Đề thi thử Tốt nghiệp THPT Hóa học 2025 - 2026 Sở GD&ĐT Bắc Ninh có đáp án
149 người thi tuần này 4.6 149 lượt thi 28 câu hỏi 50 phút
Bạn cần đăng ký gói VIP ( giá chỉ từ 250K ) để làm bài, xem đáp án và lời giải chi tiết không giới hạn.
🔥 Học sinh cũng đã học
Đề thi thử Tốt nghiệp THPT Hóa học 2025 - 2026 Sở GD&ĐT Cao Bằng lần 1 có đáp án
Đề thi thử Tốt nghiệp THPT Hóa học 2025 - 2026 Sở GD&ĐT Huế lần 1 có đáp án
Đề thi thử Tốt nghiệp THPT Hóa học 2025 - 2026 trường THPT Chuyên Trần Phú (Hải Phòng) lần 2 có đáp án
Đề thi thử Tốt nghiệp THPT Hóa học 2025 - 2026 Sở GD&ĐT Nghệ An lần 1 có đáp án
Đề thi thử Tốt nghiệp THPT Hóa học 2025 - 2026 Sở GD&ĐT Thanh Hóa lần 1 có đáp án
Đề thi thử Tốt nghiệp THPT Hóa học 2025 - 2026 Sở GD&ĐT Lào Cai lần 1 có đáp án
Đề thi thử Tốt nghiệp THPT Hóa học 2025 - 2026 trường THPT Chuyên Bình Long (Đồng Nai) lần 1 có đáp án
Đề thi thử Tốt nghiệp THPT Hóa học 2025 - 2026 trường THPT Chuyên KHTN Hà Nội lần 2 có đáp án
Danh sách câu hỏi:
Câu 1/28
Lời giải
Đáp án đúng là A
Δr\({H}_{298}^{0}\) = ∑ Δf\({H}_{298}^{0}\) (sp) – ∑ Δf\({H}_{298}^{0}\) (cđ) < 0 nên đây là phản ứng tỏa nhiệt.
Câu 2/28
H2 + Cl2 → 2HCl.
O3 + 2Ag → Ag2O + O2.
SO2 + 2NaOH → Na2SO3 + H2O.
Ca(OH)2 + Cl2 → CaOCl2 + H2O.
Lời giải
Đáp án đúng là C
A. H (0 lên +1), Cl (0 xuống -1)
B. Ag (0 lên +1), O (0 xuống -2)
C. Không thuộc loại phản ứng oxi hóa – khử, vì không có nguyên tố nào thay đổi số oxi hóa.
D. Cl (0 lên +1), Cl (0 xuống -1)
Câu 3/28
nguyên tử kim loại và electron độc thân.
ion dương kim loại và các electron hóa trị tự do.
anion kim loại và electron hóa trị tự do.
anion kim loại và electron độc thân.
Lời giải
Đáp án đúng là B
Trong tinh thể kim loại gồm: ion dương kim loại và các electron hóa trị tự do.
Câu 4/28
ethylene.
methylpropylene.
acetylene.
propylene.
Lời giải
Đáp án đúng là D
Polymer có công thức trên là PP (Polypropylene)
→ X là CH2=CH-CH3 (propylene).
Câu 5/28
4.
2.
1.
3.
Lời giải
Đáp án đúng là D
Amino acid có ít nhất 1 nhóm amino ở vị trí C số 2 (số 1 là C trong COOH) thuộc loại α-amino acid.
→ Có 3 chất thuộc loại α-amino acid là (1)(2)(3).
Câu 6/28
2.
1.
3.
4.
Lời giải
Đáp án đúng là C
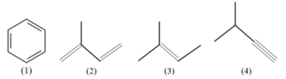
Có 3 chất thuộc loại hydrocarbon không no là (2)(3)(4). Chất (1) thuộc loại hydrocarbon thơm.
Câu 7/28
Phenol.
Alcohol.
Ketone.
Aldehyde.
Lời giải
Đáp án đúng là B
Nội dung phù hợp trong chỗ trống (1) là Alcohol.
Câu 8/28
Số liên kết σ (xích ma) trong một phân tử ethene là 4.
Giai đoạn (1) có sự phân cắt liên kết π.
Giai đoạn (2) có sự hình thành liên kết σ (xích ma).
Ethene làm mất màu nước bromine.
Lời giải
Đáp án đúng là A
A. Sai, C2H4 có tổng 5 liên kết σ (4C-H và 1C-C)
B. Đúng
C. Đúng, giai đoạn (2) có sự hình thành liên kết σ C-Br mới.
D. Đúng, Br2 có màu nâu đỏ, khi tham gia phản ứng thì màu bị nhạt dần.
Câu 9/28
Đạm urea.
Phân kali.
Phân lân nung chảy.
Phân xanh.
Lời giải
Bạn cần đăng ký gói VIP ( giá chỉ từ 250K ) để làm bài, xem đáp án và lời giải chi tiết không giới hạn.
Câu 10/28
Trong phân tử chất X chứa liên kết β-1,4-glycoside.
X được tạo nên từ các gốc β-glucose.
Thủy phân hoàn toàn X trong môi trường acid, đun nóng thu được glucose.
X có khả năng hòa tan Cu(OH)2 trong môi trường kiềm.
Lời giải
Bạn cần đăng ký gói VIP ( giá chỉ từ 250K ) để làm bài, xem đáp án và lời giải chi tiết không giới hạn.
Câu 11/28
Cellulose.
Fructose.
Glucose.
Tinh bột.
Lời giải
Bạn cần đăng ký gói VIP ( giá chỉ từ 250K ) để làm bài, xem đáp án và lời giải chi tiết không giới hạn.
Câu 12/28
Pin Galvani.
Pin mặt trời.
Acquy.
Pin nhiên liệu.
Lời giải
Bạn cần đăng ký gói VIP ( giá chỉ từ 250K ) để làm bài, xem đáp án và lời giải chi tiết không giới hạn.
Câu 13/28
C2H5COOK.
C17H35COONa.
C17H35COOK.
C2H5COONa.
Lời giải
Bạn cần đăng ký gói VIP ( giá chỉ từ 250K ) để làm bài, xem đáp án và lời giải chi tiết không giới hạn.
Câu 14/28
Nhiệt độ.
Áp suất.
Nồng độ.
Chất xúc tác.
Lời giải
Bạn cần đăng ký gói VIP ( giá chỉ từ 250K ) để làm bài, xem đáp án và lời giải chi tiết không giới hạn.
Lời giải
Bạn cần đăng ký gói VIP ( giá chỉ từ 250K ) để làm bài, xem đáp án và lời giải chi tiết không giới hạn.
Câu 16/28
Cho mẩu Na (bằng hạt đậu tương) vào cốc nước ở nhiệt độ thường.
Đốt mẩu Na nóng chảy rồi cho nhanh vào bình chứa khí chlorine.
Nhúng thanh Ag vào dung dịch Cu(NO3)2.
Nhúng thanh Fe vào dung dịch H2SO4 loãng.
Lời giải
Bạn cần đăng ký gói VIP ( giá chỉ từ 250K ) để làm bài, xem đáp án và lời giải chi tiết không giới hạn.
Câu 17/28
Al3+ + 3e → Al.
Na+ + 1e → Na.
O2 + 4e → O2-.
F2 + 2e → 2F−.
Lời giải
Bạn cần đăng ký gói VIP ( giá chỉ từ 250K ) để làm bài, xem đáp án và lời giải chi tiết không giới hạn.
Câu 18/28
CH2OH[CHOH]4COOH.
CH2OH[CHOH]4CHO.
CH2OH[CHOH]4CH2OH.
CH2OH[CHOH]5CHO.
Lời giải
Bạn cần đăng ký gói VIP ( giá chỉ từ 250K ) để làm bài, xem đáp án và lời giải chi tiết không giới hạn.
Câu 19/28
Saccharose monolaurate có công thức phân tử C12H22O11.
Trong một phân tử saccharose monolaurate có 7 nhóm hydroxy.
Từ 500 gam saccharose và 100 gam lauric acid, với hiệu suất của quá trình sản xuất là 47% có thể điều chế được 123,14 gam saccharose monolaurate. (Kết quả làm tròn đến hàng phần trăm)
Trong phân tử saccharose monolaurate có nhóm chức ester.
Lời giải
Bạn cần đăng ký gói VIP ( giá chỉ từ 250K ) để làm bài, xem đáp án và lời giải chi tiết không giới hạn.
Câu 20/28
a. Trong quá trình tiêu hoá, whey protein bị thuỷ phân tạo thành các α-amino acid cần thiết mà cơ thể không tự tổng hợp được.
b. Một vận động viên có cân nặng 90 kg cần bổ sung 2,5 gam protein/1 kg trọng lượng cơ thể/1 ngày. Trong một ngày để bổ sung lượng protein theo yêu cầu trên, vận động viên đó có thể sử dụng: 200 gam ức gà, 50 gam thịt cá ngừ, 15 quả trứng gà, 2 muỗng whey protein ISOGOLD.
c. Khi pha bột whey protein với nước sôi (100°C) tốt hơn khi pha với nước nguội (25ºC).
d. Bột whey protein là nguồn thực phẩm bổ sung protein có thể thay thế hoàn toàn cho thực phẩm từ thịt, cá, trứng,.
Lời giải
Bạn cần đăng ký gói VIP ( giá chỉ từ 250K ) để làm bài, xem đáp án và lời giải chi tiết không giới hạn.
Xem tiếp với tài khoản VIP
Còn 20/28 câu hỏi, đáp án và lời giải chi tiết.
Bạn cần đăng ký gói VIP ( giá chỉ từ 250K ) để làm bài, xem đáp án và lời giải chi tiết không giới hạn.







