Đề kiểm tra Hàm số (có lời giải) - Đề 2
18 người thi tuần này 4.6 190 lượt thi 22 câu hỏi 45 phút
Bạn cần đăng ký gói VIP ( giá chỉ từ 250K ) để làm bài, xem đáp án và lời giải chi tiết không giới hạn.
🔥 Học sinh cũng đã học
Đề cương ôn tập cuối kì 2 Toán 10 Cánh diều cấu trúc mới có đáp án - Chương VII: Phương pháp tọa độ trong mặt phẳng
Đề cương ôn tập cuối kì 2 Toán 10 Cánh diều cấu trúc mới có đáp án - Chương VI: Một số yếu tố thống kê và xác suất
Đề cương ôn tập cuối kì 2 Toán 10 Cánh diều cấu trúc mới có đáp án - Chương V: Đại số tổ hợp
Đề cương ôn tập cuối kì 2 Toán 10 Kết nối tri thức cấu trúc mới có đáp án - Chương VIII: Đại số tổ hợp
Đề cương ôn tập cuối kì 2 Toán 10 Kết nối tri thức cấu trúc mới có đáp án - Chương IX: Tính xác suất theo định nghĩa cổ điển
Đề cương ôn tập cuối kì 2 Toán 10 Kết nối tri thức cấu trúc mới có đáp án - Chương VII: Phương pháp tọa độ trong mặt phẳng
Đề cương ôn tập cuối kì 2 Toán 10 Kết nối tri thức cấu trúc mới có đáp án - Chương VI: Hàm số, đồ thị và ứng dụng
Đề cương ôn tập cuối kì 2 Toán 10 Chân trời sáng tạo cấu trúc mới có đáp án - Chương X: Xác suất
Danh sách câu hỏi:
Lời giải

Lời giải

Câu 9/22
Lời giải
Bạn cần đăng ký gói VIP ( giá chỉ từ 250K ) để làm bài, xem đáp án và lời giải chi tiết không giới hạn.
Câu 10/22
Lời giải
Bạn cần đăng ký gói VIP ( giá chỉ từ 250K ) để làm bài, xem đáp án và lời giải chi tiết không giới hạn.
Câu 11/22
Lời giải
Bạn cần đăng ký gói VIP ( giá chỉ từ 250K ) để làm bài, xem đáp án và lời giải chi tiết không giới hạn.
Câu 12/22
A. Hàm số đồng biến trên khoảng \(\left( { - 1;1} \right)\).
B. Hàm số đồng biến trên khoảng \(\left( {1;3} \right)\).
C. Hàm số nghịch biến trên khoảng \(\left( {1; + \infty } \right)\).
Lời giải
Bạn cần đăng ký gói VIP ( giá chỉ từ 250K ) để làm bài, xem đáp án và lời giải chi tiết không giới hạn.
Câu 13/22
a) \(y = f(1) = 5\)
b) \[y = g(1) = - 1\]
c) Hàm số \(y = 2x + 3\) đồng biến trên \(\mathbb{R}\).
Lời giải
Bạn cần đăng ký gói VIP ( giá chỉ từ 250K ) để làm bài, xem đáp án và lời giải chi tiết không giới hạn.
Câu 14/22
a) Đường gấp khúc này là đồ thị của một hàm số (giả sử là hàm \(y = f(x))\)
b) \(f(2) = 500\).
c) Điểm có tung độ 200 thuộc đồ thị hàm số ứng với hoành độ bằng 7
Lời giải
Bạn cần đăng ký gói VIP ( giá chỉ từ 250K ) để làm bài, xem đáp án và lời giải chi tiết không giới hạn.
Câu 15/22
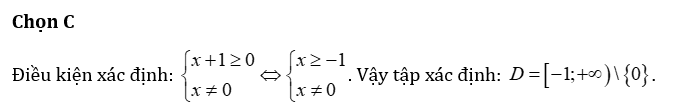
a) Hàm số \(y = \frac{{{x^2} - x + 6}}{{{x^2} + 3x - 4}}\) có tập xác định là \(D = \mathbb{R}\backslash \{ 1;4\} \)
b) Hàm số \(y = \frac{{x + 1}}{{(x + 2)\left( {{x^2} - 3} \right)}}\) có tập xác định là \(D = \mathbb{R}\backslash \{ - 2\} \)
c) Hàm số \(y = \frac{{|x| + 1}}{{{x^2} + 2}}\) có tập xác định là \(D = \mathbb{R}\)
Lời giải
Bạn cần đăng ký gói VIP ( giá chỉ từ 250K ) để làm bài, xem đáp án và lời giải chi tiết không giới hạn.
Câu 16/22
a) Hàm số \(T\) theo \(x\) là \(T = 900000 + 700000x\)
b) Điều kiện của \(x\) là \(x \in \mathbb{N}\)
c) Một khách hàng thuê một chiếc xe hơi công ty trong 7 ngày tết thì sẽ trả khoản tiền thuê là \(5800000\)(đồng).
Lời giải
Bạn cần đăng ký gói VIP ( giá chỉ từ 250K ) để làm bài, xem đáp án và lời giải chi tiết không giới hạn.
Lời giải
Bạn cần đăng ký gói VIP ( giá chỉ từ 250K ) để làm bài, xem đáp án và lời giải chi tiết không giới hạn.
Lời giải
Bạn cần đăng ký gói VIP ( giá chỉ từ 250K ) để làm bài, xem đáp án và lời giải chi tiết không giới hạn.
Lời giải
Bạn cần đăng ký gói VIP ( giá chỉ từ 250K ) để làm bài, xem đáp án và lời giải chi tiết không giới hạn.
Lời giải
Bạn cần đăng ký gói VIP ( giá chỉ từ 250K ) để làm bài, xem đáp án và lời giải chi tiết không giới hạn.
Xem tiếp với tài khoản VIP
Còn 14/22 câu hỏi, đáp án và lời giải chi tiết.
Bạn cần đăng ký gói VIP ( giá chỉ từ 250K ) để làm bài, xem đáp án và lời giải chi tiết không giới hạn.














































