Đề thi thử Tốt nghiệp THPT Hóa học 2025 - 2026 trường THPT Chuyên Chu Văn An (Lạng Sơn) lần 1 có đáp án
191 người thi tuần này 4.6 191 lượt thi 28 câu hỏi
Bạn cần đăng ký gói VIP ( giá chỉ từ 250K ) để làm bài, xem đáp án và lời giải chi tiết không giới hạn.
🔥 Học sinh cũng đã học
Đề thi thử Tốt nghiệp THPT Hóa học 2025 - 2026 Liên trường Hải Phòng lần 2 có đáp án
Đề thi thử Tốt nghiệp THPT Hóa học 2025 - 2026 trường THPT Cẩm Xuyên (Hà Tĩnh) lần 1 có đáp án
Đề thi thử Tốt nghiệp THPT Hóa học 2025 - 2026 Liên trường Nghệ An (Lần 2) có đáp án
Đề thi thử Tốt nghiệp THPT Hóa học 2025 - 2026 trường THPT Vũng Tàu (Hồ Chí Minh) có đáp án
Đề thi thử Tốt nghiệp THPT Hóa học 2025 - 2026 trường THPT An Dương (Hải Phòng) lần 2 có đáp án
Đề thi thử Tốt nghiệp THPT Hóa học 2025 - 2026 Sở Bắc Ninh (lần 1) có đáp án
Đề thi thử Tốt nghiệp THPT Hóa học 2025 - 2026 Sở GD&ĐT Hưng Yên có đáp án
Đề thi thử Tốt nghiệp THPT Hóa học 2025 - 2026 Sở GD&ĐT Hà Tĩnh (Số 18) có đáp án
Danh sách câu hỏi:
Câu 1
Dung dịch nước vôi trong.
Sulfuric acid 98%.
Calcium oxide khan.
Sodium hydroxide khan.
Lời giải
Đáp án đúng là B
Câu 3
Chiết, chưng cất và sắc kí.
Chiết và kết tinh.
Chiết và chưng cất.
Chiết, chưng cất và kết tinh.
Lời giải
Đáp án đúng là B
Câu 4
HCOOC3H7.
HCOOC3H5.
CH3COOC2H5.
C2H5COOCH3.
Lời giải
Đáp án đúng là C
Câu 5
CH2F2, C3H2F6.
CH4F2, C3H2F4.
CH4F2, C3H4F4.
CH2F2, C3H2F4.
Lời giải
Đáp án đúng là D
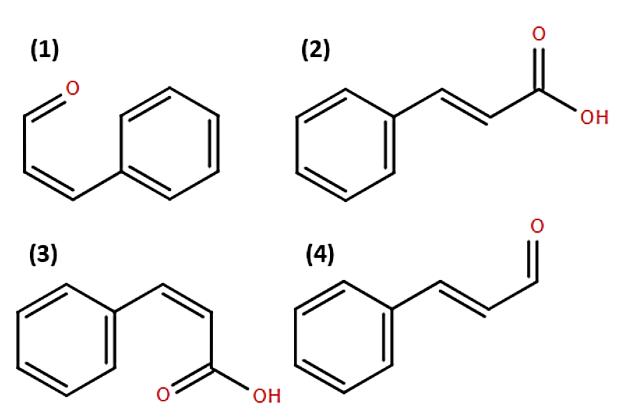
Câu 6
(1).
(2).
(3).
(4).
Lời giải
Bạn cần đăng ký gói VIP ( giá chỉ từ 250K ) để làm bài, xem đáp án và lời giải chi tiết không giới hạn.
Câu 7
H2NCH(CH3)COOH.
H2NCH2COOH.
H2NCH(CH3)COOCH3.
H2NCH2COOCH3.
Lời giải
Bạn cần đăng ký gói VIP ( giá chỉ từ 250K ) để làm bài, xem đáp án và lời giải chi tiết không giới hạn.
Câu 8
glucose.
saccharose.
tinh bột.
cellulose.
Lời giải
Bạn cần đăng ký gói VIP ( giá chỉ từ 250K ) để làm bài, xem đáp án và lời giải chi tiết không giới hạn.
Lời giải
Bạn cần đăng ký gói VIP ( giá chỉ từ 250K ) để làm bài, xem đáp án và lời giải chi tiết không giới hạn.
Lời giải
Bạn cần đăng ký gói VIP ( giá chỉ từ 250K ) để làm bài, xem đáp án và lời giải chi tiết không giới hạn.
Câu 11
Cho bảng thông tin về tính chất vật lí của một số alcohol như sau
| Alcohol | D (g/mL) | Độ tan trong nước ở (g/100g H2O) |
| CH3OH | 0,701 | |
| CH3CH2OH | 0,789 | |
| CH3CH2CH2OH | 0,804 | |
| CH3[CH2]3OH | 0,809 | 7,4 |
| HOCH2CH2OH | 1,114 | |
| HOCH2CHOHCH2OH | 1,261 |
Theo bảng trên, số alcohol nhẹ hơn nước đồng thời tan vô hạn trong nước là
3.
4.
5.
2.
Lời giải
Bạn cần đăng ký gói VIP ( giá chỉ từ 250K ) để làm bài, xem đáp án và lời giải chi tiết không giới hạn.
Lời giải
Bạn cần đăng ký gói VIP ( giá chỉ từ 250K ) để làm bài, xem đáp án và lời giải chi tiết không giới hạn.
Câu 13
Lành tính, không gây kích ứng da, không gây ô nhiễm môi trường
Gây ô nhiễm môi trường đáng kể.
Giá thành cao.
Rẻ tiền, dễ kiếm nên dễ sản xuất ở quy mô công nghiệp.
Lời giải
Bạn cần đăng ký gói VIP ( giá chỉ từ 250K ) để làm bài, xem đáp án và lời giải chi tiết không giới hạn.
Câu 14
A. saccharose, amylose, glucose, fructose.
B. amylose, glucose, saccharose, fructose.
C. glucose, fructose, saccharose, amylose.
D. amylose, fructose, saccharose, glucose.
Lời giải
Bạn cần đăng ký gói VIP ( giá chỉ từ 250K ) để làm bài, xem đáp án và lời giải chi tiết không giới hạn.
Lời giải
Bạn cần đăng ký gói VIP ( giá chỉ từ 250K ) để làm bài, xem đáp án và lời giải chi tiết không giới hạn.
Câu 16
pH tăng sau đó giữ nguyên.
pH tăng.
pH giảm.
pH giữ nguyên.
Lời giải
Bạn cần đăng ký gói VIP ( giá chỉ từ 250K ) để làm bài, xem đáp án và lời giải chi tiết không giới hạn.
Lời giải
Bạn cần đăng ký gói VIP ( giá chỉ từ 250K ) để làm bài, xem đáp án và lời giải chi tiết không giới hạn.
Câu 18
CH2 = CH2.
CH2 – CH – CH = CH2.
C6H5CH= CH2.
CH2 = CH – CH3.
Lời giải
Bạn cần đăng ký gói VIP ( giá chỉ từ 250K ) để làm bài, xem đáp án và lời giải chi tiết không giới hạn.
Câu 19
a. Ở bước 2, pH của dung dịch trong bình tam giác tăng dần trong quá trình chuẩn độ.
b. Ở bước 2, dung dịch trong bình tam giác chuyển từ không màu sang màu hồng nhạt là do phản ứng chuẩn độ sinh ra sản phẩm NaCl tạo màu hồng nhạt.
c. Khi chuẩn độ, dung dịch NaOH được nhỏ trực tiếp vào bình tam giác từ dụng cụ kí hiệu là (B) được minh họa ở hình bên.
d. Giá trị của x là 0,11. (Kết quả các phép tính trung gian không được làm tròn, chỉ kết quả cuối cùng được làm tròn đến hàng phần trăm).
Lời giải
Bạn cần đăng ký gói VIP ( giá chỉ từ 250K ) để làm bài, xem đáp án và lời giải chi tiết không giới hạn.
Câu 20
a. Thứ tự liên kết của các amino acid trong M là Ala-Tyr-Arg-Phe-Ile-Glu.
b. Amino acid đầu N của hexapeptide M là Ala.
c. Tripeptide Y chứa Glu, Ile, Phe.
d. Amino acid đầu C của hexapeptide M là Arg.
Lời giải
Bạn cần đăng ký gói VIP ( giá chỉ từ 250K ) để làm bài, xem đáp án và lời giải chi tiết không giới hạn.
Câu 21
a. Cumene còn có tên gọi khác là propylbenzene.
b. Trong phản ứng trên, cumene đóng vai trò là chất khử.
c. Ngoài sản phẩm là acetone, còn thu được chất hữu cơ là benzyl alcohol
d. Giá trị của .
Lời giải
Bạn cần đăng ký gói VIP ( giá chỉ từ 250K ) để làm bài, xem đáp án và lời giải chi tiết không giới hạn.
Câu 22
a. MgSO4 khan sử dụng trong bước 4 có tác dụng hút nước để làm khô tinh dầu bưởi.
b. Ở bước 3, thêm dung dịch NaCl bão hòa vào phễu chiết là để làm tăng khả năng hòa tan của tinh dầu bưởi trong nước.
c. Phương pháp chưng cất lôi cuốn hơi nước dùng để tách tinh dầu bưởi ra khỏi hỗn hợp do tinh dầu bưởi không tan trong nước và dễ bay hơi với hơi nước.
d. Ở bước 3, đặt phễu chiết lên giá đỡ 10 phút nhằm mục đích để phần tinh dầu bưởi còn phân bố trong nước di chuyển xuống lớp tinh dầu ở phía dưới.
Lời giải
Bạn cần đăng ký gói VIP ( giá chỉ từ 250K ) để làm bài, xem đáp án và lời giải chi tiết không giới hạn.
Lời giải
Bạn cần đăng ký gói VIP ( giá chỉ từ 250K ) để làm bài, xem đáp án và lời giải chi tiết không giới hạn.
Lời giải
Bạn cần đăng ký gói VIP ( giá chỉ từ 250K ) để làm bài, xem đáp án và lời giải chi tiết không giới hạn.
Lời giải
Bạn cần đăng ký gói VIP ( giá chỉ từ 250K ) để làm bài, xem đáp án và lời giải chi tiết không giới hạn.
Lời giải
Bạn cần đăng ký gói VIP ( giá chỉ từ 250K ) để làm bài, xem đáp án và lời giải chi tiết không giới hạn.
Lời giải
Bạn cần đăng ký gói VIP ( giá chỉ từ 250K ) để làm bài, xem đáp án và lời giải chi tiết không giới hạn.
Lời giải
Bạn cần đăng ký gói VIP ( giá chỉ từ 250K ) để làm bài, xem đáp án và lời giải chi tiết không giới hạn.





