Đề kiểm tra Vị trí tương đối giữa hai đường thẳng.góc và khoảng cách (có lời giải) - Đề 1
92 người thi tuần này 4.6 187 lượt thi 22 câu hỏi 45 phút
Bạn cần đăng ký gói VIP ( giá chỉ từ 199K ) để làm bài, xem đáp án và lời giải chi tiết không giới hạn.
🔥 Học sinh cũng đã học
Đề cương ôn tập giữa kì 2 Toán 10 Chân trời sáng tạo cấu trúc mới có đáp án - Chương IX: Phương pháp tọa độ trong mặt phẳng
Đề cương ôn tập giữa kì 2 Toán 10 Chân trời sáng tạo cấu trúc mới có đáp án - Tự luận
Đề cương ôn tập giữa kì 2 Toán 10 Chân trời sáng tạo cấu trúc mới có đáp án - Chương VII: Bất phương trình bậc hai một ẩn
Đề cương ôn tập giữa kì 2 Toán 10 Cánh diều cấu trúc mới có đáp án - Tự luận
Đề cương ôn tập giữa kì 2 Toán 10 Cánh diều cấu trúc mới có đáp án - Chương VII. Phương pháp tọa độ trong mặt phẳng
Đề cương ôn tập giữa kì 2 Toán 10 Cánh diều cấu trúc mới có đáp án - Chương V: Đại số tổ hợp
Đề cương ôn tập giữa kì 2 Toán 10 Kết nối tri thức cấu trúc mới có đáp án - Tự luận
Đề cương ôn tập giữa kì 2 Toán 10 Kết nối tri thức cấu trúc mới có đáp án - Chương VII. Phương pháp tọa độ trong mặt phẳng
Danh sách câu hỏi:
Câu 1
A. Trùng nhau.
B. Song song.
C. Vuông góc với nhau.
Lời giải
Chọn B
Câu 2
A. \({d_1}\, \equiv \,{d_2}\).
B. \({d_1}\,{\rm{//}}\,{d_2}\).
Lời giải
Chọn C
Ta có: \({d_1}\) và \({d_2}\) lần lượt có véctơ pháp tuyến là \(\overrightarrow {{n_1}} \, = \,\left( {2\,;\, - 1} \right),\,\overrightarrow {{n_2}} \, = \,\left( {1\,;\,2} \right)\,\).
Mà \(\overrightarrow {{n_1}} \,.\,\overrightarrow {{n_2}} \, = \,2.1\, + \,\left( { - 1} \right).2\, = \,0\,\, \Rightarrow \,\overrightarrow {{n_1}} \, \bot \,\overrightarrow {{n_2}} \,\) \( \Rightarrow {d_1}\) và \({d_2}\) vuông góc.
Câu 3
Lời giải
Chọn B
Gọi \[M\] là giao điểm của 3 đường thẳng \[{d_1};{d_2}{\rm{ }}\]và đường thẳng chứa trục hoành.
\[M \in {d_2} \Rightarrow M\left( { - 1 + t\,;\,3 + 3t} \right),M \in Ox \Rightarrow 3 + 3t = 0 \Leftrightarrow t = --1\].
Suy ra \[M\left( { - 2;0} \right)\].
\(M \in {d_1}\)\[ \Rightarrow a\left( { - 2} \right) + 3.0--4 = 0{\rm{ }} \Leftrightarrow a = --2\].
Vậy \(a = - 2\) là giá trị cần tìm.
Câu 4
A. \[x + 4y + 24 = 0\].
B. \[x - 4y - 24 = 0\].
Lời giải
Chọn B
Tọa độ giao điểm của \({d_1}\) và \({d_2}\) là nghiệm của hệ \(\left\{ \begin{array}{l}2x--5y + 3 = 0\\x - 3y--7 = 0\end{array} \right. \Leftrightarrow \left\{ \begin{array}{l}x = - 44\\y = - 17\end{array} \right.\).
Vì \[{d_1}\], \[{d_2}\] và \[d\] đồng quy nên đường thẳng \(d\) đi qua điểm \(A\left( { - 44;{\rm{ }} - 17} \right)\)
\[\Delta \] có một vectơ pháp tuyến \[\overrightarrow {{n_\Delta }} = \left( {4;\,1} \right)\] nên có một vectơ chỉ phương \[\overrightarrow {{u_\Delta }} = \left( {1; - 4} \right).\]
Vì \(d \bot \Delta \) nên \[d\] có một vectơ pháp tuyến \[\overrightarrow {{n_d}} = \left( {1; - 4} \right).\]
Phương trình đường thẳng \(d\) là: \(1\left( {x + 44} \right) - 4\left( {y + 17} \right) = 0\)\( \Leftrightarrow x - 4y - 24 = 0.\)
Lời giải
Bạn cần đăng ký gói VIP ( giá chỉ từ 199K ) để làm bài, xem đáp án và lời giải chi tiết không giới hạn.
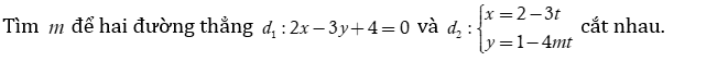
Câu 7
A. \(x - 9y - 14 = 0\); \(3x - 5y - 6 = 0\).
B. \(9x - 5y - 6 = 0\); \(9x - y + 14 = 0\).
Lời giải
Bạn cần đăng ký gói VIP ( giá chỉ từ 199K ) để làm bài, xem đáp án và lời giải chi tiết không giới hạn.
Lời giải
Bạn cần đăng ký gói VIP ( giá chỉ từ 199K ) để làm bài, xem đáp án và lời giải chi tiết không giới hạn.
Lời giải
Bạn cần đăng ký gói VIP ( giá chỉ từ 199K ) để làm bài, xem đáp án và lời giải chi tiết không giới hạn.
Lời giải
Bạn cần đăng ký gói VIP ( giá chỉ từ 199K ) để làm bài, xem đáp án và lời giải chi tiết không giới hạn.
Câu 11
Lời giải
Bạn cần đăng ký gói VIP ( giá chỉ từ 199K ) để làm bài, xem đáp án và lời giải chi tiết không giới hạn.
Câu 12
Lời giải
Bạn cần đăng ký gói VIP ( giá chỉ từ 199K ) để làm bài, xem đáp án và lời giải chi tiết không giới hạn.
Câu 13
a) \({d_1}:x + 4y - 1 = 0\) cắt \({d_2}:2x - 3y + 5 = 0\);
b) \({m_1}:\left\{ {\begin{array}{*{20}{l}}{x = 5 + 3t}\\{y = - 5 - 4t}\end{array}} \right.\) song song \({m_2}:8x + 6y + 1 = 0\).
c) \({a_1}:\left\{ {\begin{array}{*{20}{l}}{x = 1 + t}\\{y = - 3 + 3t}\end{array}} \right.\) trùng \({a_2}:\left\{ {\begin{array}{*{20}{l}}{x = 2 + 2k}\\{y = 6k}\end{array}} \right.\) (với \(t,k\) là các tham số).
Lời giải
Bạn cần đăng ký gói VIP ( giá chỉ từ 199K ) để làm bài, xem đáp án và lời giải chi tiết không giới hạn.
Câu 14
a) \({\Delta _1}\) có vectơ pháp tuyến \({\vec n_1} = (2;1),{\Delta _2}\) có vectơ pháp tuyến \({\vec n_2} = (1; - 2)\).
b) Hai đường thẳng \({\Delta _1},{\Delta _2}\) cắt nhau.
c) \({\Delta _1},{\Delta _2}\) cắt nhau tại \(\left( { - \frac{{27}}{4}; - \frac{{21}}{4}} \right)\).
Lời giải
Bạn cần đăng ký gói VIP ( giá chỉ từ 199K ) để làm bài, xem đáp án và lời giải chi tiết không giới hạn.
Câu 15
a) \({d_1}:x + \sqrt 3 y = 0,{d_2}:x + 10 = 0\) có \(\left( {{d_1},{d_2}} \right) = 45^\circ \).
b) \({d_1}:2x + 2\sqrt 3 y + \sqrt 5 = 0,{d_2}:y - \sqrt 6 = 0\) có \(\left( {{d_1},{d_2}} \right) = 60^\circ \)
c) \({\Delta _1}:\left\{ {\begin{array}{*{20}{l}}{x = 4 + 2t}\\{y = 1 - 3t}\end{array}} \right.\) và \({\Delta _2}:3x + 2y - 14 = 0\) có \(({\Delta _1},{\Delta _2}) = 30^\circ \)
Lời giải
Bạn cần đăng ký gói VIP ( giá chỉ từ 199K ) để làm bài, xem đáp án và lời giải chi tiết không giới hạn.
Câu 16
a) \({\Delta _1}\) có vectơ chỉ phương \(\overrightarrow {{u_1}} = ( - 1; - 1)\)
b) \({\Delta _2}\) có vectơ chỉ phương \(\overrightarrow {{u_2}} = (2; - 3)\)
c) Hai đường thẳng \({\Delta _1},{\Delta _2}\) song song.
Lời giải
Bạn cần đăng ký gói VIP ( giá chỉ từ 199K ) để làm bài, xem đáp án và lời giải chi tiết không giới hạn.
Lời giải
Bạn cần đăng ký gói VIP ( giá chỉ từ 199K ) để làm bài, xem đáp án và lời giải chi tiết không giới hạn.
Lời giải
Bạn cần đăng ký gói VIP ( giá chỉ từ 199K ) để làm bài, xem đáp án và lời giải chi tiết không giới hạn.
Lời giải
Bạn cần đăng ký gói VIP ( giá chỉ từ 199K ) để làm bài, xem đáp án và lời giải chi tiết không giới hạn.
Lời giải
Bạn cần đăng ký gói VIP ( giá chỉ từ 199K ) để làm bài, xem đáp án và lời giải chi tiết không giới hạn.
Lời giải
Bạn cần đăng ký gói VIP ( giá chỉ từ 199K ) để làm bài, xem đáp án và lời giải chi tiết không giới hạn.
Lời giải
Bạn cần đăng ký gói VIP ( giá chỉ từ 199K ) để làm bài, xem đáp án và lời giải chi tiết không giới hạn.






vuông góc với nhau?













bằng:


