Câu hỏi ôn thi tốt nghiệp THPT môn Sinh học Hệ sinh thái có đáp án
116 người thi tuần này 4.6 224 lượt thi 183 câu hỏi 60 phút
Bạn cần đăng ký gói VIP ( giá chỉ từ 250K ) để làm bài, xem đáp án và lời giải chi tiết không giới hạn.
🔥 Học sinh cũng đã học
Đề thi thử Tốt nghiệp THPT Sinh học 2025-2026 trường THPT Chuyên Phan Bội Châu (Nghệ An) lần 2 có đáp án
Đề thi thử Tốt nghiệp THPT Sinh học 2025-2026 trường THPT Triệu Sơn 2 (Thanh Hóa) có đáp án
Đề thi thử Tốt nghiệp THPT Sinh học 2025-2026 trường THPT Chuyên Thoại Ngọc Hầu (An Giang) có đáp án
Đề thi thử Tốt nghiệp THPT Sinh học 2025-2026 Sở GD&ĐT Phú Thọ có đáp án
Đề thi thử Tốt nghiệp THPT Sinh học 2025-2026 Cụm 13 trường (Hải Phòng) lần 2 có đáp án
Đề thi thử Tốt nghiệp THPT Sinh học 2025-2026 trường THPT Lê Thánh Tông (Hồ Chí Minh) có đáp án
Đề thi thử Tốt nghiệp THPT Sinh học 2025-2026 Sở GD&ĐT Hà Nội có đáp án
Đề thi thử Tốt nghiệp THPT Sinh học 2025-2026 trường THPT Hậu Lộc 4 (Thanh Hóa) có đáp án
Danh sách câu hỏi:
Câu 1
Lời giải
Câu 2
Lời giải
B. Đúng: Do điều kiện môi trường khác biệt dẫn đến các giống nhập nội chưa thể thích nghi với môi trường => Khả năng sinh trưởng, sinh sản kém hơn so với các giống bản địa.
A, C, D. Sai.
Câu 3
Lời giải
Câu 4
Lời giải
Quần xã này đang bị suy kiệt theo chiều hướng: Rừng lim nguyên sinh -> Rừng thưa cây gỗ nhỏ ưa sáng -> Cây gỗ nhỏ và cây bụi -> Cây bụi và cỏ chiếm ưu thế -> Tràng cỏ
Ta thấy (2) = (b); (3) = (c); (5) = (a)
A. Sai - Vì kí hiệu (2) tương ứng với giai đoạn (b), kí hiệu (3) tương ứng với giai đoạn (c)
B. Sai - Do ở giai đoạn (3) cây gỗ nhỏ và cây bụi, quần xã đã giảm mức độ đa dạng các loài so với giai đoạn (1)
C. Sai. Diễn thế thứ sinh.
D. Đúng. Giai đoạn (5) - Tràng cỏ: Đây là giai đoạn cuối cùng của quá trình suy thoái, nơi mà hệ sinh thái đã mất đi phần lớn các loài cây gỗ và chỉ còn lại các loài cỏ tận dụng ưu thế. Độ đa dạng của sinh học ở giai đoạn này thường rất thấp. Khi rừng được trồng lại và bảo vệ, các loài cây gỗ sẽ tăng dần hồi phục. Quá trình này sẽ tạo điều kiện thuận lợi cho sự quay trở lại của các loài động vật, thực vật khác, từ đó tăng dần độ đa dạng sinh học của quần xã.
Lời giải
Cả 4 biện pháp đều góp phần phát triển bền vững tài nguyên thiên nhiên.
Chọn D.
Câu 6
Lời giải
Bạn cần đăng ký gói VIP ( giá chỉ từ 250K ) để làm bài, xem đáp án và lời giải chi tiết không giới hạn.
Câu 7
Lời giải
Bạn cần đăng ký gói VIP ( giá chỉ từ 250K ) để làm bài, xem đáp án và lời giải chi tiết không giới hạn.
Câu 8
Lời giải
Bạn cần đăng ký gói VIP ( giá chỉ từ 250K ) để làm bài, xem đáp án và lời giải chi tiết không giới hạn.
Lời giải
Bạn cần đăng ký gói VIP ( giá chỉ từ 250K ) để làm bài, xem đáp án và lời giải chi tiết không giới hạn.
Câu 10
Lời giải
Bạn cần đăng ký gói VIP ( giá chỉ từ 250K ) để làm bài, xem đáp án và lời giải chi tiết không giới hạn.
Lời giải
Bạn cần đăng ký gói VIP ( giá chỉ từ 250K ) để làm bài, xem đáp án và lời giải chi tiết không giới hạn.
Câu 12
Lời giải
Bạn cần đăng ký gói VIP ( giá chỉ từ 250K ) để làm bài, xem đáp án và lời giải chi tiết không giới hạn.
Câu 13
Lời giải
Bạn cần đăng ký gói VIP ( giá chỉ từ 250K ) để làm bài, xem đáp án và lời giải chi tiết không giới hạn.
Câu 14
Lời giải
Bạn cần đăng ký gói VIP ( giá chỉ từ 250K ) để làm bài, xem đáp án và lời giải chi tiết không giới hạn.
Câu 15
Lời giải
Bạn cần đăng ký gói VIP ( giá chỉ từ 250K ) để làm bài, xem đáp án và lời giải chi tiết không giới hạn.
Câu 16
Lời giải
Bạn cần đăng ký gói VIP ( giá chỉ từ 250K ) để làm bài, xem đáp án và lời giải chi tiết không giới hạn.
Câu 17
Lời giải
Bạn cần đăng ký gói VIP ( giá chỉ từ 250K ) để làm bài, xem đáp án và lời giải chi tiết không giới hạn.
Câu 18
Lời giải
Bạn cần đăng ký gói VIP ( giá chỉ từ 250K ) để làm bài, xem đáp án và lời giải chi tiết không giới hạn.
Câu 19
Lời giải
Bạn cần đăng ký gói VIP ( giá chỉ từ 250K ) để làm bài, xem đáp án và lời giải chi tiết không giới hạn.
Câu 20
Lời giải
Bạn cần đăng ký gói VIP ( giá chỉ từ 250K ) để làm bài, xem đáp án và lời giải chi tiết không giới hạn.
Câu 21
Lời giải
Bạn cần đăng ký gói VIP ( giá chỉ từ 250K ) để làm bài, xem đáp án và lời giải chi tiết không giới hạn.
Câu 22
Lời giải
Bạn cần đăng ký gói VIP ( giá chỉ từ 250K ) để làm bài, xem đáp án và lời giải chi tiết không giới hạn.
Lời giải
Bạn cần đăng ký gói VIP ( giá chỉ từ 250K ) để làm bài, xem đáp án và lời giải chi tiết không giới hạn.
Câu 24
Lời giải
Bạn cần đăng ký gói VIP ( giá chỉ từ 250K ) để làm bài, xem đáp án và lời giải chi tiết không giới hạn.
Câu 25
Lời giải
Bạn cần đăng ký gói VIP ( giá chỉ từ 250K ) để làm bài, xem đáp án và lời giải chi tiết không giới hạn.
Câu 26
Lời giải
Bạn cần đăng ký gói VIP ( giá chỉ từ 250K ) để làm bài, xem đáp án và lời giải chi tiết không giới hạn.
Câu 27
Lời giải
Bạn cần đăng ký gói VIP ( giá chỉ từ 250K ) để làm bài, xem đáp án và lời giải chi tiết không giới hạn.
Câu 28
Lời giải
Bạn cần đăng ký gói VIP ( giá chỉ từ 250K ) để làm bài, xem đáp án và lời giải chi tiết không giới hạn.
Câu 29
Lời giải
Bạn cần đăng ký gói VIP ( giá chỉ từ 250K ) để làm bài, xem đáp án và lời giải chi tiết không giới hạn.
Câu 30
Lời giải
Bạn cần đăng ký gói VIP ( giá chỉ từ 250K ) để làm bài, xem đáp án và lời giải chi tiết không giới hạn.
Câu 31
Lời giải
Bạn cần đăng ký gói VIP ( giá chỉ từ 250K ) để làm bài, xem đáp án và lời giải chi tiết không giới hạn.
Câu 32
Lời giải
Bạn cần đăng ký gói VIP ( giá chỉ từ 250K ) để làm bài, xem đáp án và lời giải chi tiết không giới hạn.
Câu 33
Lời giải
Bạn cần đăng ký gói VIP ( giá chỉ từ 250K ) để làm bài, xem đáp án và lời giải chi tiết không giới hạn.
Câu 34
Lời giải
Bạn cần đăng ký gói VIP ( giá chỉ từ 250K ) để làm bài, xem đáp án và lời giải chi tiết không giới hạn.
Câu 35
Lời giải
Bạn cần đăng ký gói VIP ( giá chỉ từ 250K ) để làm bài, xem đáp án và lời giải chi tiết không giới hạn.
Câu 36
Lời giải
Bạn cần đăng ký gói VIP ( giá chỉ từ 250K ) để làm bài, xem đáp án và lời giải chi tiết không giới hạn.
Câu 37
Lời giải
Bạn cần đăng ký gói VIP ( giá chỉ từ 250K ) để làm bài, xem đáp án và lời giải chi tiết không giới hạn.
Câu 38
Lời giải
Bạn cần đăng ký gói VIP ( giá chỉ từ 250K ) để làm bài, xem đáp án và lời giải chi tiết không giới hạn.
Câu 39
Lời giải
Bạn cần đăng ký gói VIP ( giá chỉ từ 250K ) để làm bài, xem đáp án và lời giải chi tiết không giới hạn.
Câu 40
Lời giải
Bạn cần đăng ký gói VIP ( giá chỉ từ 250K ) để làm bài, xem đáp án và lời giải chi tiết không giới hạn.
Lời giải
Bạn cần đăng ký gói VIP ( giá chỉ từ 250K ) để làm bài, xem đáp án và lời giải chi tiết không giới hạn.
Câu 42
Lời giải
Bạn cần đăng ký gói VIP ( giá chỉ từ 250K ) để làm bài, xem đáp án và lời giải chi tiết không giới hạn.
Lời giải
Bạn cần đăng ký gói VIP ( giá chỉ từ 250K ) để làm bài, xem đáp án và lời giải chi tiết không giới hạn.
Câu 44
Lời giải
Bạn cần đăng ký gói VIP ( giá chỉ từ 250K ) để làm bài, xem đáp án và lời giải chi tiết không giới hạn.
Câu 45
Lời giải
Bạn cần đăng ký gói VIP ( giá chỉ từ 250K ) để làm bài, xem đáp án và lời giải chi tiết không giới hạn.
Câu 46
Lời giải
Bạn cần đăng ký gói VIP ( giá chỉ từ 250K ) để làm bài, xem đáp án và lời giải chi tiết không giới hạn.
Câu 47
Lời giải
Bạn cần đăng ký gói VIP ( giá chỉ từ 250K ) để làm bài, xem đáp án và lời giải chi tiết không giới hạn.
Câu 48
Lời giải
Bạn cần đăng ký gói VIP ( giá chỉ từ 250K ) để làm bài, xem đáp án và lời giải chi tiết không giới hạn.
Câu 49
Lời giải
Bạn cần đăng ký gói VIP ( giá chỉ từ 250K ) để làm bài, xem đáp án và lời giải chi tiết không giới hạn.
Câu 50
Lời giải
Bạn cần đăng ký gói VIP ( giá chỉ từ 250K ) để làm bài, xem đáp án và lời giải chi tiết không giới hạn.
Câu 51
Lời giải
Bạn cần đăng ký gói VIP ( giá chỉ từ 250K ) để làm bài, xem đáp án và lời giải chi tiết không giới hạn.
Câu 52
Lời giải
Bạn cần đăng ký gói VIP ( giá chỉ từ 250K ) để làm bài, xem đáp án và lời giải chi tiết không giới hạn.
Câu 53
Lời giải
Bạn cần đăng ký gói VIP ( giá chỉ từ 250K ) để làm bài, xem đáp án và lời giải chi tiết không giới hạn.
Câu 54
Lời giải
Bạn cần đăng ký gói VIP ( giá chỉ từ 250K ) để làm bài, xem đáp án và lời giải chi tiết không giới hạn.
Câu 55
Lời giải
Bạn cần đăng ký gói VIP ( giá chỉ từ 250K ) để làm bài, xem đáp án và lời giải chi tiết không giới hạn.
Câu 56
Lời giải
Bạn cần đăng ký gói VIP ( giá chỉ từ 250K ) để làm bài, xem đáp án và lời giải chi tiết không giới hạn.
Câu 57
Lời giải
Bạn cần đăng ký gói VIP ( giá chỉ từ 250K ) để làm bài, xem đáp án và lời giải chi tiết không giới hạn.
Câu 58
Lời giải
Bạn cần đăng ký gói VIP ( giá chỉ từ 250K ) để làm bài, xem đáp án và lời giải chi tiết không giới hạn.
Câu 59
Lời giải
Bạn cần đăng ký gói VIP ( giá chỉ từ 250K ) để làm bài, xem đáp án và lời giải chi tiết không giới hạn.
Câu 60
Lời giải
Bạn cần đăng ký gói VIP ( giá chỉ từ 250K ) để làm bài, xem đáp án và lời giải chi tiết không giới hạn.
Câu 61
Lời giải
Bạn cần đăng ký gói VIP ( giá chỉ từ 250K ) để làm bài, xem đáp án và lời giải chi tiết không giới hạn.
Câu 62
Lời giải
Bạn cần đăng ký gói VIP ( giá chỉ từ 250K ) để làm bài, xem đáp án và lời giải chi tiết không giới hạn.
Câu 63
Lời giải
Bạn cần đăng ký gói VIP ( giá chỉ từ 250K ) để làm bài, xem đáp án và lời giải chi tiết không giới hạn.
Câu 64
Lời giải
Bạn cần đăng ký gói VIP ( giá chỉ từ 250K ) để làm bài, xem đáp án và lời giải chi tiết không giới hạn.
Câu 65
Lời giải
Bạn cần đăng ký gói VIP ( giá chỉ từ 250K ) để làm bài, xem đáp án và lời giải chi tiết không giới hạn.
Câu 66
Lời giải
Bạn cần đăng ký gói VIP ( giá chỉ từ 250K ) để làm bài, xem đáp án và lời giải chi tiết không giới hạn.
Câu 67
Lời giải
Bạn cần đăng ký gói VIP ( giá chỉ từ 250K ) để làm bài, xem đáp án và lời giải chi tiết không giới hạn.
Câu 68
Lời giải
Bạn cần đăng ký gói VIP ( giá chỉ từ 250K ) để làm bài, xem đáp án và lời giải chi tiết không giới hạn.
Câu 69
Lời giải
Bạn cần đăng ký gói VIP ( giá chỉ từ 250K ) để làm bài, xem đáp án và lời giải chi tiết không giới hạn.
Câu 70
Lời giải
Bạn cần đăng ký gói VIP ( giá chỉ từ 250K ) để làm bài, xem đáp án và lời giải chi tiết không giới hạn.
Câu 71
Lời giải
Bạn cần đăng ký gói VIP ( giá chỉ từ 250K ) để làm bài, xem đáp án và lời giải chi tiết không giới hạn.
Câu 72
Lời giải
Bạn cần đăng ký gói VIP ( giá chỉ từ 250K ) để làm bài, xem đáp án và lời giải chi tiết không giới hạn.
Câu 73
Lời giải
Bạn cần đăng ký gói VIP ( giá chỉ từ 250K ) để làm bài, xem đáp án và lời giải chi tiết không giới hạn.
Câu 74
Lời giải
Bạn cần đăng ký gói VIP ( giá chỉ từ 250K ) để làm bài, xem đáp án và lời giải chi tiết không giới hạn.
Câu 75
Lời giải
Bạn cần đăng ký gói VIP ( giá chỉ từ 250K ) để làm bài, xem đáp án và lời giải chi tiết không giới hạn.
Câu 76
Lời giải
Bạn cần đăng ký gói VIP ( giá chỉ từ 250K ) để làm bài, xem đáp án và lời giải chi tiết không giới hạn.
Câu 77
Lời giải
Bạn cần đăng ký gói VIP ( giá chỉ từ 250K ) để làm bài, xem đáp án và lời giải chi tiết không giới hạn.
Câu 78
Lời giải
Bạn cần đăng ký gói VIP ( giá chỉ từ 250K ) để làm bài, xem đáp án và lời giải chi tiết không giới hạn.
Câu 79
Lời giải
Bạn cần đăng ký gói VIP ( giá chỉ từ 250K ) để làm bài, xem đáp án và lời giải chi tiết không giới hạn.
Câu 80
Lời giải
Bạn cần đăng ký gói VIP ( giá chỉ từ 250K ) để làm bài, xem đáp án và lời giải chi tiết không giới hạn.
Câu 81
Lời giải
Bạn cần đăng ký gói VIP ( giá chỉ từ 250K ) để làm bài, xem đáp án và lời giải chi tiết không giới hạn.
Câu 82
Lời giải
Bạn cần đăng ký gói VIP ( giá chỉ từ 250K ) để làm bài, xem đáp án và lời giải chi tiết không giới hạn.
Câu 83
Lời giải
Bạn cần đăng ký gói VIP ( giá chỉ từ 250K ) để làm bài, xem đáp án và lời giải chi tiết không giới hạn.
Câu 84
Lời giải
Bạn cần đăng ký gói VIP ( giá chỉ từ 250K ) để làm bài, xem đáp án và lời giải chi tiết không giới hạn.
Câu 85
Lời giải
Bạn cần đăng ký gói VIP ( giá chỉ từ 250K ) để làm bài, xem đáp án và lời giải chi tiết không giới hạn.
Câu 86
Lời giải
Bạn cần đăng ký gói VIP ( giá chỉ từ 250K ) để làm bài, xem đáp án và lời giải chi tiết không giới hạn.
Câu 87
Lời giải
Bạn cần đăng ký gói VIP ( giá chỉ từ 250K ) để làm bài, xem đáp án và lời giải chi tiết không giới hạn.
Câu 88
Lời giải
Bạn cần đăng ký gói VIP ( giá chỉ từ 250K ) để làm bài, xem đáp án và lời giải chi tiết không giới hạn.
Câu 89
Lời giải
Bạn cần đăng ký gói VIP ( giá chỉ từ 250K ) để làm bài, xem đáp án và lời giải chi tiết không giới hạn.
Câu 90
Lời giải
Bạn cần đăng ký gói VIP ( giá chỉ từ 250K ) để làm bài, xem đáp án và lời giải chi tiết không giới hạn.
Câu 91
Lời giải
Bạn cần đăng ký gói VIP ( giá chỉ từ 250K ) để làm bài, xem đáp án và lời giải chi tiết không giới hạn.
Lời giải
Bạn cần đăng ký gói VIP ( giá chỉ từ 250K ) để làm bài, xem đáp án và lời giải chi tiết không giới hạn.
Lời giải
Bạn cần đăng ký gói VIP ( giá chỉ từ 250K ) để làm bài, xem đáp án và lời giải chi tiết không giới hạn.
Lời giải
Bạn cần đăng ký gói VIP ( giá chỉ từ 250K ) để làm bài, xem đáp án và lời giải chi tiết không giới hạn.
Lời giải
Bạn cần đăng ký gói VIP ( giá chỉ từ 250K ) để làm bài, xem đáp án và lời giải chi tiết không giới hạn.
Lời giải
Bạn cần đăng ký gói VIP ( giá chỉ từ 250K ) để làm bài, xem đáp án và lời giải chi tiết không giới hạn.
Lời giải
Bạn cần đăng ký gói VIP ( giá chỉ từ 250K ) để làm bài, xem đáp án và lời giải chi tiết không giới hạn.
Lời giải
Bạn cần đăng ký gói VIP ( giá chỉ từ 250K ) để làm bài, xem đáp án và lời giải chi tiết không giới hạn.
Lời giải
Bạn cần đăng ký gói VIP ( giá chỉ từ 250K ) để làm bài, xem đáp án và lời giải chi tiết không giới hạn.
Lời giải
Bạn cần đăng ký gói VIP ( giá chỉ từ 250K ) để làm bài, xem đáp án và lời giải chi tiết không giới hạn.
Lời giải
Bạn cần đăng ký gói VIP ( giá chỉ từ 250K ) để làm bài, xem đáp án và lời giải chi tiết không giới hạn.
Lời giải
Bạn cần đăng ký gói VIP ( giá chỉ từ 250K ) để làm bài, xem đáp án và lời giải chi tiết không giới hạn.
Lời giải
Bạn cần đăng ký gói VIP ( giá chỉ từ 250K ) để làm bài, xem đáp án và lời giải chi tiết không giới hạn.
Lời giải
Bạn cần đăng ký gói VIP ( giá chỉ từ 250K ) để làm bài, xem đáp án và lời giải chi tiết không giới hạn.
Lời giải
Bạn cần đăng ký gói VIP ( giá chỉ từ 250K ) để làm bài, xem đáp án và lời giải chi tiết không giới hạn.
Lời giải
Bạn cần đăng ký gói VIP ( giá chỉ từ 250K ) để làm bài, xem đáp án và lời giải chi tiết không giới hạn.
Lời giải
Bạn cần đăng ký gói VIP ( giá chỉ từ 250K ) để làm bài, xem đáp án và lời giải chi tiết không giới hạn.
Lời giải
Bạn cần đăng ký gói VIP ( giá chỉ từ 250K ) để làm bài, xem đáp án và lời giải chi tiết không giới hạn.
Lời giải
Bạn cần đăng ký gói VIP ( giá chỉ từ 250K ) để làm bài, xem đáp án và lời giải chi tiết không giới hạn.
Lời giải
Bạn cần đăng ký gói VIP ( giá chỉ từ 250K ) để làm bài, xem đáp án và lời giải chi tiết không giới hạn.
Lời giải
Bạn cần đăng ký gói VIP ( giá chỉ từ 250K ) để làm bài, xem đáp án và lời giải chi tiết không giới hạn.
Lời giải
Bạn cần đăng ký gói VIP ( giá chỉ từ 250K ) để làm bài, xem đáp án và lời giải chi tiết không giới hạn.
Lời giải
Bạn cần đăng ký gói VIP ( giá chỉ từ 250K ) để làm bài, xem đáp án và lời giải chi tiết không giới hạn.
Lời giải
Bạn cần đăng ký gói VIP ( giá chỉ từ 250K ) để làm bài, xem đáp án và lời giải chi tiết không giới hạn.
Lời giải
Bạn cần đăng ký gói VIP ( giá chỉ từ 250K ) để làm bài, xem đáp án và lời giải chi tiết không giới hạn.
Lời giải
Bạn cần đăng ký gói VIP ( giá chỉ từ 250K ) để làm bài, xem đáp án và lời giải chi tiết không giới hạn.
Lời giải
Bạn cần đăng ký gói VIP ( giá chỉ từ 250K ) để làm bài, xem đáp án và lời giải chi tiết không giới hạn.
Lời giải
Bạn cần đăng ký gói VIP ( giá chỉ từ 250K ) để làm bài, xem đáp án và lời giải chi tiết không giới hạn.
Lời giải
Bạn cần đăng ký gói VIP ( giá chỉ từ 250K ) để làm bài, xem đáp án và lời giải chi tiết không giới hạn.
Lời giải
Bạn cần đăng ký gói VIP ( giá chỉ từ 250K ) để làm bài, xem đáp án và lời giải chi tiết không giới hạn.
Lời giải
Bạn cần đăng ký gói VIP ( giá chỉ từ 250K ) để làm bài, xem đáp án và lời giải chi tiết không giới hạn.
Lời giải
Bạn cần đăng ký gói VIP ( giá chỉ từ 250K ) để làm bài, xem đáp án và lời giải chi tiết không giới hạn.
Lời giải
Bạn cần đăng ký gói VIP ( giá chỉ từ 250K ) để làm bài, xem đáp án và lời giải chi tiết không giới hạn.
Lời giải
Bạn cần đăng ký gói VIP ( giá chỉ từ 250K ) để làm bài, xem đáp án và lời giải chi tiết không giới hạn.
Lời giải
Bạn cần đăng ký gói VIP ( giá chỉ từ 250K ) để làm bài, xem đáp án và lời giải chi tiết không giới hạn.
Lời giải
Bạn cần đăng ký gói VIP ( giá chỉ từ 250K ) để làm bài, xem đáp án và lời giải chi tiết không giới hạn.
Lời giải
Bạn cần đăng ký gói VIP ( giá chỉ từ 250K ) để làm bài, xem đáp án và lời giải chi tiết không giới hạn.
Lời giải
Bạn cần đăng ký gói VIP ( giá chỉ từ 250K ) để làm bài, xem đáp án và lời giải chi tiết không giới hạn.
Lời giải
Bạn cần đăng ký gói VIP ( giá chỉ từ 250K ) để làm bài, xem đáp án và lời giải chi tiết không giới hạn.
Lời giải
Bạn cần đăng ký gói VIP ( giá chỉ từ 250K ) để làm bài, xem đáp án và lời giải chi tiết không giới hạn.
Lời giải
Bạn cần đăng ký gói VIP ( giá chỉ từ 250K ) để làm bài, xem đáp án và lời giải chi tiết không giới hạn.
Lời giải
Bạn cần đăng ký gói VIP ( giá chỉ từ 250K ) để làm bài, xem đáp án và lời giải chi tiết không giới hạn.
Lời giải
Bạn cần đăng ký gói VIP ( giá chỉ từ 250K ) để làm bài, xem đáp án và lời giải chi tiết không giới hạn.
Lời giải
Bạn cần đăng ký gói VIP ( giá chỉ từ 250K ) để làm bài, xem đáp án và lời giải chi tiết không giới hạn.
Lời giải
Bạn cần đăng ký gói VIP ( giá chỉ từ 250K ) để làm bài, xem đáp án và lời giải chi tiết không giới hạn.
Lời giải
Bạn cần đăng ký gói VIP ( giá chỉ từ 250K ) để làm bài, xem đáp án và lời giải chi tiết không giới hạn.
Lời giải
Bạn cần đăng ký gói VIP ( giá chỉ từ 250K ) để làm bài, xem đáp án và lời giải chi tiết không giới hạn.
Lời giải
Bạn cần đăng ký gói VIP ( giá chỉ từ 250K ) để làm bài, xem đáp án và lời giải chi tiết không giới hạn.
Lời giải
Bạn cần đăng ký gói VIP ( giá chỉ từ 250K ) để làm bài, xem đáp án và lời giải chi tiết không giới hạn.
Lời giải
Bạn cần đăng ký gói VIP ( giá chỉ từ 250K ) để làm bài, xem đáp án và lời giải chi tiết không giới hạn.
Lời giải
Bạn cần đăng ký gói VIP ( giá chỉ từ 250K ) để làm bài, xem đáp án và lời giải chi tiết không giới hạn.
Lời giải
Bạn cần đăng ký gói VIP ( giá chỉ từ 250K ) để làm bài, xem đáp án và lời giải chi tiết không giới hạn.
Lời giải
Bạn cần đăng ký gói VIP ( giá chỉ từ 250K ) để làm bài, xem đáp án và lời giải chi tiết không giới hạn.
Đoạn văn 1
Dùng thông tin sau để trả lời 2 câu hỏi tiếp theo.
Vườn chim độc đáo nằm trong rừng cây thưa ven hồ nước của Trường Đại học Nông - Lâm Bắc Giang (Việt Yên). Vườn chim tự nhiên có 15 loài với hơn 10 nghìn cá thể. Từ năm 2022, nhà trường thực hiện đề tài nghiên cứu khoa học “Hỗ trợ sinh sản cho các loài chim nước” bằng biện pháp làm hơn 200 tổ nhân tạo trong khu vực sinh sống của chim, trong đó có 71,6% số tổ được chim đẻ trứng, ấp nở thành con. Đến nay, nhà trường tiếp tục làm các tổ chim nhân tạo để bảo vệ quá trình nhân đàn, phát triển vườn chim.
Câu 144
Lời giải
Bạn cần đăng ký gói VIP ( giá chỉ từ 250K ) để làm bài, xem đáp án và lời giải chi tiết không giới hạn.
Câu 145
Lời giải
Bạn cần đăng ký gói VIP ( giá chỉ từ 250K ) để làm bài, xem đáp án và lời giải chi tiết không giới hạn.
Đoạn văn 2
Dùng thông tin sau để trả lời 2 câu hỏi tiếp theo: Việc khai thác đá vôi ở một số vùng miền núi đã làm xói mòn đất, phá hủy rừng và làm giảm khả năng giữ nước của đất, ảnh hưởng nghiêm trọng đến môi trường và hệ sinh thái.
Câu 146
Lời giải
Bạn cần đăng ký gói VIP ( giá chỉ từ 250K ) để làm bài, xem đáp án và lời giải chi tiết không giới hạn.
Câu 147
Lời giải
Bạn cần đăng ký gói VIP ( giá chỉ từ 250K ) để làm bài, xem đáp án và lời giải chi tiết không giới hạn.
Đoạn văn 3
Dùng thông tin sau để trả lời 2 câu tiếp theo: Rừng mưa nhiệt đới thường phân thành nhiều tầng, thực vật phân tầng theo nhu cầu ánh sáng của mỗi nhóm loài. Sự phân tầng của thực vật dẫn tới sự phân tầng của các loài động vật như chim, côn trùng sống trên tán lá, linh trưởng, sóc leo trèo trên cành cây, một số loài bò sát, giun tròn,... sống trên mặt đất hay trong các tầng đất khác nhau.
Câu 148
Lời giải
Bạn cần đăng ký gói VIP ( giá chỉ từ 250K ) để làm bài, xem đáp án và lời giải chi tiết không giới hạn.
Câu 149
Lời giải
Bạn cần đăng ký gói VIP ( giá chỉ từ 250K ) để làm bài, xem đáp án và lời giải chi tiết không giới hạn.
Đoạn văn 4
Dùng thông tin sau để trả lời 2 câu tiếp theo: Ở giai đoạn trưởng thành, tôm he (Penaeus merguiensis) thích nghi với nồng độ muối cao từ 3,2 → 3,3% nên giai đoạn này chúng sống ở biển khơi. Sang giai đoạn sau ấu trùng, chúng thích nghi với nồng độ muối thấp hơn, chỉ 1,0 → 2,5% nên chúng di chuyển vào bờ và sống trong rừng ngập mặn. Khi đạt kích thước trưởng thành chúng lại di cư ra biển.
Câu 150
Lời giải
Bạn cần đăng ký gói VIP ( giá chỉ từ 250K ) để làm bài, xem đáp án và lời giải chi tiết không giới hạn.
Câu 151
Lời giải
Bạn cần đăng ký gói VIP ( giá chỉ từ 250K ) để làm bài, xem đáp án và lời giải chi tiết không giới hạn.
Đoạn văn 5
Sử dụng dữ liệu sau để trả lời 2 câu hỏi tiếp theo: Vườn quốc gia Cúc Phương được thành lập vào năm 1962, là khu bảo tồn thiên nhiên đầu tiên của Việt Nam. Khu vực này được chọn để bảo tồn các loài động vật, thực vật quý hiếm và các hệ sinh thái đặc trưng của khu vực. Rừng Cúc Phương có diện tích khoảng 22.408 ha, bao gồm nhiều loại hình địa hình như rừng núi, thung lũng, và đồi núi đá vôi. Đây là một trong những khu vực có đa dạng sinh học cao nhất ở Việt Nam. Rừng Cúc Phương có hơn 2.000 loài thực vật, 122 loài bò sát và lưỡng cư, 135 loài thú, và hơn 300 loài chim. Ở đây có một số loài quý hiếm như voọc quần đùi trắng và cây chò chỉ nghìn năm tuổi.
Câu 152
Lời giải
Bạn cần đăng ký gói VIP ( giá chỉ từ 250K ) để làm bài, xem đáp án và lời giải chi tiết không giới hạn.
Câu 153
Lời giải
Bạn cần đăng ký gói VIP ( giá chỉ từ 250K ) để làm bài, xem đáp án và lời giải chi tiết không giới hạn.
Đoạn văn 6
Dùng thông tin sau để trả lời 2 câu hỏi tiếp theo: Rừng tự nhiên có vai trò quan trọng trong bảo vệ đất, điều hòa dòng chảy và giảm ô nhiễm nguồn nước. Tuy nhiên, nhiều khu vực rừng đầu nguồn hiện nay đang bị suy giảm do hoạt động khai thác của con người. Tại một khu vực thượng nguồn bị chặt phá, các nhà khoa học đã khoanh vùng bảo vệ để phục hồi rừng tự nhiên và nghiên cứu diễn thế sinh thái. Hình 6 mô tả sự thay đổi sinh khối thực vật (g/m²) và lượng nitrogen mất đi (g/m²) tại khu vực thí nghiệm trong 5 năm sau khi được bảo vệ. Từ kết quả thu được, các nhà nghiên cứu đánh giá mối liên hệ giữa sự phát triển thảm thực vật và khả năng hạn chế ô nhiễm nitrogen ở vùng hạ lưu, đồng thời đề xuất những giải pháp phù hợp để phục hồi và quản lý bền vững hệ sinh thái rừng.

Hình 6
Câu 154
Lời giải
Bạn cần đăng ký gói VIP ( giá chỉ từ 250K ) để làm bài, xem đáp án và lời giải chi tiết không giới hạn.
Câu 155
Lời giải
Bạn cần đăng ký gói VIP ( giá chỉ từ 250K ) để làm bài, xem đáp án và lời giải chi tiết không giới hạn.
Đoạn văn 7
Dùng thông tin sau để trả lời 2 câu hỏi tiếp theo: Trong đợt mưa lớn ở miền Bắc của Việt Nam xảy ra vào đầu tháng 9 năm 2024 đã gây ra sạt lỡ đất, lũ quét, xói mòn ở một số khu vực đồi núi, gây thiệt hại về người và tài sản, hoa màu.
Câu 156
Lời giải
Bạn cần đăng ký gói VIP ( giá chỉ từ 250K ) để làm bài, xem đáp án và lời giải chi tiết không giới hạn.
Câu 157
Lời giải
Bạn cần đăng ký gói VIP ( giá chỉ từ 250K ) để làm bài, xem đáp án và lời giải chi tiết không giới hạn.
Đoạn văn 8
Sử dụng dữ kiện sau để trả lời cho 2 câu hỏi tiếp theo: Năm 2024, trận lũ quét xảy ra tại làng Nủ, huyện Bảo Yên, tỉnh Lào Cai đã gây thiệt hại nặng nề cho môi trường tự nhiên và đời sống người dân. Mưa lớn kéo dài khiến đất đá trôi sạt, cây rừng bị cuốn trôi, hệ sinh thái rừng và đất đai xung quanh bị phá vỡ. Việc phục hồi và bảo vệ môi trường sau lũ là vấn đề cấp thiết nhằm phục hồi hệ sinh thái ở vùng này.
Câu 158
Lời giải
Bạn cần đăng ký gói VIP ( giá chỉ từ 250K ) để làm bài, xem đáp án và lời giải chi tiết không giới hạn.
Câu 159
Lời giải
Bạn cần đăng ký gói VIP ( giá chỉ từ 250K ) để làm bài, xem đáp án và lời giải chi tiết không giới hạn.
Đoạn văn 9
Sử dụng dữ kiện sau để trả lời 2 câu hỏi tiếp theo: Một nhóm nghiên cứu khảo sát mô hình canh tác “lúa – cá” tại một huyện ven sông ở tỉnh An Giang. Dữ liệu thu thập trong 4 năm, tương ứng với lượng thuốc trừ sâu sử dụng thì sản lượng cá rô phi nuôi trong ruộng lúa và mật độ rầy nâu biến động với kết quả thể hiện ở Bảng 2.
Bảng 2
|
Năm |
Thuốc trừ sâu (lít/ha) |
Mật độ rầy nâu (con/m²) |
Sản lượng cá (kg/ha) |
|
2021 |
5 |
30 |
220 |
|
2022 |
8 |
45 |
160 |
|
2023 |
10 |
70 |
90 |
|
2024 |
6 |
35 |
200 |
Câu 160
Lời giải
Bạn cần đăng ký gói VIP ( giá chỉ từ 250K ) để làm bài, xem đáp án và lời giải chi tiết không giới hạn.
Câu 161
Lời giải
Bạn cần đăng ký gói VIP ( giá chỉ từ 250K ) để làm bài, xem đáp án và lời giải chi tiết không giới hạn.
Đoạn văn 10
Dùng thông tin sau để trả lời 2 câu tiếp theo: Sơ đồ dưới đây mô tả dòng năng lượng và chu trình vật chất trong hệ sinh thái.

Câu 162
Lời giải
Bạn cần đăng ký gói VIP ( giá chỉ từ 250K ) để làm bài, xem đáp án và lời giải chi tiết không giới hạn.
Câu 163
Lời giải
Bạn cần đăng ký gói VIP ( giá chỉ từ 250K ) để làm bài, xem đáp án và lời giải chi tiết không giới hạn.
Đoạn văn 11
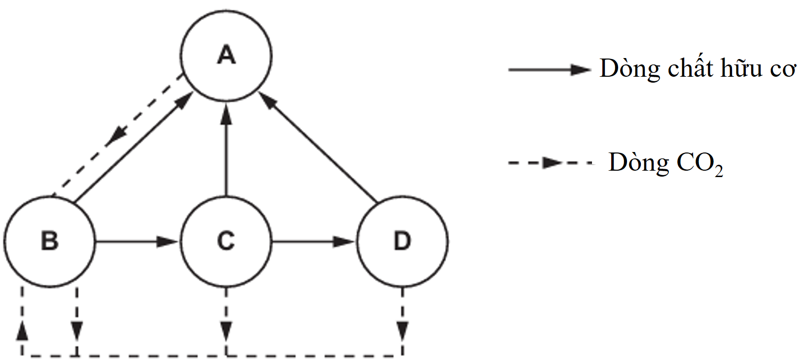
Dùng thông tin sau để trả lời 2 câu tiếp theo: Hình 8 mô tả chu trình vật chất trong một hệ sinh thái trên cạn, trong đó A, B, C, D là các loài đại diện cho các mắc xích của lưới thức ăn.

Câu 164
Lời giải
Bạn cần đăng ký gói VIP ( giá chỉ từ 250K ) để làm bài, xem đáp án và lời giải chi tiết không giới hạn.
Câu 165
Lời giải
Bạn cần đăng ký gói VIP ( giá chỉ từ 250K ) để làm bài, xem đáp án và lời giải chi tiết không giới hạn.
Đoạn văn 12
Hình 5 mô tả một tháp sinh thái, sử dụng dữ liệu để trả lời 2 câu tiếp theo.

Lời giải
Bạn cần đăng ký gói VIP ( giá chỉ từ 250K ) để làm bài, xem đáp án và lời giải chi tiết không giới hạn.
Câu 167
Lời giải
Bạn cần đăng ký gói VIP ( giá chỉ từ 250K ) để làm bài, xem đáp án và lời giải chi tiết không giới hạn.
Đoạn văn 13
Sử dụng dữ kiện sau để trả lời 2 câu tiếp theo: Trong rừng Amazon, cây Inga (Inga edulis), một loài cây họ đậu, sống cộng sinh với vi khuẩn Rhizobium giúp cố định đạm. Trên cây có các loài kiến sinh sống, vừa được cây cung cấp mật, vừa bảo vệ cây khỏi sâu ăn lá. Quả của cây là thức ăn cho khỉ và chim, góp phần phát tán hạt. Báo đốm săn bắt các loài khỉ nhỏ, tham gia vào chuỗi thức ăn.
Câu 168
Lời giải
Bạn cần đăng ký gói VIP ( giá chỉ từ 250K ) để làm bài, xem đáp án và lời giải chi tiết không giới hạn.
Câu 169
Lời giải
Bạn cần đăng ký gói VIP ( giá chỉ từ 250K ) để làm bài, xem đáp án và lời giải chi tiết không giới hạn.
Đoạn văn 14
Dùng thông tin sau đây để trả lời 2 câu hỏi tiếp theo: Hình 7 mô tả một chuỗi thức ăn của hệ sinh thái biển.

Câu 170
Lời giải
Bạn cần đăng ký gói VIP ( giá chỉ từ 250K ) để làm bài, xem đáp án và lời giải chi tiết không giới hạn.
Lời giải
Bạn cần đăng ký gói VIP ( giá chỉ từ 250K ) để làm bài, xem đáp án và lời giải chi tiết không giới hạn.
Đoạn văn 15
Dùng thông tin sau để trả lời 2 câu hỏi tiếp theo: Hệ sinh thái rừng ngập mặn Cần Giờ bao gồm nhiều mắt xích quan trọng trong lưới thức ăn. Thực vật ngập mặn như mắm, đước, bần đóng vai trò là sinh vật sản xuất, cung cấp thức ăn trực tiếp cho một số loài động vật ăn thực vật như cua, ốc và côn trùng. Các loài này lại trở thành nguồn thức ăn cho các động vật ăn thịt bậc thấp như cá, chim ăn côn trùng và một số loài lưỡng cư. Động vật ăn thịt bậc cao trong hệ sinh thái này bao gồm cò, rái cá và cá sấu, đóng vai trò quan trọng trong việc duy trì sự cân bằng quần thể sinh vật.
Câu 172
Lời giải
Bạn cần đăng ký gói VIP ( giá chỉ từ 250K ) để làm bài, xem đáp án và lời giải chi tiết không giới hạn.
Câu 173
Lời giải
Bạn cần đăng ký gói VIP ( giá chỉ từ 250K ) để làm bài, xem đáp án và lời giải chi tiết không giới hạn.
Đoạn văn 16
Dùng thông tin sau để trả lời 2 câu hỏi tiếp theo: Quá trình diễn thế sinh thái xảy ra ở một khu rừng bị cháy, cây cối và động vật ban đầu bị tiêu diệt hoàn toàn, tạo ra một khu đất trống. Qua thời gian, các loài cỏ và thực vật nhỏ xuất hiện đầu tiên, tiếp theo là các bụi cây, và cuối cùng là các loài cây gỗ lớn.
Câu 174
Lời giải
Bạn cần đăng ký gói VIP ( giá chỉ từ 250K ) để làm bài, xem đáp án và lời giải chi tiết không giới hạn.
Câu 175
Lời giải
Bạn cần đăng ký gói VIP ( giá chỉ từ 250K ) để làm bài, xem đáp án và lời giải chi tiết không giới hạn.
Đoạn văn 17
Dùng thông tin sau để trả lời 2 câu hỏi tiếp theo: Để tăng hiệu quả cải tạo đất ngập mặn ở miền Bắc Việt Nam, các loài trang (Kandelia obovota) hoặc bần (Sonneratia spp.) được lựa chọn là loài đầu tiên do khả năng thích nghi với nền đất yếu, sinh trưởng nhanh, tỉ lệ sống cao, giữ phù sa tốt. Sau khi nền đất được nâng cao, các loài đước (Rhizophora apiculata), vẹt (Bruguiera spp.) thích nghi hơn được trồng bổ sung.
Câu 176
Lời giải
Bạn cần đăng ký gói VIP ( giá chỉ từ 250K ) để làm bài, xem đáp án và lời giải chi tiết không giới hạn.
Câu 177
Lời giải
Bạn cần đăng ký gói VIP ( giá chỉ từ 250K ) để làm bài, xem đáp án và lời giải chi tiết không giới hạn.
Đoạn văn 18
Sử dụng thông tin sau để trả lời 2 câu hỏi tiếp theo: Sau các hoạt động khai thác khoáng sản ở mỏ sắt Thạch Khê (Quảng Bình) vùng đất ở khu vực này bị xói mòn nghiêm trọng, mất chất dinh dưỡng và ô nhiễm kim loại nặng. Các nhà khoa học và tổ chức môi trường đã sử dụng cây cỏ Vetiver (Chrysopogon zizanioides) để phục hồi hệ sinh thái vùng này. Cây cỏ Vetiver có bộ rễ bộ rễ sâu và dày, có khả năng giữ đất, chống xói mòn, đồng thời hấp thụ kim loại nặng và các chất ô nhiễm trong đất. Sau vài năm, đa dạng sinh học dần phục hồi, bắt đầu xuất hiện trở lại các loài côn trùng, chim và cây dại bản địa.
Câu 178
Lời giải
Bạn cần đăng ký gói VIP ( giá chỉ từ 250K ) để làm bài, xem đáp án và lời giải chi tiết không giới hạn.
Câu 179
Lời giải
Bạn cần đăng ký gói VIP ( giá chỉ từ 250K ) để làm bài, xem đáp án và lời giải chi tiết không giới hạn.
Đoạn văn 19
Dùng thông tin sau để trả lời 2 câu tiếp theo: Hình 9 mô tả ba giai đoạn diễn thế tự nhiên của một cồn cát.

Hình 9
Lời giải
Bạn cần đăng ký gói VIP ( giá chỉ từ 250K ) để làm bài, xem đáp án và lời giải chi tiết không giới hạn.
Câu 181
Lời giải
Bạn cần đăng ký gói VIP ( giá chỉ từ 250K ) để làm bài, xem đáp án và lời giải chi tiết không giới hạn.
Đoạn văn 20
Dùng thông tin sau để trả lời 2 câu hỏi tiếp theo:
Hình 8 mô tả sơ đồ khái quát của chu trình sinh - địa – hóa.
Câu 182
Lời giải
Bạn cần đăng ký gói VIP ( giá chỉ từ 250K ) để làm bài, xem đáp án và lời giải chi tiết không giới hạn.
Câu 183
Lời giải
Bạn cần đăng ký gói VIP ( giá chỉ từ 250K ) để làm bài, xem đáp án và lời giải chi tiết không giới hạn.

































































