Đề ôn thi Tốt nghiệp THPT Sinh học năm 2025 có đáp án - Đề số 23
56 người thi tuần này 4.6 106 lượt thi 28 câu hỏi 45 phút
Bạn cần đăng ký gói VIP ( giá chỉ từ 250K ) để làm bài, xem đáp án và lời giải chi tiết không giới hạn.
🔥 Học sinh cũng đã học
Đề thi thử Tốt nghiệp THPT Sinh học 2025-2026 trường THPT Chuyên Phan Bội Châu (Nghệ An) lần 2 có đáp án
Đề thi thử Tốt nghiệp THPT Sinh học 2025-2026 trường THPT Triệu Sơn 2 (Thanh Hóa) có đáp án
Đề thi thử Tốt nghiệp THPT Sinh học 2025-2026 trường THPT Chuyên Thoại Ngọc Hầu (An Giang) có đáp án
Đề thi thử Tốt nghiệp THPT Sinh học 2025-2026 Sở GD&ĐT Phú Thọ có đáp án
Đề thi thử Tốt nghiệp THPT Sinh học 2025-2026 Cụm 13 trường (Hải Phòng) lần 2 có đáp án
Đề thi thử Tốt nghiệp THPT Sinh học 2025-2026 trường THPT Lê Thánh Tông (Hồ Chí Minh) có đáp án
Đề thi thử Tốt nghiệp THPT Sinh học 2025-2026 Sở GD&ĐT Hà Nội có đáp án
Đề thi thử Tốt nghiệp THPT Sinh học 2025-2026 trường THPT Hậu Lộc 4 (Thanh Hóa) có đáp án
Danh sách câu hỏi:
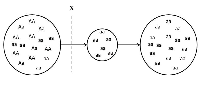
Câu 1
Lời giải
Hướng dẫn giải:
Để nhận biết tinh bột trong tế bào sử dụng dung dịch Lugol nhỏ vào dịch chiết tế bào. Nếu dịch chiết chuyển màu xanh thì trong dịch chiết có chứa tinh bột.
Đáp án: B.
Câu 2
Lời giải
- Ở kỳ giữa của quá trình nguyên phân, các nhiễm sắc thể kép co xoắn cực đại và tập trung thành một hàng trên mặt phẳng xích đạo của thoi phân bào.
Câu 3
A. 400 µmol/m2/s.
Lời giải
Câu 4
Lời giải
Lời giải
Câu 6
Lời giải
Bạn cần đăng ký gói VIP ( giá chỉ từ 250K ) để làm bài, xem đáp án và lời giải chi tiết không giới hạn.
Lời giải
Bạn cần đăng ký gói VIP ( giá chỉ từ 250K ) để làm bài, xem đáp án và lời giải chi tiết không giới hạn.
Câu 8
Lời giải
Bạn cần đăng ký gói VIP ( giá chỉ từ 250K ) để làm bài, xem đáp án và lời giải chi tiết không giới hạn.
Câu 9
Lời giải
Bạn cần đăng ký gói VIP ( giá chỉ từ 250K ) để làm bài, xem đáp án và lời giải chi tiết không giới hạn.
Câu 10
Lời giải
Bạn cần đăng ký gói VIP ( giá chỉ từ 250K ) để làm bài, xem đáp án và lời giải chi tiết không giới hạn.
Câu 11
Lời giải
Bạn cần đăng ký gói VIP ( giá chỉ từ 250K ) để làm bài, xem đáp án và lời giải chi tiết không giới hạn.
Câu 12
Lời giải
Bạn cần đăng ký gói VIP ( giá chỉ từ 250K ) để làm bài, xem đáp án và lời giải chi tiết không giới hạn.
Câu 13
Lời giải
Bạn cần đăng ký gói VIP ( giá chỉ từ 250K ) để làm bài, xem đáp án và lời giải chi tiết không giới hạn.
Câu 14
Lời giải
Bạn cần đăng ký gói VIP ( giá chỉ từ 250K ) để làm bài, xem đáp án và lời giải chi tiết không giới hạn.
Câu 15
Lời giải
Bạn cần đăng ký gói VIP ( giá chỉ từ 250K ) để làm bài, xem đáp án và lời giải chi tiết không giới hạn.
Lời giải
Bạn cần đăng ký gói VIP ( giá chỉ từ 250K ) để làm bài, xem đáp án và lời giải chi tiết không giới hạn.
Câu 17
Lời giải
Bạn cần đăng ký gói VIP ( giá chỉ từ 250K ) để làm bài, xem đáp án và lời giải chi tiết không giới hạn.
Câu 18
Lời giải
Bạn cần đăng ký gói VIP ( giá chỉ từ 250K ) để làm bài, xem đáp án và lời giải chi tiết không giới hạn.
Câu 19
Lời giải
Bạn cần đăng ký gói VIP ( giá chỉ từ 250K ) để làm bài, xem đáp án và lời giải chi tiết không giới hạn.
Câu 20
Lời giải
Bạn cần đăng ký gói VIP ( giá chỉ từ 250K ) để làm bài, xem đáp án và lời giải chi tiết không giới hạn.
Lời giải
Bạn cần đăng ký gói VIP ( giá chỉ từ 250K ) để làm bài, xem đáp án và lời giải chi tiết không giới hạn.
Lời giải
Bạn cần đăng ký gói VIP ( giá chỉ từ 250K ) để làm bài, xem đáp án và lời giải chi tiết không giới hạn.
Lời giải
Bạn cần đăng ký gói VIP ( giá chỉ từ 250K ) để làm bài, xem đáp án và lời giải chi tiết không giới hạn.
Lời giải
Bạn cần đăng ký gói VIP ( giá chỉ từ 250K ) để làm bài, xem đáp án và lời giải chi tiết không giới hạn.
Lời giải
Bạn cần đăng ký gói VIP ( giá chỉ từ 250K ) để làm bài, xem đáp án và lời giải chi tiết không giới hạn.
Câu 26
Những thiệt hại do siêu bão Yagi xảy ra ở các địa phương miền Bắc trong tháng 9/2024 gây nên nhiều thiệt hại như : khoảng 257.000 căn nhà, 1.300 trường học và nhiều công trình hạ tầng bị sập đổ, hư hại; 305 sự cố đê điều, chủ yếu là các tuyến đê lớn. Các hộ trồng lúa, hoa màu, chăn nuôi, nuôi trồng thủy sản là những đối tượng chịu thiệt hại nặng nề nhất với khoảng 262.000 ha lúa, hoa màu, cây ăn quả bị ngập úng; 2.250 lồng bè nuôi trồng thủy sản bị hư hỏng, cuốn trôi. Ngoài ra, gần 2,3 triệu gia súc, gia cầm bị chết và 310.000 cây xanh đô thị gãy đổ. (Theo thông tin trên https://lsvn.vn/ ngày 16/9/2024)
Viết tên của số có giải pháp sau đây được coi là cấp bách quan trọng nhất thực hiện trước khi siêu bão Yagi đổ bộ vào?
(1) Sơ tán và viện trợ khẩn cấp cho người dân.
(2) Khôi phục lại các cơ sở hạ tầng phục vụ sinh hoạt và sản xuất cho con người.
(3) Xử lý rác thải môi trường và phòng chống các dịch bệnh sau cơn bão Yagi.
(4) Hỗ trợ tái sản xuất cây trồng ,con giống để thực hiện việc mưu sinh cho nông dân.
Những thiệt hại do siêu bão Yagi xảy ra ở các địa phương miền Bắc trong tháng 9/2024 gây nên nhiều thiệt hại như : khoảng 257.000 căn nhà, 1.300 trường học và nhiều công trình hạ tầng bị sập đổ, hư hại; 305 sự cố đê điều, chủ yếu là các tuyến đê lớn. Các hộ trồng lúa, hoa màu, chăn nuôi, nuôi trồng thủy sản là những đối tượng chịu thiệt hại nặng nề nhất với khoảng 262.000 ha lúa, hoa màu, cây ăn quả bị ngập úng; 2.250 lồng bè nuôi trồng thủy sản bị hư hỏng, cuốn trôi. Ngoài ra, gần 2,3 triệu gia súc, gia cầm bị chết và 310.000 cây xanh đô thị gãy đổ. (Theo thông tin trên https://lsvn.vn/ ngày 16/9/2024)
Viết tên của số có giải pháp sau đây được coi là cấp bách quan trọng nhất thực hiện trước khi siêu bão Yagi đổ bộ vào?
(1) Sơ tán và viện trợ khẩn cấp cho người dân.
(2) Khôi phục lại các cơ sở hạ tầng phục vụ sinh hoạt và sản xuất cho con người.
(3) Xử lý rác thải môi trường và phòng chống các dịch bệnh sau cơn bão Yagi.
(4) Hỗ trợ tái sản xuất cây trồng ,con giống để thực hiện việc mưu sinh cho nông dân.
Lời giải
Bạn cần đăng ký gói VIP ( giá chỉ từ 250K ) để làm bài, xem đáp án và lời giải chi tiết không giới hạn.
Đoạn văn 1
Dùng thông tin sau để trả lời câu 8 và câu 9: Hình 3 Cho sơ đồ phả hệ sau mô tả một bệnh (H) ở người do một gene có 2 allele quy định, allele trội là trội hoàn toàn.

Hình 3
Câu 27
Lời giải
Bạn cần đăng ký gói VIP ( giá chỉ từ 250K ) để làm bài, xem đáp án và lời giải chi tiết không giới hạn.
Lời giải
Bạn cần đăng ký gói VIP ( giá chỉ từ 250K ) để làm bài, xem đáp án và lời giải chi tiết không giới hạn.










