80+ câu trắc nghiệm Phân tích chuỗi thời gian và dự báo có đáp án - Phần 2
24 người thi tuần này 4.6 0.9 K lượt thi 25 câu hỏi 45 phút
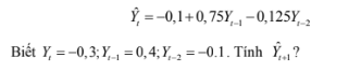
Bạn cần đăng ký gói VIP ( giá chỉ từ 250K ) để làm bài, xem đáp án và lời giải chi tiết không giới hạn.
🔥 Học sinh cũng đã học
1000+ câu trắc nghiệm Marketing và Thị trường dược phẩm có đáp án - phần 27
1000+ câu trắc nghiệm Marketing và Thị trường dược phẩm có đáp án - phần 26
1000+ câu trắc nghiệm Marketing và Thị trường dược phẩm có đáp án - phần 25
1000+ câu trắc nghiệm Marketing và Thị trường dược phẩm có đáp án - phần 24
1000+ câu trắc nghiệm Marketing và Thị trường dược phẩm có đáp án - phần 23
1000+ câu trắc nghiệm Marketing và Thị trường dược phẩm có đáp án - phần 22
1000+ câu trắc nghiệm Marketing và Thị trường dược phẩm có đáp án - phần 21
1000+ câu trắc nghiệm Marketing và Thị trường dược phẩm có đáp án - phần 20
Danh sách câu hỏi:
Lời giải
Chọn đáp án C
Câu 2
0.000
0.181
5.53
4.21
Lời giải
Chọn đáp án C
Lời giải
Chọn đáp án B
Câu 4
Phương sai sai số thay đổi
Tự tương quan
Đa cộng tuyến
Sai số không theo phân phối chuẩn
Lời giải
Chọn đáp án B
Câu 5
Có phương sai sai số thay đổi
Không có phương sai sai số thay đổi
Có tự tương quan
Không có tự tương quan
Lời giải
Chọn đáp án C
Câu 6
0.088616
0.102573
3245306.2363
Một giá trị khác
Lời giải
Bạn cần đăng ký gói VIP ( giá chỉ từ 250K ) để làm bài, xem đáp án và lời giải chi tiết không giới hạn.
Câu 7
Phương sai sai số thay đổi
Tự tương quan
Đa cộng tuyến
Sai số không theo phân phối chuẩn
Lời giải
Bạn cần đăng ký gói VIP ( giá chỉ từ 250K ) để làm bài, xem đáp án và lời giải chi tiết không giới hạn.
Câu 8
Có phương sai sai số thay đổi
Không có phương sai sai số thay đổi
Có tự tương quan
Không có tự tương quan
Lời giải
Bạn cần đăng ký gói VIP ( giá chỉ từ 250K ) để làm bài, xem đáp án và lời giải chi tiết không giới hạn.
Câu 9
Phương sai sai số thay đổi
Tự tương quan
Đa cộng tuyến
Sai số không theo phân phối chuẩn
Lời giải
Bạn cần đăng ký gói VIP ( giá chỉ từ 250K ) để làm bài, xem đáp án và lời giải chi tiết không giới hạn.
Câu 10
Có phương sai sai số thay đổi
Không có phương sai sai số thay đổi
Có tự tương quan
Không có tự tương quan
Lời giải
Bạn cần đăng ký gói VIP ( giá chỉ từ 250K ) để làm bài, xem đáp án và lời giải chi tiết không giới hạn.
Câu 11
Chuỗi Δ2Yt là chuỗi dừng.
Chuỗi Yt không có nghiệm đơn vị đơn vị.
Chuỗi ΔYt là chuỗi dừng.
Chuỗi Δ2Yt có nghiệm đơn vị.
Lời giải
Bạn cần đăng ký gói VIP ( giá chỉ từ 250K ) để làm bài, xem đáp án và lời giải chi tiết không giới hạn.
Câu 12
Một chuỗi nhiễu trắng
Một bước ngẫu nhiên
Một quá trình tự hồi quy
Một quá trình trung bình trượt.
Lời giải
Bạn cần đăng ký gói VIP ( giá chỉ từ 250K ) để làm bài, xem đáp án và lời giải chi tiết không giới hạn.
Lời giải
Bạn cần đăng ký gói VIP ( giá chỉ từ 250K ) để làm bài, xem đáp án và lời giải chi tiết không giới hạn.
Câu 14
4.1538 và 15.8462
15.8462 và 4.1538
144.9692 và 140.6154
140.6154 và 144.7692
Lời giải
Bạn cần đăng ký gói VIP ( giá chỉ từ 250K ) để làm bài, xem đáp án và lời giải chi tiết không giới hạn.
Lời giải
Bạn cần đăng ký gói VIP ( giá chỉ từ 250K ) để làm bài, xem đáp án và lời giải chi tiết không giới hạn.
Câu 16
Không.
Giá trị hiện tại của Y.
Trung bình của tất cả các giá trị trong quá khứ của Y.
Trung bình có trọng số của tất cả các giá trị trong quá khứ của Y.
Lời giải
Bạn cần đăng ký gói VIP ( giá chỉ từ 250K ) để làm bài, xem đáp án và lời giải chi tiết không giới hạn.
Câu 17
= N
= T
= N + T
Khác N x T
Lời giải
Bạn cần đăng ký gói VIP ( giá chỉ từ 250K ) để làm bài, xem đáp án và lời giải chi tiết không giới hạn.
Câu 18
Những đơn vị chéo
Những khoảng thời gian
Những đơn vị chéo và khoảng thời gian
Số quan sát
Lời giải
Bạn cần đăng ký gói VIP ( giá chỉ từ 250K ) để làm bài, xem đáp án và lời giải chi tiết không giới hạn.
Câu 19
Mô hình tác động cố định FEM
Mô hình tác động ngẫu nhiên (REM)
Cả FEM và REM
A và B đúng
Lời giải
Bạn cần đăng ký gói VIP ( giá chỉ từ 250K ) để làm bài, xem đáp án và lời giải chi tiết không giới hạn.
Câu 20
OLS với biến dummy
OLS
Biến dummy nội bộ
A và C đúng
Lời giải
Bạn cần đăng ký gói VIP ( giá chỉ từ 250K ) để làm bài, xem đáp án và lời giải chi tiết không giới hạn.
Câu 21
Sai số ngẫu nhiên tương quan với biến độc lập
Sai số ngẫu nhiên độc lập với biến độc lập
Các biến độc lập không tương quan với nhau
Các sai số ngẫu nhiên độc lập với nhau
Lời giải
Bạn cần đăng ký gói VIP ( giá chỉ từ 250K ) để làm bài, xem đáp án và lời giải chi tiết không giới hạn.
Câu 22
Sai số ngẫu nhiên tương quan với biến độc lập
Sai số ngẫu nhiên độc lập với biến độc lập
Các biến độc lập không tương quan với nhau
Các sai số ngẫu nhiên độc lập với nhau
Lời giải
Bạn cần đăng ký gói VIP ( giá chỉ từ 250K ) để làm bài, xem đáp án và lời giải chi tiết không giới hạn.
Câu 23
Time series data
Cross-sectional data
Kết hợp time series và cross-sectional data
Không thuộc các loại trên
Lời giải
Bạn cần đăng ký gói VIP ( giá chỉ từ 250K ) để làm bài, xem đáp án và lời giải chi tiết không giới hạn.
Câu 24
N lớn, T lớn
N lớn, T nhỏ
N nhỏ, T lớn
N nhỏ, T nhỏ
Lời giải
Bạn cần đăng ký gói VIP ( giá chỉ từ 250K ) để làm bài, xem đáp án và lời giải chi tiết không giới hạn.
Câu 25
Good news
Bad news
Cả good news và bad news
Giá cổ phiếu không bị tác động của tin tức
Lời giải
Bạn cần đăng ký gói VIP ( giá chỉ từ 250K ) để làm bài, xem đáp án và lời giải chi tiết không giới hạn.






