Đề kiểm tra Phương trình đường thẳng trong không gian (có lời giải) - Đề 3
42 người thi tuần này 4.6 483 lượt thi 22 câu hỏi 45 phút
Bạn cần đăng ký gói VIP ( giá chỉ từ 250K ) để làm bài, xem đáp án và lời giải chi tiết không giới hạn.
🔥 Học sinh cũng đã học
20000 câu trắc nghiệm tổng hợp Toán 2026 có đáp án - Phần 2
Đề cương ôn tập cuối kì 2 Toán 12 Cánh diều cấu trúc mới (có tự luận) có đáp án - Chương VI. Một số yếu tố xác suất
Đề cương ôn tập cuối kì 2 Toán 12 Cánh diều cấu trúc mới (có tự luận) có đáp án - Chương V. Phương trình mặt phẳng, đường thẳng, mặt cầu trong không gian
Đề cương ôn tập cuối kì 2 Toán 12 Cánh diều cấu trúc mới (có tự luận) có đáp án - Chương IV. Nguyên hàm. Tích phân
Đề cương ôn tập cuối kì 2 Toán 12 Chân trời sáng tạo cấu trúc mới (có tự luận) có đáp án - Chương VI. Xác suất có điều kiện
Đề cương ôn tập cuối kì 2 Toán 12 Chân trời sáng tạo cấu trúc mới (có tự luận) có đáp án - Chương V. Phương trình mặt phẳng, đường thẳng, mặt cầu
Đề cương ôn tập cuối kì 2 Toán 12 Chân trời sáng tạo cấu trúc mới (có tự luận) có đáp án - Chương IV. Nguyên hàm. Tích phân
Đề cương ôn tập cuối kì 2 Toán 12 Kết nối tri thức cấu trúc mới (có tự luận) có đáp án - Chương VI. Xác suất có điều kiện
Danh sách câu hỏi:
Lời giải
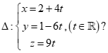
có một vectơ chỉ phương là 
Lời giải

Câu 5/22
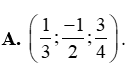
A. - 8
B . 8
C. 4
D. -4
Lời giải

Lời giải
Bạn cần đăng ký gói VIP ( giá chỉ từ 250K ) để làm bài, xem đáp án và lời giải chi tiết không giới hạn.
Câu 10/22
A. 600
B . 300
C. 1200
D. 1500
Lời giải
Bạn cần đăng ký gói VIP ( giá chỉ từ 250K ) để làm bài, xem đáp án và lời giải chi tiết không giới hạn.
Lời giải
Bạn cần đăng ký gói VIP ( giá chỉ từ 250K ) để làm bài, xem đáp án và lời giải chi tiết không giới hạn.
Lời giải
Bạn cần đăng ký gói VIP ( giá chỉ từ 250K ) để làm bài, xem đáp án và lời giải chi tiết không giới hạn.
Câu 13/22
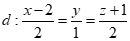
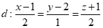
a) Đường thẳng d nhận
là một véctơ chỉ phương.
b) Điểm A ( 3;2;1) thuộc đường thẳng d.
c) Điểm B ( 1; -5; -4) không thuộc đường thẳng d..
d) Phương trình chính tắc của đường thẳng d là: 
Lời giải
Bạn cần đăng ký gói VIP ( giá chỉ từ 250K ) để làm bài, xem đáp án và lời giải chi tiết không giới hạn.
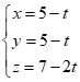
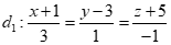
Câu 14/22
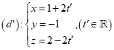
a) Đường thẳng d phương trình tham số là 
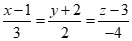
b) Đường thẳng d trùng với đường thẳng d1 có phương trình chính tắc 
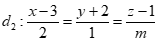
c) Đường thẳng d2 đi qua điểm A( 2;0;1) và song song với d có phương trình chính tắc là 
vuông góc với đường thẳng d.Lời giải
Bạn cần đăng ký gói VIP ( giá chỉ từ 250K ) để làm bài, xem đáp án và lời giải chi tiết không giới hạn.
Câu 15/22
a) Gọi là góc giữa đường thẳng
và trục tọa độ Ox. Khi đó, 
b) Gọi là góc giữa đường thẳng d và đường thẳng
. Số đo góc nhỏ hơn góc 600 .
c) Đường thẳng
tạo với đường thẳng d góc sao cho
. Tổng các giá trị của tham số m bằng 18.
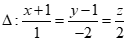
d) Gọi là đường thẳng đi qua điểm A ( 1; -1 ; 2), song song với mặt phẳng
, đồng thời tạo với đường thẳng d một góc lớn nhất. Khi đó, đi qua điểm
.
Lời giải
Bạn cần đăng ký gói VIP ( giá chỉ từ 250K ) để làm bài, xem đáp án và lời giải chi tiết không giới hạn.
Câu 16/22
a) Phương trình tham số của đường thẳng AA' là
.
b) 
c) Góc giữa hai mặt phẳng (A'BC) và (ABC) bằng 450 .

Lời giải
Bạn cần đăng ký gói VIP ( giá chỉ từ 250K ) để làm bài, xem đáp án và lời giải chi tiết không giới hạn.
Lời giải
Bạn cần đăng ký gói VIP ( giá chỉ từ 250K ) để làm bài, xem đáp án và lời giải chi tiết không giới hạn.
Lời giải
Bạn cần đăng ký gói VIP ( giá chỉ từ 250K ) để làm bài, xem đáp án và lời giải chi tiết không giới hạn.
Lời giải
Bạn cần đăng ký gói VIP ( giá chỉ từ 250K ) để làm bài, xem đáp án và lời giải chi tiết không giới hạn.
Lời giải
Bạn cần đăng ký gói VIP ( giá chỉ từ 250K ) để làm bài, xem đáp án và lời giải chi tiết không giới hạn.
Xem tiếp với tài khoản VIP
Còn 14/22 câu hỏi, đáp án và lời giải chi tiết.
Bạn cần đăng ký gói VIP ( giá chỉ từ 250K ) để làm bài, xem đáp án và lời giải chi tiết không giới hạn.
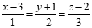
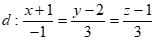
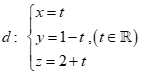
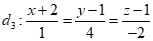
. Vectơ nào dưới đây là một vectơ chỉ phương của d?


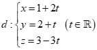
có một vectơ chỉ phương là








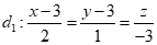
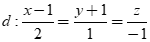
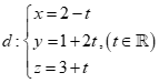
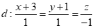
. Vectơ nào say đây không phải là một vectơ chỉ phương của d ?




nhận véc tơ
làm véc tơ chỉ phương. Tính a + b .





?




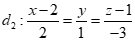
đi qua điểm nào sau sau đây?




. Điểm nào sau đây không thuộc đường thẳng d ?



. Tính góc tạo bởi (P) với trục Oy.
và
bằng
và
bằng
. Các mệnh đề sau đây đúng hay sai?
. Các khẳng định sau đúng hay sai?
. Các khẳng định sau đúng hay sai?
, C ( 1;0;0), 
và
song song với nhau. Tổng a + b bằng bao nhiêu?
. Đường thẳng đi qua điểm M cắt và vuông góc với đường thẳng d. Gọi
là một véc tơ chỉ phương của đường thẳng . Tính giá trị của biểu thức 
và
với m là một tham số thực. Có bao nhiêu giá trị thực của m để d thuộc mặt phẳng ?
, đồng thời tạo với đường thẳng
một góc 900. Một véc tơ chỉ phương của đường thẳng d là
. Tính 