Đề cương ôn tập giữa kì 2 Toán 10 Chân trời sáng tạo cấu trúc mới có đáp án - Tự luận
89 người thi tuần này 4.6 448 lượt thi 17 câu hỏi
Bạn cần đăng ký gói VIP ( giá chỉ từ 250K ) để làm bài, xem đáp án và lời giải chi tiết không giới hạn.
🔥 Học sinh cũng đã học
Đề cương ôn tập cuối kì 2 Toán 10 Cánh diều cấu trúc mới có đáp án - Chương VII: Phương pháp tọa độ trong mặt phẳng
Đề cương ôn tập cuối kì 2 Toán 10 Cánh diều cấu trúc mới có đáp án - Chương VI: Một số yếu tố thống kê và xác suất
Đề cương ôn tập cuối kì 2 Toán 10 Cánh diều cấu trúc mới có đáp án - Chương V: Đại số tổ hợp
Đề cương ôn tập cuối kì 2 Toán 10 Kết nối tri thức cấu trúc mới có đáp án - Chương VIII: Đại số tổ hợp
Đề cương ôn tập cuối kì 2 Toán 10 Kết nối tri thức cấu trúc mới có đáp án - Chương IX: Tính xác suất theo định nghĩa cổ điển
Đề cương ôn tập cuối kì 2 Toán 10 Kết nối tri thức cấu trúc mới có đáp án - Chương VII: Phương pháp tọa độ trong mặt phẳng
Đề cương ôn tập cuối kì 2 Toán 10 Kết nối tri thức cấu trúc mới có đáp án - Chương VI: Hàm số, đồ thị và ứng dụng
Đề cương ôn tập cuối kì 2 Toán 10 Chân trời sáng tạo cấu trúc mới có đáp án - Chương X: Xác suất
Danh sách câu hỏi:
Lời giải
Hướng dẫn giải
a)\(f\left( x \right)\) có hai nghiệm phân biệt \({x_1} = 2,\,\,{x_2} = 3\) và có hệ số \(a = - 1 < 0\).
Ta có bảng xét dấu \(f\left( x \right)\)
b)Tam thức có \(\Delta ' = - 9 < 0\) và hệ số \(a = 2 > 0\) nên \(f\left( x \right) > 0,\,\,\forall x \in \mathbb{R}\).
Lời giải
Hướng dẫn giải
a) \(f\left( x \right) = - {x^2} - 2x + m\) ( \[a = - 1 < 0\])
\(\Delta ' = {( - 1)^2} - ( - 1).m = 1 + m\).
Để \[f\left( x \right) < 0,\,\forall x \in \mathbb{R}\] thì \(\left\{ \begin{array}{l}\Delta ' < 0\\a < 0\end{array} \right. \Leftrightarrow 1 + m < 0 \Leftrightarrow m < - 1\).
b) Tìm \[m\] để \(g\left( x \right) = m{x^2} - 2\left( {m - 1} \right)x + m - 3\) không âm với mọi x.
Xét \[m = 0\] thì \(g\left( x \right) = 2x - 3 \ge 0 \Leftrightarrow x \ge \frac{3}{2}\). Do đó \[m = 0\] không thỏa mãn.
Xét \[m \ne 0\], khi đó \(g\left( x \right)\) là tam thức bậc hai có
\(\Delta ' = {(m - 1)^2} - m.(m - 3) = m + 1.\)
Để \(g\left( x \right) = m{x^2} - 2\left( {m - 1} \right)x + m - 3\)không âm với mọi x, tức là \(g\left( x \right) \ge 0,\,\forall x \in \mathbb{R}\) thì
\(\left\{ \begin{array}{l}\Delta ' \le 0\\a > 0\end{array} \right. \Leftrightarrow \left\{ \begin{array}{l}m + 1 \le 0\\m > 0\end{array} \right. \Leftrightarrow \left\{ \begin{array}{l}m \le - 1\\m > 0\end{array} \right. \Leftrightarrow m \in \emptyset \).
Lời giải
Hướng dẫn giải
a) Dễ thấy \(f\left( x \right) = {x^2} - 1\) có \(\Delta ' = 1 > 0,a = 1 > 0\) và có hai nghiệm phân biệt \({x_1} = - 1;\,{x_2} = 1\).
Do đó ta có bảng xét dấu \(f\left( x \right)\):
Nên bất phương trình \({x^2} - 1 \ge 0\) có tập nghiệm là \(S = \left( { - \infty ; - 1} \right] \cup \left[ {1; + \infty } \right)\).
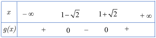
b) Dễ thấy \(g\left( x \right) = {x^2} - 2x - 1\) có \(\Delta ' = 2 > 0,a = 1 > 0\) và có hai nghiệm phân biệt \({x_1} = 1 - \sqrt 2 ;\,\) \({x_2} = 1 + \sqrt 2 \).
Do đó ta có bảng xét dấu \(g\left( x \right)\):
Nên bất phương trình \({x^2} - 2x - 1 < 0\) có tập nghiệm là \(S = \left( {1 - \sqrt 2 ;1 + \sqrt 2 } \right)\).
c) \((4 - 3x)( - 2{x^2} + 3x - 1) \le 0\)
Xét \(f\left( x \right) = \left( {4 - 3x} \right)\left( { - 2{x^2} + 3x - 1} \right) = 0 \Leftrightarrow \left[ \begin{array}{l}x = \frac{4}{3}\\x = 1\\x = \frac{1}{2}\end{array} \right.\) .
Bảng xét dấu
Dựa vào bảng xét dấu ta có \(T = ( - \infty ;\frac{1}{2}{\rm{]}} \cup \left[ {1;\frac{4}{3}} \right]\) là tập nghiệm của bất phương trình.
Lời giải
Hướng dẫn giải
a) Bình phương hai vế của phương trình ta được: \[2{x^2} - 4x - 2 = {x^2} - x - 2\]
\( \Leftrightarrow \) \[{x^2} - 3x = 0\]\[ \Leftrightarrow \]\[x = 0\] hoặc \[x = 3\].
Thay lần lượt hai giá trị này của \[x\] vào phương trình đã cho, ta thấy chỉ có \[x = 3\] thỏa mãn.
Vậy nghiệm của phương trình đã cho là \[x = 3\].
b) \[\sqrt {3{x^2} - 6x + 1} = \sqrt { - 2{x^2} - 9x + 1} \]
Bình phương hai vế của phương trình ta được \[3{x^2} - 6x + 1 = - 2{x^2} - 9x + 1\].
\[ \Leftrightarrow 5{x^2} + 3x = 0\].
\( \Leftrightarrow \)\[x = 0\] hoặc \[x = - \frac{3}{5}\].
Thay lần lượt hai giá trị này của \[x\] vào phương trình đã cho, ta thấy \[x = 0\] và \[x = - \frac{3}{5}\] thỏa mãn.
Vậy tập nghiệm của phương trình đã cho là \[S = \left\{ {0\,;\, - \frac{3}{5}} \right\}\].
Lời giải
Hướng dẫn giải
a) Ta có : \[\sqrt {x - 1} = x - 3 \Leftrightarrow \left\{ \begin{array}{l}x - 3 \ge 0\\x - 1 = {\left( {x - 3} \right)^2}\end{array} \right. \Leftrightarrow \left\{ \begin{array}{l}x \ge 3\\x - 1 = {x^2} - 6x + 9\end{array} \right. \Leftrightarrow \left\{ \begin{array}{l}x \ge 3\\{x^2} - 7x + 10 = 0\end{array} \right. \Leftrightarrow \left\{ \begin{array}{l}x \ge 3\\\left[ \begin{array}{l}x = 5\,\,\,\\x = 2\,\,\end{array} \right.\end{array} \right. \Leftrightarrow x = 5\].
Vậy phương trình có nghiệm \(x = 5\).
b) Ta có : \[\sqrt {6 - 4x + {x^2}} = x + 4 \Leftrightarrow \left\{ \begin{array}{l}x + 4 \ge 0\\6 - 4x + {x^2} = {(x + 4)^2}\end{array} \right. \Leftrightarrow \left\{ \begin{array}{l}x \ge - 4\\x = - \frac{5}{6}\end{array} \right. \Leftrightarrow x = - \frac{5}{6}\].
Vậy nghiệm của phương trình là:\[x = - \frac{5}{6}\].
Lời giải
Hướng dẫn giải
a) Ta có: \[({x^2} - 3x + 2)\sqrt {x - 3} = 0\]\[ \Leftrightarrow \left[ \begin{array}{l}\left\{ \begin{array}{l}{x^2} - 3x + 2 = 0\\x \ge 3\end{array} \right.\\x - 3 = 0\end{array} \right. \Leftrightarrow \left[ \begin{array}{l}\left\{ \begin{array}{l}\left[ \begin{array}{l}x = 1\\x = 2\end{array} \right.\\x \ge 3\end{array} \right.\\x = 3\end{array} \right.\]\[ \Leftrightarrow x = 3\].
Vậy nghiệm của phương trình là \(x = 3\).
b) \(x - \sqrt {2x + 7} = - 4 \Leftrightarrow x + 4 = \sqrt {2x + 7} \Leftrightarrow \left\{ \begin{array}{l}x + 4 \ge 0\\{\left( {x + 4} \right)^2} = 2x + 7\end{array} \right.\)\( \Leftrightarrow \left\{ \begin{array}{l}x \ge - 4\\{x^2} + 6x + 9 = 0\end{array} \right. \Leftrightarrow x = - 3\).
Vậy nghiệm của phương trình là \(x = - 3\).
Lời giải
Bạn cần đăng ký gói VIP ( giá chỉ từ 250K ) để làm bài, xem đáp án và lời giải chi tiết không giới hạn.
Lời giải
Bạn cần đăng ký gói VIP ( giá chỉ từ 250K ) để làm bài, xem đáp án và lời giải chi tiết không giới hạn.
Lời giải
Bạn cần đăng ký gói VIP ( giá chỉ từ 250K ) để làm bài, xem đáp án và lời giải chi tiết không giới hạn.
Lời giải
Bạn cần đăng ký gói VIP ( giá chỉ từ 250K ) để làm bài, xem đáp án và lời giải chi tiết không giới hạn.
Lời giải
Bạn cần đăng ký gói VIP ( giá chỉ từ 250K ) để làm bài, xem đáp án và lời giải chi tiết không giới hạn.
Lời giải
Bạn cần đăng ký gói VIP ( giá chỉ từ 250K ) để làm bài, xem đáp án và lời giải chi tiết không giới hạn.
Lời giải
Bạn cần đăng ký gói VIP ( giá chỉ từ 250K ) để làm bài, xem đáp án và lời giải chi tiết không giới hạn.
Lời giải
Bạn cần đăng ký gói VIP ( giá chỉ từ 250K ) để làm bài, xem đáp án và lời giải chi tiết không giới hạn.
Lời giải
Bạn cần đăng ký gói VIP ( giá chỉ từ 250K ) để làm bài, xem đáp án và lời giải chi tiết không giới hạn.
Lời giải
Bạn cần đăng ký gói VIP ( giá chỉ từ 250K ) để làm bài, xem đáp án và lời giải chi tiết không giới hạn.
Lời giải
Bạn cần đăng ký gói VIP ( giá chỉ từ 250K ) để làm bài, xem đáp án và lời giải chi tiết không giới hạn.
Xem tiếp với tài khoản VIP
Còn 11/17 câu hỏi, đáp án và lời giải chi tiết.
Bạn cần đăng ký gói VIP ( giá chỉ từ 250K ) để làm bài, xem đáp án và lời giải chi tiết không giới hạn.

