Đề thi thử Tốt nghiệp THPT Hóa học 2025 - 2026 trường THPT Chuyên Bình Long (Đồng Nai) lần 1 có đáp án
413 người thi tuần này 4.6 413 lượt thi 28 câu hỏi 50 phút
Bạn cần đăng ký gói VIP ( giá chỉ từ 250K ) để làm bài, xem đáp án và lời giải chi tiết không giới hạn.
🔥 Học sinh cũng đã học
Đề thi thử Tốt nghiệp THPT Hóa học 2025 - 2026 Sở GD&ĐT Cao Bằng lần 1 có đáp án
Đề thi thử Tốt nghiệp THPT Hóa học 2025 - 2026 Sở GD&ĐT Huế lần 1 có đáp án
Đề thi thử Tốt nghiệp THPT Hóa học 2025 - 2026 trường THPT Chuyên Trần Phú (Hải Phòng) lần 2 có đáp án
Đề thi thử Tốt nghiệp THPT Hóa học 2025 - 2026 Sở GD&ĐT Nghệ An lần 1 có đáp án
Đề thi thử Tốt nghiệp THPT Hóa học 2025 - 2026 Sở GD&ĐT Thanh Hóa lần 1 có đáp án
Đề thi thử Tốt nghiệp THPT Hóa học 2025 - 2026 Sở GD&ĐT Lào Cai lần 1 có đáp án
Đề thi thử Tốt nghiệp THPT Hóa học 2025 - 2026 trường THPT Chuyên Bình Long (Đồng Nai) lần 1 có đáp án
Đề thi thử Tốt nghiệp THPT Hóa học 2025 - 2026 trường THPT Chuyên KHTN Hà Nội lần 2 có đáp án
Danh sách câu hỏi:
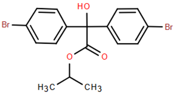
Câu 1/28
di(4-bromophenyl)methanol.
propan-2-ol.
propan-1-ol.
methanol.
Lời giải
Đáp án đúng là B
Alcohol tạo ra ester acarol là (CH3)2CHOH (propan-2-ol).
Câu 2/28
Fructose.
Glucose.
Saccharose.
Tinh bột.
Lời giải
Đáp án đúng là D
Trong quả chuối xanh, tinh bột chiếm hàm lượng lớn nhất (khoảng 70% – 80% trọng lượng khô của quả chuối).
Câu 3/28
Phản ứng trùng ngưng.
Phản ứng giữ nguyên mạch polymer.
Phản ứng tăng mạch polymer.
Phản ứng cắt mạch polymer.
Lời giải
Đáp án đúng là B
Khi đun nóng poly(vinyl acetate) với dung dịch NaOH, xảy ra phản ứng giữ nguyên mạch polymer: Phản ứng chỉ xảy ra ở các nhóm chức gắn vào mạch chính, không làm đứt gãy hoặc nối dài các liên kết -C-C- trong khung mạch chính. Ở đây, chỉ có nhóm -OCOCH3 bị biến đổi thành -OH.
Lời giải
Đáp án đúng là A
(a) Đúng: Nhựa PVC (polyvinyl chloride) khi cháy, thành phần Chlorine trong mạch polymer kết hợp với Hydrogen tạo ra khí HCl cực độc và ăn mòn mạnh. Khí CO luôn sinh ra trong mọi đám cháy do sự cháy không hoàn toàn của các hợp chất hữu cơ.
(b) Sai: Nhựa Polyethylene (PE) có cấu tạo từ các nguyên tố C và H. Sản phẩm cháy chủ yếu của PE là CO2, H2O (cháy hoàn toàn) hoặc có thêm CO và muội than (cháy không hoàn toàn). Khí SO2 thường sinh ra từ các loại polymer có chứa lưu huỳnh (như cao su lưu hóa).
(c) Sai: Mặc dù khói từ đám cháy cao su rất độc và chứa nhiều muội than, nhưng đám cháy nhựa PVC được coi là nguy hiểm hơn về mặt hóa học do sinh ra nồng độ khí HCl rất cao (gây bỏng đường hô hấp ngay lập tức) và có thể tạo ra cả Dioxin (chất cực độc).
(d) Đúng: Khói và các khí độc sinh ra từ đám cháy thường có nhiệt độ cao nên nhẹ hơn không khí và bay lên trên. Do đó, lớp không khí sát mặt đất thường sạch hơn và chứa nhiều oxy hơn. Việc cúi thấp người hoặc bò giúp bạn tránh hít phải khói đặc và giảm nguy cơ bỏng nhiệt đường hô hấp.
Câu 5/28
CH3COOCH2CH2CH3.
CH3CH2COOCH2CH3.
CH3COOCH2CH3.
CH3CH2COOCH2CH2CH3.
Lời giải
Đáp án đúng là A
Propyl ethanoate có cấu tạo CH3COOCH2CH2CH3.
Câu 6/28
NaCl.
H2SO4.
Na2CO3.
HCl.
Lời giải
Đáp án đúng là C
Để làm tăng pH của nước hồ bơi, hóa chất thường được sử dụng là Na2CO3. Chất này bị thủy phân tạo ra OH- trung hòa acid và tạo môi trường kiềm cho nước hồ bơi:
CO32- + H2O ⇋ HCO3- + OH-
Câu 7/28
HCOOH.
CH3OH.
CH3COOH.
HCHO.
Lời giải
Đáp án đúng là A
Quá trình oxi hóa: CH3OH + O2 → HCOOH + H2O
Formic acid có công thức cấu tạo là HCOOH.
Câu 8/28
X không có phản ứng tráng bạc.
X có tính chất của alcohol đa chức.
Y không tan trong nước.
Y có phân tử khối bằng 342 amu.
Lời giải
Đáp án đúng là B
Thuỷ phân saccharose, thu được hai monosaccharide là glucose và fructose.
X có nhiều trong quả nho chín → X là glucose → Y là fructose.
A. Sai, X có phản ứng tráng bạc.
B. Đúng, X có nhiều nhóm -OH nên có tính chất của alcohol đa chức
C. Sai, Y tan tốt trong nước.
D. Sai, Y có phân tử khối bằng 180 amu.
Câu 9/28
Nồng độ ion SO42− (aq) trong dung dịch ZnSO4 tăng và trong dung dịch CuSO4 giảm dần.
Khối lượng điện cực zinc (Zn) giảm đúng bằng khối lượng điện cực copper (Cu) tăng.
Phản ứng chung xảy ra trong pin điện là: Zn(s) + Cu2+(aq) → Zn2+(aq) + Cu(s).
Sức điện động chuẩn của pin là 1,103 V.
Lời giải
Bạn cần đăng ký gói VIP ( giá chỉ từ 250K ) để làm bài, xem đáp án và lời giải chi tiết không giới hạn.
Câu 10/28
C6H5NH2.
H2NCH2COOH.
H2NCH(CH3)COOH.
C2H5NH2.
Lời giải
Bạn cần đăng ký gói VIP ( giá chỉ từ 250K ) để làm bài, xem đáp án và lời giải chi tiết không giới hạn.
Câu 11/28
A. alanine, lòng trắng trứng, aniline.
B. aniline, glutamic acid, lòng trắng trứng.
C. glutamic acid, lòng trắng trứng, aniline.
D. glutamic acid, lòng trắng trứng, alanine.
Lời giải
Bạn cần đăng ký gói VIP ( giá chỉ từ 250K ) để làm bài, xem đáp án và lời giải chi tiết không giới hạn.
Câu 12/28
CH3[CH2]12COONa.
CH3COONa.
CH3[CH2]12COOCH3.
CH3[CH2]5O[CH2]5CH3.
Lời giải
Bạn cần đăng ký gói VIP ( giá chỉ từ 250K ) để làm bài, xem đáp án và lời giải chi tiết không giới hạn.
Câu 13/28
Ở bước 3, trên bề mặt hai điện cực đều có khí thoát ra.
Ở bước 4, cánh hoa màu hồng dần bị nhạt màu.
Trong quá trình điện phân cần đậy nắp để hạn chế sự thoát khí Cl2.
Ở anode xảy ra sự khử ion Cl-.
Lời giải
Bạn cần đăng ký gói VIP ( giá chỉ từ 250K ) để làm bài, xem đáp án và lời giải chi tiết không giới hạn.
Câu 14/28
Acetylene.
Ethane.
Ethylene.
Styrene.
Lời giải
Bạn cần đăng ký gói VIP ( giá chỉ từ 250K ) để làm bài, xem đáp án và lời giải chi tiết không giới hạn.
Câu 15/28
Thủy phân X trong môi trường acid sẽ thu được acid béo omega-6.
Ở điều kiện thường, X ở trạng thái lỏng.
Khi hydrogen hóa hoàn toàn X thu được chất béo có tên gọi là tristearin.
Công thức phân tử của X là C55H100O6.
Lời giải
Bạn cần đăng ký gói VIP ( giá chỉ từ 250K ) để làm bài, xem đáp án và lời giải chi tiết không giới hạn.
Câu 16/28
Kim loại Y tác dụng được với dung dịch HCl loãng.
Trong pin điện hóa X-Y thì kim loại X đóng vai trò cathode.
Ion X+ có tính oxi hóa yếu hơn ion Y+.
Kim loại Y có tính khử mạnh hơn kim loại X.
Lời giải
Bạn cần đăng ký gói VIP ( giá chỉ từ 250K ) để làm bài, xem đáp án và lời giải chi tiết không giới hạn.
Lời giải
Bạn cần đăng ký gói VIP ( giá chỉ từ 250K ) để làm bài, xem đáp án và lời giải chi tiết không giới hạn.
Lời giải
Bạn cần đăng ký gói VIP ( giá chỉ từ 250K ) để làm bài, xem đáp án và lời giải chi tiết không giới hạn.
Câu 19/28
a. Phổ hồng ngoại của methyl salicylate không có số sóng hấp thụ đặc trưng của liên kết O-H (phenol).
b. Dựa vào phổ hồng ngoại có thể phân biệt được salicylic acid và methyl salicylate.
c. Methyl salicylate tác dụng tối đa với nước bromine theo tỉ lệ mol 1 : 3.
d. Khi cho methyl salicylate tác dụng hoàn toàn với dung dịch NaOH (dư 10% so với lượng phản ứng thu được dung dịch X. Khối lượng chất tan có trong dung dịch X gấp 1,25 lần khối lượng methyl salicylate ban đầu.
Lời giải
Bạn cần đăng ký gói VIP ( giá chỉ từ 250K ) để làm bài, xem đáp án và lời giải chi tiết không giới hạn.
Câu 20/28
Polymer X tạo nên sợi aramid thuộc loại polyamide.
Thành phần % theo khối lượng của carbon trong X là 61,993%.
Thủy phân hoàn toàn X trong dung dịch kiềm thu được amine hai chức và carboxylic acid hai chức.
Số nguyên tử oxygen có trong mỗi mắt xích của X là 2.
Lời giải
Bạn cần đăng ký gói VIP ( giá chỉ từ 250K ) để làm bài, xem đáp án và lời giải chi tiết không giới hạn.
Xem tiếp với tài khoản VIP
Còn 20/28 câu hỏi, đáp án và lời giải chi tiết.
Bạn cần đăng ký gói VIP ( giá chỉ từ 250K ) để làm bài, xem đáp án và lời giải chi tiết không giới hạn.





