá chỉ từ 250K ) để làm bài, xem đáp án và lời giải chi tiết không giới hạn.
Lời giải
Bạn cần đăng ký gói VIP ( giá chỉ từ 250K ) để làm bài, xem đáp án và lời giải chi tiết không giới hạn.
Lời giải
Bạn cần đăng ký gói VIP ( giá chỉ từ 250K ) để làm bài, xem đáp án và lời giải chi tiết không giới hạn.
Lời giải
Bạn cần đăng ký gói VIP ( giá chỉ từ 250K ) để làm bài, xem đáp án và lời giải chi tiết không giới hạn.
Lời giải
Bạn cần đăng ký gói VIP ( giá chỉ từ 250K ) để làm bài, xem đáp án và lời giải chi tiết không giới hạn.
Lời giải
Bạn cần đăng ký gói VIP ( giá chỉ từ 250K ) để làm bài, xem đáp án và lời giải chi tiết không giới hạn.
Lời giải
Bạn cần đăng ký gói VIP ( giá chỉ từ 250K ) để làm bài, xem đáp án và lời giải chi tiết không giới hạn.







