Đề kiểm tra Phương trình đường thẳng (có lời giải) - Đề 2
28 người thi tuần này 4.6 409 lượt thi 22 câu hỏi 45 phút
Bạn cần đăng ký gói VIP ( giá chỉ từ 250K ) để làm bài, xem đáp án và lời giải chi tiết không giới hạn.
🔥 Học sinh cũng đã học
Đề cương ôn tập cuối kì 2 Toán 10 Cánh diều cấu trúc mới có đáp án - Chương VII: Phương pháp tọa độ trong mặt phẳng
Đề cương ôn tập cuối kì 2 Toán 10 Cánh diều cấu trúc mới có đáp án - Chương VI: Một số yếu tố thống kê và xác suất
Đề cương ôn tập cuối kì 2 Toán 10 Cánh diều cấu trúc mới có đáp án - Chương V: Đại số tổ hợp
Đề cương ôn tập cuối kì 2 Toán 10 Kết nối tri thức cấu trúc mới có đáp án - Chương VIII: Đại số tổ hợp
Đề cương ôn tập cuối kì 2 Toán 10 Kết nối tri thức cấu trúc mới có đáp án - Chương IX: Tính xác suất theo định nghĩa cổ điển
Đề cương ôn tập cuối kì 2 Toán 10 Kết nối tri thức cấu trúc mới có đáp án - Chương VII: Phương pháp tọa độ trong mặt phẳng
Đề cương ôn tập cuối kì 2 Toán 10 Kết nối tri thức cấu trúc mới có đáp án - Chương VI: Hàm số, đồ thị và ứng dụng
Đề cương ôn tập cuối kì 2 Toán 10 Chân trời sáng tạo cấu trúc mới có đáp án - Chương X: Xác suất
Danh sách câu hỏi:
Câu 1/22
Lời giải
Đường thẳng \(d\) có phương trình \(3x + 2y - 1 = 0\) nên một vectơ pháp tuyến của đường thẳng \(d\) là \(\overrightarrow n = \left( {3;2} \right)\).
Câu 2/22
A. \(x - 2y - 3 = 0.\)
B. \(x - 2y + 5 = 0.\)
Lời giải
Ta có \(d \bot \Delta \) nên d có một vectơ pháp tuyến là \(\overrightarrow n = \left( {1; - 2} \right).\)
Mà đường thẳng \(d\) đi qua \(A\left( {1; - 1} \right)\) nên phương trình tổng quát của đường thẳng \(d\) là:
\(x - 1 - 2\left( {y + 1} \right) = 0 \Leftrightarrow x - 2y - 3 = 0.\)
Vậy phương trình tổng quát cuả đường thẳng \(d:x - 2y - 3 = 0.\)
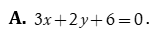
Câu 3/22
Lời giải
Chọn A
Đường thẳng \[d\]: \[\left\{ \begin{array}{l}x = 1 - 4t\\y = - 2 + 3t\end{array} \right.\]có vectơ chỉ phương là \(\overrightarrow u = \left( { - 4;3} \right)\).
Câu 4/22
Lời giải
Chọn B
Véctơ pháp tuyến của đường thẳng \(d\): \(\overrightarrow {{n_1}} = \left( { - 4\,;\, - 6} \right)\).
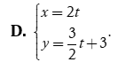
Câu 5/22
Lời giải
Đường thẳng \[d\] có phương trình tham số \[\left\{ \begin{array}{l}x = 3 + 3t\\y = 5 - 2t\end{array} \right.\].
Vectơ chỉ phương của đường thẳng \[d\] là \[\overrightarrow u \, = \left( {3; - 2} \right)\].
Lời giải
Lời giải
Chọn C
Ta có: \(\begin{array}{l}\left\{ \begin{array}{l}A\left( {4; - 3} \right) \in d\\{{\vec u}_d} = \left( { - 2;3} \right)\\\Delta ||d\end{array} \right. \to \left\{ \begin{array}{l}A\left( {4; - 3} \right) \in d\\{{\vec u}_\Delta } = \left( { - 2;3} \right) \to {{\vec n}_\Delta } = \left( {3;2} \right)\end{array} \right.\\ \to \Delta :3\left( {x - 4} \right) + 2\left( {y + 3} \right) = 0 \Leftrightarrow \Delta :3x + 2y - 6 = 0.\,\,\,\end{array}\)
Câu 9/22
Lời giải
Bạn cần đăng ký gói VIP ( giá chỉ từ 250K ) để làm bài, xem đáp án và lời giải chi tiết không giới hạn.
Câu 10/22
B. \[x + y = 0.\]
Lời giải
Bạn cần đăng ký gói VIP ( giá chỉ từ 250K ) để làm bài, xem đáp án và lời giải chi tiết không giới hạn.
Câu 11/22
Lời giải
Bạn cần đăng ký gói VIP ( giá chỉ từ 250K ) để làm bài, xem đáp án và lời giải chi tiết không giới hạn.
Câu 12/22
B. \(\left\{ \begin{array}{l}x = 2 + 3t\\y = 3 + 2t\end{array} \right.\).
Lời giải
Bạn cần đăng ký gói VIP ( giá chỉ từ 250K ) để làm bài, xem đáp án và lời giải chi tiết không giới hạn.
Câu 13/22
a) Điểm \(B\) có toạ độ là \(\left( {\frac{2}{3};\frac{2}{3}} \right)\).
d) Điểm \(C\) có toạ độ là \(( - 1;3)\).
c) Phương trình đường cao kẻ từ \(A\) là \(5x - 7y - 6 = 0\)
Lời giải
Bạn cần đăng ký gói VIP ( giá chỉ từ 250K ) để làm bài, xem đáp án và lời giải chi tiết không giới hạn.
Câu 14/22
a) Điểm \(C\) có toạ độ là \(\left( {\frac{{ - 3}}{7};\frac{8}{7}} \right)\).
b) Điểm \(B\) có toạ độ là \(\left( {\frac{{ - 4}}{7};\frac{{ - 1}}{7}} \right)\).
c) \(BC:9x - y + 5 = 0\)
Lời giải
Bạn cần đăng ký gói VIP ( giá chỉ từ 250K ) để làm bài, xem đáp án và lời giải chi tiết không giới hạn.
Câu 15/22
a) Vectơ chỉ phương của đường thẳng biểu diễn chuyển động của vật thể là \(\vec v(1;2)\)
b) Vật thể \(M\) chuyển động trên đường thẳng \(2x - 3y - 1 = 0\)
c) Toạ độ của vật thể \(M\) tại thời điểm \(t(t > 0)\) tính từ khi khởi hành là \(\left\{ {\begin{array}{*{20}{l}}{x = 5 + t}\\{y = 3 + 2t}\end{array}} \right.\)
Lời giải
Bạn cần đăng ký gói VIP ( giá chỉ từ 250K ) để làm bài, xem đáp án và lời giải chi tiết không giới hạn.
Câu 16/22
a) \(\Delta \) qua \(A(1;0)\), có vectơ pháp tuyến \(\vec n = (3; - 2)\), khi đó phương trình tổng quát của \(\Delta \) là: \(3x - 2y - 3 = 0\)
b) \(\Delta \) qua \(A( - 1;0)\) và vuông góc với đường thẳng \(AB\) biết \(B(1;4)\), khi đó phương trình tổng quát của \(\Delta \) là: \(x + 2y + 1 = 0\)
c) \(\Delta \) là đường trung trực của đoạn thẳng \(MN\) với \(M(0; - 3),N(2;5)\), khi đó phương trình tổng quát của \(\Delta \) là: \(x + 4y - 3 = 0\)
Lời giải
Bạn cần đăng ký gói VIP ( giá chỉ từ 250K ) để làm bài, xem đáp án và lời giải chi tiết không giới hạn.
Lời giải
Bạn cần đăng ký gói VIP ( giá chỉ từ 250K ) để làm bài, xem đáp án và lời giải chi tiết không giới hạn.
Lời giải
Bạn cần đăng ký gói VIP ( giá chỉ từ 250K ) để làm bài, xem đáp án và lời giải chi tiết không giới hạn.
Lời giải
Bạn cần đăng ký gói VIP ( giá chỉ từ 250K ) để làm bài, xem đáp án và lời giải chi tiết không giới hạn.
Lời giải
Bạn cần đăng ký gói VIP ( giá chỉ từ 250K ) để làm bài, xem đáp án và lời giải chi tiết không giới hạn.
Xem tiếp với tài khoản VIP
Còn 14/22 câu hỏi, đáp án và lời giải chi tiết.
Bạn cần đăng ký gói VIP ( giá chỉ từ 250K ) để làm bài, xem đáp án và lời giải chi tiết không giới hạn.













