Đề kiểm tra Phép tính lũy thừa (có lời giải) - Đề 1
37 người thi tuần này 4.6 438 lượt thi 22 câu hỏi 45 phút
Bạn cần đăng ký gói VIP ( giá chỉ từ 250K ) để làm bài, xem đáp án và lời giải chi tiết không giới hạn.
🔥 Học sinh cũng đã học
Đề cương ôn tập cuối kì 1 Toán 11 Chân trời sáng tạo cấu trúc mới có đáp án - Tự luận
Đề cương ôn tập cuối kì 1 Toán 11 Chân trời sáng tạo cấu trúc mới có đáp án - Chương 5. Các số đặc trưng đo xu thế trung tâm cho mẫu số liệu ghép nhóm
Đề cương ôn tập cuối kì 1 Toán 11 Chân trời sáng tạo cấu trúc mới có đáp án - Chương 4. Đường thẳng và mặt phẳng. Quan hệ song song trong không gian
Đề cương ôn tập cuối kì 1 Toán 11 Chân trời sáng tạo cấu trúc mới có đáp án - Chương 3. Giới hạn. Hàm số liên tục
Đề cương ôn tập cuối kì 1 Toán 11 Chân trời sáng tạo cấu trúc mới có đáp án - Chương 2. Dãy số. Cấp số cộng. Cấp số nhân
Đề cương ôn tập cuối kì 1 Toán 11 Chân trời sáng tạo cấu trúc mới có đáp án - Chương 1. Hàm số lượng giác và phương trình lượng giác
Đề cương ôn tập cuối kì 1 Toán 11 Cánh diều cấu trúc mới có đáp án - Tự luận
Đề cương ôn tập cuối kì 1 Toán 11 Cánh diều cấu trúc mới có đáp án - Chương 4. Đường thẳng và mặt phẳng trong không gian. Quan hệ song song
Danh sách câu hỏi:
Câu 1/22
Lời giải
Câu 2/22
Lời giải
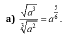
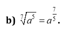
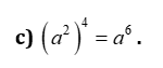
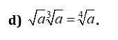
Tính chất lũy thừa.
Câu 3/22
Lời giải
Câu 4/22
Lời giải
Câu 5/22
Lời giải
Câu 6/22
A. \[{\left( {0,7} \right)^{3,2}} < {\left( {0,2} \right)^{0,3}} < {\sqrt 3 ^{0,2}}\].
B. \[{\left( {0,2} \right)^{0,3}} < {\left( {0,7} \right)^{3,2}} < {\sqrt 3 ^{0,2}}\].
Lời giải
\({\left( {0,2} \right)^{0,3}} = {\left( {0,2} \right)^{\frac{3}{{10}}}} = {\left[ {{{\left( {0,2} \right)}^3}} \right]^{\frac{1}{{10}}}} = {\left( {0,008} \right)^{\frac{1}{{10}}}}\).
\({\left( {0,7} \right)^{3,2}} = {\left( {0,7} \right)^{\frac{{32}}{{10}}}} = {\left[ {{{\left( {0,7} \right)}^{32}}} \right]^{\frac{1}{{10}}}}\).
\({\sqrt 3 ^{0,2}} = {\left( 3 \right)^{\frac{1}{2}.\frac{2}{{10}}}} = {3^{\frac{1}{{10}}}}\).
Do \({\left( {0,7} \right)^{32}} < 0,008 < 3\) nên \[{\left( {0,7} \right)^{3,2}} < {\left( {0,2} \right)^{0,3}} < {\sqrt 3 ^{0,2}}\].Câu 7/22
Lời giải
Câu 8/22
Lời giải
Câu 9/22
Lời giải
Bạn cần đăng ký gói VIP ( giá chỉ từ 250K ) để làm bài, xem đáp án và lời giải chi tiết không giới hạn.
Câu 10/22
Lời giải
Bạn cần đăng ký gói VIP ( giá chỉ từ 250K ) để làm bài, xem đáp án và lời giải chi tiết không giới hạn.
Câu 11/22
Lời giải
Bạn cần đăng ký gói VIP ( giá chỉ từ 250K ) để làm bài, xem đáp án và lời giải chi tiết không giới hạn.
Câu 12/22
Lời giải
Bạn cần đăng ký gói VIP ( giá chỉ từ 250K ) để làm bài, xem đáp án và lời giải chi tiết không giới hạn.
Câu 13/22
a) \(a + b = 13\)
b) \(m - n = 3\)
c) \(\frac{a}{b} + \frac{m}{n} = \frac{{11}}{{20}}\)
Lời giải
Bạn cần đăng ký gói VIP ( giá chỉ từ 250K ) để làm bài, xem đáp án và lời giải chi tiết không giới hạn.
Câu 14/22
Cho biểu thức \(A = {3^{2x - 1}} \cdot {\left( {\frac{1}{3}} \right)^{2x - 1}} + {9^{x + 1}}\). Vậy:
Cho biểu thức \(A = {3^{2x - 1}} \cdot {\left( {\frac{1}{3}} \right)^{2x - 1}} + {9^{x + 1}}\). Vậy:
a) Cho \({3^x} = 2\). Thì \(A = 37\)
b) Cho \({3^x} = 1\). Thì \(A = 10\)
c) Cho \({3^x} = 3\). Thì \(A = 80\)
Lời giải
Bạn cần đăng ký gói VIP ( giá chỉ từ 250K ) để làm bài, xem đáp án và lời giải chi tiết không giới hạn.
Lời giải
Bạn cần đăng ký gói VIP ( giá chỉ từ 250K ) để làm bài, xem đáp án và lời giải chi tiết không giới hạn.
Câu 16/22
a) \({m^2} - {n^2} = - 312\).
b) \({m^2} - {n^2} = 312\).
c) \({m^2} + {n^2} = 543\).
Lời giải
Bạn cần đăng ký gói VIP ( giá chỉ từ 250K ) để làm bài, xem đáp án và lời giải chi tiết không giới hạn.
Lời giải
Bạn cần đăng ký gói VIP ( giá chỉ từ 250K ) để làm bài, xem đáp án và lời giải chi tiết không giới hạn.
Lời giải
Bạn cần đăng ký gói VIP ( giá chỉ từ 250K ) để làm bài, xem đáp án và lời giải chi tiết không giới hạn.
Lời giải
Bạn cần đăng ký gói VIP ( giá chỉ từ 250K ) để làm bài, xem đáp án và lời giải chi tiết không giới hạn.
Lời giải
Bạn cần đăng ký gói VIP ( giá chỉ từ 250K ) để làm bài, xem đáp án và lời giải chi tiết không giới hạn.
Xem tiếp với tài khoản VIP
Còn 14/22 câu hỏi, đáp án và lời giải chi tiết.
Bạn cần đăng ký gói VIP ( giá chỉ từ 250K ) để làm bài, xem đáp án và lời giải chi tiết không giới hạn.



