Đề kiểm tra Ba đường conic (có lời giải) - Đề 1
80 người thi tuần này 4.6 335 lượt thi 22 câu hỏi 45 phút
Bạn cần đăng ký gói VIP ( giá chỉ từ 250K ) để làm bài, xem đáp án và lời giải chi tiết không giới hạn.
🔥 Học sinh cũng đã học
Đề cương ôn tập cuối kì 2 Toán 10 Cánh diều cấu trúc mới có đáp án - Chương VII: Phương pháp tọa độ trong mặt phẳng
Đề cương ôn tập cuối kì 2 Toán 10 Cánh diều cấu trúc mới có đáp án - Chương VI: Một số yếu tố thống kê và xác suất
Đề cương ôn tập cuối kì 2 Toán 10 Cánh diều cấu trúc mới có đáp án - Chương V: Đại số tổ hợp
Đề cương ôn tập cuối kì 2 Toán 10 Kết nối tri thức cấu trúc mới có đáp án - Chương VIII: Đại số tổ hợp
Đề cương ôn tập cuối kì 2 Toán 10 Kết nối tri thức cấu trúc mới có đáp án - Chương IX: Tính xác suất theo định nghĩa cổ điển
Đề cương ôn tập cuối kì 2 Toán 10 Kết nối tri thức cấu trúc mới có đáp án - Chương VII: Phương pháp tọa độ trong mặt phẳng
Đề cương ôn tập cuối kì 2 Toán 10 Kết nối tri thức cấu trúc mới có đáp án - Chương VI: Hàm số, đồ thị và ứng dụng
Đề cương ôn tập cuối kì 2 Toán 10 Chân trời sáng tạo cấu trúc mới có đáp án - Chương X: Xác suất
Danh sách câu hỏi:
Câu 1/22
Lời giải
Câu 2/22
Lời giải
Từ phương trình Elip ta có: \[{a^2} = 8,{b^2} = 4\] \[ \Rightarrow {c^2} = 4\] \[ \Rightarrow c = 2\].
\[ \Rightarrow \] Tọa độ tiêu điểm với hoành độ âm của đường Elip là \[\left( { - 2;0} \right)\].
Câu 3/22
Lời giải
Elip \(\frac{{{x^2}}}{{16}} + \frac{{{y^2}}}{7} = 1\) có \({a^2} = 16\), \({b^2} = 7\) suy ra \({c^2} = {a^2} - {b^2} = 16 - 7 = 9\)\( \Leftrightarrow c = 3\).
Vậy tiêu cự \(2c = 2.3 = 6\).
Câu 4/22
Một elip có diện tích hình chữ nhật cơ sở là \(80\), độ dài tiêu cự là \(6\). Tâm sai của elip đó là
Lời giải
Diện tích hình chữ nhật cơ sở là \(2a.2b = 80\), suy ra \(a.b = 20\,\,\,\left( 1 \right)\).
Lại có \(2c = 6 \Rightarrow c = 3 \Rightarrow {a^2} - {b^2} = {c^2} = 9\quad \left( 2 \right)\).
Từ \(\left( 1 \right) \Rightarrow b = \frac{{20}}{a}\), thay vào \(\left( 2 \right)\) ta được:
\({a^2} - \frac{{400}}{{{a^2}}} = 9 \Rightarrow {a^4} - 9{a^2} - 400 = 0\)\( \Leftrightarrow {a^2} = 25 \Rightarrow a = 5\).
Do đó tâm sai \(e = \frac{3}{5}\).
Câu 5/22
Lời giải
Ta có \({a^2} = 4 \Rightarrow a = 2;{b^2} = 1 \Rightarrow b = 1;{c^2} = {a^2} - {b^2} = 3 \Rightarrow c = \sqrt 3 \)
Tâm sai của elip là \(e = \frac{c}{a} = \frac{{\sqrt 3 }}{2}\)
Câu 6/22
A. \[{F_1}\left( { - \sqrt 5 ;0} \right),{F_2}\left( {\sqrt 5 ;0} \right)\].
C. \[{F_1}\left( { - \sqrt 5 ;\sqrt 5 } \right),{F_2}\left( {0;\sqrt 5 } \right)\].
Lời giải
Phương trình chính tắc của Elip có dạng \[\frac{{{x^2}}}{{{a^2}}} + \frac{{{y^2}}}{{{b^2}}} = 1 \Rightarrow (E):\frac{{{x^2}}}{9} + \frac{{{y^2}}}{4} = 1\] với \[{F_1}{F_2} = 2c\] và \[{b^2} = {a^2} - {c^2}\].
Ta có: \[{a^2} = 9 \Rightarrow a = 3\] và \[{b^2} = 4 \Rightarrow b = 2\]. Suy ra \[c = \sqrt {{a^2} - {b^2}} = \sqrt 5 \].
Vậy các tọa độ tiêu điểm là \[{F_1}\left( { - \sqrt 5 ;0} \right),{F_2}\left( {\sqrt 5 ;0} \right)\].
Câu 7/22
A. \[\frac{{{x^2}}}{{25}} + \frac{{{y^2}}}{{16}} = 1\].
C. \[\frac{{{x^2}}}{{16}} - \frac{{{y^2}}}{{25}} = 1\].
Lời giải
Phương trình chính tắc của Elip có dạng \[\frac{{{x^2}}}{{{a^2}}} + \frac{{{y^2}}}{{{b^2}}} = 1\] với \[{F_1}{F_2} = 2c\] và \[{b^2} = {a^2} - {c^2}\].
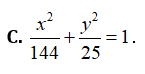
Ta có \[2a = 10 \Rightarrow a = 5\] và \[2b = 8 \Rightarrow b = 4\]. Vậy phương trình chính tắc là \[\frac{{{x^2}}}{{25}} + \frac{{{y^2}}}{{16}} = 1\]
Câu 8/22
Lời giải
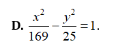
Phương trình chính tắc của Elip có dạng: \(\frac{{{x^2}}}{{{a^2}}} + \frac{{{y^2}}}{{{b^2}}} = 1\), điều kiện \(a > b > 0\)
Ta có: \(2a = 26 \Rightarrow a = 13\)và \[\frac{c}{a} = \frac{{12}}{{13}} \Rightarrow c = 12\]
Do đó \(b = \sqrt {{a^2} - {c^2}} = 5\).
Vậy phương trình chính tắc của Elip là:\(\frac{{{x^2}}}{{169}} + \frac{{{y^2}}}{{25}} = 1\)
Chọn đáp án B
Lời giải
Bạn cần đăng ký gói VIP ( giá chỉ từ 250K ) để làm bài, xem đáp án và lời giải chi tiết không giới hạn.
Câu 10/22
Lời giải
Bạn cần đăng ký gói VIP ( giá chỉ từ 250K ) để làm bài, xem đáp án và lời giải chi tiết không giới hạn.
Câu 11/22
A. \[\left( {5\,;0} \right)\] và \[\left( { - 5\,;0} \right)\].
B. \[\left( {0\,;5} \right)\] và \[\left( {0\,; - 5} \right)\].
Lời giải
Bạn cần đăng ký gói VIP ( giá chỉ từ 250K ) để làm bài, xem đáp án và lời giải chi tiết không giới hạn.
Câu 12/22
Lời giải
Bạn cần đăng ký gói VIP ( giá chỉ từ 250K ) để làm bài, xem đáp án và lời giải chi tiết không giới hạn.
Câu 13/22
a) Điểm \(A\left( {4;0} \right)\) thuộc elip \((E)\).
b) Tiêu cự elip \((E)\) bằng \(\sqrt 7 \)
c) Elip \((E)\) có tiêu điểm \({F_1}( - 2\sqrt 7 ;0)\), \({F_2}(2\sqrt 7 ;0)\)
Lời giải
Bạn cần đăng ký gói VIP ( giá chỉ từ 250K ) để làm bài, xem đáp án và lời giải chi tiết không giới hạn.
Câu 14/22
a) Điểm \(A\left( {3;0} \right)\) nằm trên hypebol
b) Hypebol \((H)\) có tiêu cự \(4\sqrt 5 \)
c) Hypebol \((H)\) có toạ độ hai tiêu điểm \({F_1}( - 2\sqrt 5 ;0)\); \({F_2}(2\sqrt 5 ;0)\)
Lời giải
Bạn cần đăng ký gói VIP ( giá chỉ từ 250K ) để làm bài, xem đáp án và lời giải chi tiết không giới hạn.
Câu 15/22
a) Parabol \((P)\) có tham số tiêu là 0,8 có phương trình chính tắc của đường parabol \((P)\) là: \({y^2} = 1,6x\).
b) \({\mathop{\rm Parabol}\nolimits} (P)\) đi qua điểm \(A(3;6)\) có phương trình chính tắc của đường parabol \((P)\) là: \({y^2} = 12x\).
c) Parabol \((P)\) có tiêu điểm \(F(5;0)\) có phương trình chính tắc của đường parabol \((P)\) là: \({y^2} = 10x\)
Lời giải
Bạn cần đăng ký gói VIP ( giá chỉ từ 250K ) để làm bài, xem đáp án và lời giải chi tiết không giới hạn.
Câu 16/22
a) Tham số tiêu bằng \(p = 6\)
b) Tọa độ tiêu điểm là \(F\left( {\frac{3}{2};0} \right)\).
c) Phương trình đường chuẩn \(\Delta :x = \frac{3}{2}\).
Lời giải
Bạn cần đăng ký gói VIP ( giá chỉ từ 250K ) để làm bài, xem đáp án và lời giải chi tiết không giới hạn.
Lời giải
Bạn cần đăng ký gói VIP ( giá chỉ từ 250K ) để làm bài, xem đáp án và lời giải chi tiết không giới hạn.
Lời giải
Bạn cần đăng ký gói VIP ( giá chỉ từ 250K ) để làm bài, xem đáp án và lời giải chi tiết không giới hạn.
Lời giải
Bạn cần đăng ký gói VIP ( giá chỉ từ 250K ) để làm bài, xem đáp án và lời giải chi tiết không giới hạn.
Lời giải
Bạn cần đăng ký gói VIP ( giá chỉ từ 250K ) để làm bài, xem đáp án và lời giải chi tiết không giới hạn.
Xem tiếp với tài khoản VIP
Còn 14/22 câu hỏi, đáp án và lời giải chi tiết.
Bạn cần đăng ký gói VIP ( giá chỉ từ 250K ) để làm bài, xem đáp án và lời giải chi tiết không giới hạn.




