Đề thi thử Tốt nghiệp THPT Hóa học 2025 - 2026 trường THPT Nguyễn Khuyến (Bình Dương) có đáp án
140 người thi tuần này 4.6 140 lượt thi 28 câu hỏi
Bạn cần đăng ký gói VIP ( giá chỉ từ 199K ) để làm bài, xem đáp án và lời giải chi tiết không giới hạn.
🔥 Học sinh cũng đã học
Đề thi thử Tốt nghiệp THPT Hóa học 2025 - 2026 Liên Trường Nghệ An lần 1 có đáp án
Đề thi thử Tốt nghiệp THPT Hóa học 2025 - 2026 trường THPT Lê Quý Đôn (Nam Định) lần 1 có đáp án
Đề thi thử Tốt nghiệp THPT Hóa học 2025 - 2026 trường THPT Chuyên Phan Bội Châu (Nghệ An) lần 1 có đáp án
Đề thi thử Tốt nghiệp THPT Hóa học 2025 - 2026 Cụm 13 trường Hải Phòng lần 1 có đáp án
Đề thi thử Tốt nghiệp THPT Hóa học 2025 - 2026 Sở Phú Thọ lần 1 có đáp án
Đề thi thử Tốt nghiệp THPT Hóa học 2025 - 2026 cụm trường Hải Phòng lần 1 có đáp án
Đề thi thử Tốt nghiệp THPT Hóa học 2025 - 2026 trường THPT Bạch Đằng (Hải Phòng) lần 1 có đáp án
Đề thi thử Tốt nghiệp THPT Hóa học 2025 - 2026 trường THPT Chuyên Trần Phú (Hải Phòng) lần 1 mã đề 0111 có đáp án
Danh sách câu hỏi:
Câu 1
đơn chức.
đa chức.
tạp chức.
lưỡng tính.
Lời giải
Đáp án đúng là C
Câu 2
methyl acetate.
ethyl acetate.
ethyl formate.
metyl formate.
Lời giải
Đáp án đúng là B
Câu 3
α-1,6-glycoside.
α-1,2- glycoside.
α-1,4- glycoside.
β-1,2- glycoside.
Lời giải
Đáp án đúng là B
Câu 4
CH3COH.
C2H5OOH.
C2H5OH.
CH3OH.
Lời giải
Đáp án đúng là C
Câu 5
NH3 và CO2.
H2O và CO2.
NH3 và H2O.
NH3, CO2 và H2O.
Lời giải
Đáp án đúng là B
Lời giải
Bạn cần đăng ký gói VIP ( giá chỉ từ 199K ) để làm bài, xem đáp án và lời giải chi tiết không giới hạn.
Lời giải
Bạn cần đăng ký gói VIP ( giá chỉ từ 199K ) để làm bài, xem đáp án và lời giải chi tiết không giới hạn.
Câu 8
C2H5COOH.
C4H9OH.
CH3COOCH3.
HCOOCH3.
Lời giải
Bạn cần đăng ký gói VIP ( giá chỉ từ 199K ) để làm bài, xem đáp án và lời giải chi tiết không giới hạn.
Câu 9
vinyl acetate.
propane.
ethylene.
ethyne.
Lời giải
Bạn cần đăng ký gói VIP ( giá chỉ từ 199K ) để làm bài, xem đáp án và lời giải chi tiết không giới hạn.
Câu 10
Glucose.
Fructose.
Saccharose.
Maltose.
Lời giải
Bạn cần đăng ký gói VIP ( giá chỉ từ 199K ) để làm bài, xem đáp án và lời giải chi tiết không giới hạn.
Câu 11
cellulose.
amylose.
amylopectin.
glycogen.
Lời giải
Bạn cần đăng ký gói VIP ( giá chỉ từ 199K ) để làm bài, xem đáp án và lời giải chi tiết không giới hạn.
Lời giải
Bạn cần đăng ký gói VIP ( giá chỉ từ 199K ) để làm bài, xem đáp án và lời giải chi tiết không giới hạn.
Câu 13
Để sản xuất bơ nhân tạo (bơ thực vật) người ta dùng phản ứng hydrogen hoá.
Các ester không có khả năng tạo liên kết hydrogen với nước.
Khi cho dầu ăn vào nước sẽ có hiện tượng phân lớp.
Xà phòng có thể được sản xuất từ dầu mỏ.
Lời giải
Bạn cần đăng ký gói VIP ( giá chỉ từ 199K ) để làm bài, xem đáp án và lời giải chi tiết không giới hạn.
Câu 14
nhóm carboxylate.
nhóm sulfate.
gốc hydrocarbon mạch dài.
nhóm sulfonate.
Lời giải
Bạn cần đăng ký gói VIP ( giá chỉ từ 199K ) để làm bài, xem đáp án và lời giải chi tiết không giới hạn.
Câu 15
So với các đồng phân carboxylic acid, ester có nhiệt độ sôi thấp hơn.
Phản ứng ester hóa là phản ứng thuận nghịch.
Trong dầu oliu không chứa gốc acid béo no.
Nước giặt rửa từ quả bồ kết thuộc loại chất giặt rửa tự nhiên.
Lời giải
Bạn cần đăng ký gói VIP ( giá chỉ từ 199K ) để làm bài, xem đáp án và lời giải chi tiết không giới hạn.
Câu 16
trùng ngưng.
thủy phân.
lên men.
ester hóa.
Lời giải
Bạn cần đăng ký gói VIP ( giá chỉ từ 199K ) để làm bài, xem đáp án và lời giải chi tiết không giới hạn.
Lời giải
Bạn cần đăng ký gói VIP ( giá chỉ từ 199K ) để làm bài, xem đáp án và lời giải chi tiết không giới hạn.
Lời giải
Bạn cần đăng ký gói VIP ( giá chỉ từ 199K ) để làm bài, xem đáp án và lời giải chi tiết không giới hạn.
Câu 19
a. Chất giặt rửa tự nhiên dễ bị vi sinh vật phân hủy nên không gây ô nhiễm môi trường.
b. Để tẩy vết dầu, mỡ bám trên quần áo nên dùng dung dịch sodium hydroxide là phù hợp nhất.
c. Phần ưa nước (tan được trong nước) của xà phòng là nhóm aldehyde.
d. Xà phòng và chất giặt rửa tổng hợp đều được sản xuất từ dầu mỡ động thực vật.
Lời giải
Bạn cần đăng ký gói VIP ( giá chỉ từ 199K ) để làm bài, xem đáp án và lời giải chi tiết không giới hạn.
Câu 20
a. Công thức phân tử của muối X là C17H35O2Na
b. X có tính oxi hoá mạnh nên trộn X với chất phụ gia để sản xuất xà phòng.
c. Thuỷ phân tristearin trong dung dịch potassium hydroxide sẽ thu được X.
d. Lắc đều ống nghiệm chứa 3 mL dung dịch X và 3 giọt dung dịch calcium bão hoà sẽ có kết tủa.
Lời giải
Bạn cần đăng ký gói VIP ( giá chỉ từ 199K ) để làm bài, xem đáp án và lời giải chi tiết không giới hạn.
Câu 21
a. Tên của X là methyl acetate.
b. Phản ứng trên cần có xúc tác là dung dịch sulfuric acid loãng.
c. Để tăng hiệu suất, có thể dùng giấm ăn thay thế CH3COOH(l).
d. Khi tách X ra khỏi hỗn hợp sẽ làm tăng hiệu suất phản ứng trên.
Lời giải
Bạn cần đăng ký gói VIP ( giá chỉ từ 199K ) để làm bài, xem đáp án và lời giải chi tiết không giới hạn.
Câu 22
a. Ống nghiệm chứa dung dịch KMnO4 bị nhạt màu (hoặc mất màu).
b. Khí sinh ra trong thí nghiệm có công thức là C2H4.
c. Khí acetylene có tác dụng làm trái cây mau chín.
d. Dẫn khí acetylene vào nước (có xúc tác HgSO4) thu được ethyl alcohol.
Lời giải
Bạn cần đăng ký gói VIP ( giá chỉ từ 199K ) để làm bài, xem đáp án và lời giải chi tiết không giới hạn.
Lời giải
Bạn cần đăng ký gói VIP ( giá chỉ từ 199K ) để làm bài, xem đáp án và lời giải chi tiết không giới hạn.
Lời giải
Bạn cần đăng ký gói VIP ( giá chỉ từ 199K ) để làm bài, xem đáp án và lời giải chi tiết không giới hạn.
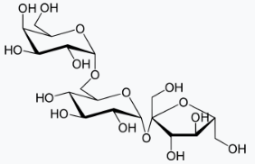
Câu 25
Raffinose là một carbohydrate (hình dưới) có thể được tìm thấy trong đậu, bắp cải, bông cải xanh, măng tây, các loại rau khác và ngũ cốc nguyên hạt. Ở thực vật, raffinose đóng vai trò quan trọng trong các phản ứng với stress, đặc biệt là độ nhạy cảm với nhiệt độ, sức sống của hạt, khả năng kháng bệnh và khô hạn.

Phần trăm khối lượng nguyên tố carbon trong Raffinose là a%. Giá trị của a là bao nhiêu? (Làm tròn kết quả đến hàng phần mười).
Lời giải
Bạn cần đăng ký gói VIP ( giá chỉ từ 199K ) để làm bài, xem đáp án và lời giải chi tiết không giới hạn.
Lời giải
Bạn cần đăng ký gói VIP ( giá chỉ từ 199K ) để làm bài, xem đáp án và lời giải chi tiết không giới hạn.
Lời giải
Bạn cần đăng ký gói VIP ( giá chỉ từ 199K ) để làm bài, xem đáp án và lời giải chi tiết không giới hạn.
Lời giải
Bạn cần đăng ký gói VIP ( giá chỉ từ 199K ) để làm bài, xem đáp án và lời giải chi tiết không giới hạn.





