Bộ 45 đề thi Đánh giá năng lực ĐHQG Hà Nội form 2025 có đáp án (Đề 9)
99 người thi tuần này 4.6 251 lượt thi 235 câu hỏi 120 phút
Bạn cần đăng ký gói VIP ( giá chỉ từ 199K ) để làm bài, xem đáp án và lời giải chi tiết không giới hạn.
🔥 Học sinh cũng đã học
Bộ 45 đề thi Đánh giá năng lực ĐHQG Hà Nội form 2025 có đáp án (Đề 45)
Bộ 45 đề thi Đánh giá năng lực ĐHQG Hà Nội form 2025 có đáp án (Đề 44)
Bộ 45 đề thi Đánh giá năng lực ĐHQG Hà Nội form 2025 có đáp án (Đề 43)
Bộ 45 đề thi Đánh giá năng lực ĐHQG Hà Nội form 2025 có đáp án (Đề 42)
Bộ 45 đề thi Đánh giá năng lực ĐHQG Hà Nội form 2025 có đáp án (Đề 41)
Bộ 45 đề thi Đánh giá năng lực ĐHQG Hà Nội form 2025 có đáp án (Đề 40)
Bộ 45 đề thi Đánh giá năng lực ĐHQG Hà Nội form 2025 có đáp án (Đề 39)
Bộ 45 đề thi Đánh giá năng lực ĐHQG Hà Nội form 2025 có đáp án (Đề 38)
Danh sách câu hỏi:
Lời giải
Đáp án đúng là "255"
Phương pháp giải
Thay các giá trị \({v_0},\,\,\theta \) và \(g\) vào hàm số \(R = \frac{{v_0^2{\rm{sin}}2\theta }}{g}\) để tính giá trị \(R\)
Lời giải
Tầm xa \(R\) của vật được ném xiên là:
\(R = \frac{{v_0^2{\rm{sin}}2\theta }}{g} = \frac{{{{50}^2}.{\rm{sin}}\left( {{{2.45}^ \circ }} \right)}}{{9.8}} = \frac{{2500.1}}{{9,8}} \approx 255,1{\rm{\;m}}\)
Vậy tầm xa của vật được ném xiên là \(R \approx 255{\rm{\;m}}\).
Câu 2
Lời giải
Đáp án đúng là A
Phương pháp giải
\(f\left( x \right) \le 0\forall x \in \mathbb{R} \Leftrightarrow \left\{ {\begin{array}{*{20}{l}}{a < 0}\\{{\rm{\Delta '}} \le 0}\end{array}} \right.\)
Lời giải
Ta có: \(a = m - 1,b = 2\left( {m - 1} \right),b' = m - 1,c = m - 3\).
Theo giả thiết: \(\left( {m - 1} \right){x^2} + 2\left( {m - 1} \right)x + m - 3 \le 0,\forall x \in \mathbb{R}\,\,\left( {\rm{*}} \right)\)
Trường hợp 1: \(a = m - 1 = 0 \Rightarrow m = 1\).
Thay vào \(\left( {\rm{*}} \right):1 - 3 \le 0,\forall x \in \mathbb{R}\) (đúng).
Suy ra \(m = 1\) thỏa mãn.
Trường hợp 2: \(a = m - 1 \ne 0 \Rightarrow m \ne 1\).
\(\left( {\rm{*}} \right) \Leftrightarrow \left\{ {\begin{array}{*{20}{l}}{a < 0}\\{{\rm{\Delta '}} \le 0}\end{array} \Leftrightarrow \left\{ {\begin{array}{*{20}{l}}{m - 1 < 0}\\{{{(m - 1)}^2} - \left( {m - 1} \right)\left( {m - 3} \right) \le 0}\end{array}} \right.} \right.\)
\( \Leftrightarrow \left\{ {\begin{array}{*{20}{l}}{m < 1}\\{{m^2} - 2m + 1 - \left( {{m^2} - 4m + 3} \right) \le 0}\end{array}} \right.\)
\( \Leftrightarrow \left\{ {\begin{array}{*{20}{l}}{m < 1}\\{2m - 2 \le 0}\end{array} \Leftrightarrow \left\{ {\begin{array}{*{20}{l}}{m < 1}\\{m \le 1}\end{array} \Leftrightarrow m < 1} \right.} \right.\).
Hợp hai kết quả trên, ta được \(m \le 1\) thỏa mãn đề bài.
Lời giải
Đáp án đúng là "4350"
Phương pháp giải
Tính tổng số tiền lương mà người nhân viên nhận được cho đến khi đạt mức tối đa là 400 triệu đồng/năm theo công thức tính tổng của cấp số cộng: \(S = \frac{{n\left( {{u_1} + {u_n}} \right)}}{2}\).
Tổng số tiền lương người đó nhận được trong 15 năm bằng tổng số tiền người đó nhận được cho đến khi đạt mức tối đa là 400 triệu đồng và số tiền của những tháng đạt 400 triệu đồng.
Lời giải
Gọi \({u_n}\) là số lương năm thứ \(n\) của nhân viên khi làm ở công ty. Vì mỗi năm nhân viên được tăng thêm 25 triệu đồng nên ta có \(\left( {{u_n}} \right)\) là một cấp số cộng với \({u_1} = 125\) và công sai \(d = 25\).
Để lương nhân viên đạt 400 đồng/năm ta có
\({u_n} = 400 \Leftrightarrow {u_1} + \left( {n - 1} \right)d = 400\)
\( \Leftrightarrow 125 + 25\left( {n - 1} \right) = 400 \Leftrightarrow n = 12\)
Sau 12 năm thì nhân viên đạt mức lương tối đa.
Vậy tổng số lương mà người đó nhận được trong 15 năm đầu là:
\({S_{15}} = \frac{{12.\left( {125 + 400} \right)}}{2} + 400.3 = 4350\)
Vậy tổng số tiền mà nhân viên đó nhận được trong 15 năm đầu được làm tròn đến hàng đơn vị là 4350 (triệu đồng).
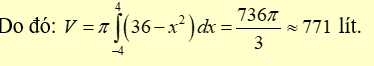
Lời giải
Đáp án đúng là "771"
Phương pháp giải
Ứng dụng hình học của tích phân tích thể tích khối tròn xoay.
Lời giải
Thể tích cần tìm là thể tích của khối tròn xoay khi quay hình phẳng \(\left( H \right)\) giới hạn bởi đồ thị hàm số \(f\left( x \right) = \sqrt {36 - {x^2}} \), trục hoành và các đường thẳng \(x = - 4,x = 4\) quanh trục hoành.

Lời giải
Đáp án đúng là "-6"
Phương pháp giải
Sử dụng tính chất của cấp số nhân: \({x_1}{x_3} = x_2^2\).
Lời giải
Giả sử phương trình đã cho có ba nghiệm phân biệt \({x_1},{x_2},{x_3}\) lập thành một cấp số nhân.
Ta có
\({x^3} - 7{x^2} + 2\left( {{m^2} + 6m} \right)x - 8 = \left( {x - {x_1}} \right)\left( {x - {x_2}} \right)\left( {x - {x_3}} \right),\forall m \in \mathbb{R}\)
\( \Rightarrow {x_1}{x_2}{x_3} = 8\)
Theo tính chất của cấp số nhân \({x_1}{x_3} = x_2^2\).
Suy ra \(x_2^3 = 8 \Rightarrow {x_2} = 2\).
Thay nghiệm \(x = {x_2} = 2\) vào phương trình đã cho, ta có
\(8 - 28 + 2\left( {{m^2} + 6m} \right).2 - 8 = 0 \Leftrightarrow 4{m^2} + 24m - 28 = 0 \Leftrightarrow \left\{ {\begin{array}{*{20}{l}}{m = 1}\\{m = - 7}\end{array}} \right.\)
Thử lại với các giá trị \(m\) tìm được
Với \(m = 1\), ta có phương trình: \({x^3} - 7{x^2} + 14x - 8 = 0 \Leftrightarrow \left[ {\begin{array}{*{20}{l}}{x = 4}\\{x = 2{\rm{\;}}\left( {{\rm{TM}}} \right)}\\{x = 1}\end{array}} \right.\).
Với \(m = - 7\), ta có phương trình \({x^3} - 7{x^2} + 14x - 8 = 0 \Leftrightarrow \left[ {\begin{array}{*{20}{l}}{x = 4}\\{x = 2{\rm{\;}}\left( {{\rm{TM}}} \right)}\\{x = 1}\end{array}} \right.\).
Suy ra \(m = 1;m = - 7\) là các giá trị cần tìm.
Tổng các giá trị của \(m\) là -6.
Lời giải
Bạn cần đăng ký gói VIP ( giá chỉ từ 199K ) để làm bài, xem đáp án và lời giải chi tiết không giới hạn.
Câu 7
Lời giải
Bạn cần đăng ký gói VIP ( giá chỉ từ 199K ) để làm bài, xem đáp án và lời giải chi tiết không giới hạn.
Câu 8
Lời giải
Bạn cần đăng ký gói VIP ( giá chỉ từ 199K ) để làm bài, xem đáp án và lời giải chi tiết không giới hạn.
Lời giải
Bạn cần đăng ký gói VIP ( giá chỉ từ 199K ) để làm bài, xem đáp án và lời giải chi tiết không giới hạn.
Câu 10
Lời giải
Bạn cần đăng ký gói VIP ( giá chỉ từ 199K ) để làm bài, xem đáp án và lời giải chi tiết không giới hạn.
Câu 11
Khi ôn thi học sinh giỏi môn Toán, bạn Lan đã tự thống kê lại thời gian giải một bài tập nâng cao ở bảng sau:
|
Thời gian (phút) |
Số lần |
4 |
6 |
8 |
4 |
3 |
Độ lệch chuẩn của mẫu số liệu ghép nhóm là 2ab. Tính a-b
Đáp án: __
Lời giải
Bạn cần đăng ký gói VIP ( giá chỉ từ 199K ) để làm bài, xem đáp án và lời giải chi tiết không giới hạn.
Câu 12
Lời giải
Bạn cần đăng ký gói VIP ( giá chỉ từ 199K ) để làm bài, xem đáp án và lời giải chi tiết không giới hạn.
Lời giải
Bạn cần đăng ký gói VIP ( giá chỉ từ 199K ) để làm bài, xem đáp án và lời giải chi tiết không giới hạn.
Câu 14
C. \(\left( {30;30} \right)\).
Lời giải
Bạn cần đăng ký gói VIP ( giá chỉ từ 199K ) để làm bài, xem đáp án và lời giải chi tiết không giới hạn.
Câu 15
Lời giải
Bạn cần đăng ký gói VIP ( giá chỉ từ 199K ) để làm bài, xem đáp án và lời giải chi tiết không giới hạn.
Câu 16
Lời giải
Bạn cần đăng ký gói VIP ( giá chỉ từ 199K ) để làm bài, xem đáp án và lời giải chi tiết không giới hạn.
Lời giải
Bạn cần đăng ký gói VIP ( giá chỉ từ 199K ) để làm bài, xem đáp án và lời giải chi tiết không giới hạn.
Câu 18
Lời giải
Bạn cần đăng ký gói VIP ( giá chỉ từ 199K ) để làm bài, xem đáp án và lời giải chi tiết không giới hạn.
Lời giải
Bạn cần đăng ký gói VIP ( giá chỉ từ 199K ) để làm bài, xem đáp án và lời giải chi tiết không giới hạn.
Câu 20
Lời giải
Bạn cần đăng ký gói VIP ( giá chỉ từ 199K ) để làm bài, xem đáp án và lời giải chi tiết không giới hạn.
Lời giải
Bạn cần đăng ký gói VIP ( giá chỉ từ 199K ) để làm bài, xem đáp án và lời giải chi tiết không giới hạn.
Lời giải
Bạn cần đăng ký gói VIP ( giá chỉ từ 199K ) để làm bài, xem đáp án và lời giải chi tiết không giới hạn.
Câu 23
Lời giải
Bạn cần đăng ký gói VIP ( giá chỉ từ 199K ) để làm bài, xem đáp án và lời giải chi tiết không giới hạn.
Lời giải
Bạn cần đăng ký gói VIP ( giá chỉ từ 199K ) để làm bài, xem đáp án và lời giải chi tiết không giới hạn.
Lời giải
Bạn cần đăng ký gói VIP ( giá chỉ từ 199K ) để làm bài, xem đáp án và lời giải chi tiết không giới hạn.
Lời giải
Bạn cần đăng ký gói VIP ( giá chỉ từ 199K ) để làm bài, xem đáp án và lời giải chi tiết không giới hạn.
Câu 27
Lời giải
Bạn cần đăng ký gói VIP ( giá chỉ từ 199K ) để làm bài, xem đáp án và lời giải chi tiết không giới hạn.
Lời giải
Bạn cần đăng ký gói VIP ( giá chỉ từ 199K ) để làm bài, xem đáp án và lời giải chi tiết không giới hạn.
Câu 29
Lời giải
Bạn cần đăng ký gói VIP ( giá chỉ từ 199K ) để làm bài, xem đáp án và lời giải chi tiết không giới hạn.
Lời giải
Bạn cần đăng ký gói VIP ( giá chỉ từ 199K ) để làm bài, xem đáp án và lời giải chi tiết không giới hạn.
Câu 31
Lời giải
Bạn cần đăng ký gói VIP ( giá chỉ từ 199K ) để làm bài, xem đáp án và lời giải chi tiết không giới hạn.
Câu 32
Lời giải
Bạn cần đăng ký gói VIP ( giá chỉ từ 199K ) để làm bài, xem đáp án và lời giải chi tiết không giới hạn.
Lời giải
Bạn cần đăng ký gói VIP ( giá chỉ từ 199K ) để làm bài, xem đáp án và lời giải chi tiết không giới hạn.
Câu 34
Lời giải
Bạn cần đăng ký gói VIP ( giá chỉ từ 199K ) để làm bài, xem đáp án và lời giải chi tiết không giới hạn.
Lời giải
Bạn cần đăng ký gói VIP ( giá chỉ từ 199K ) để làm bài, xem đáp án và lời giải chi tiết không giới hạn.
Câu 36
Lời giải
Bạn cần đăng ký gói VIP ( giá chỉ từ 199K ) để làm bài, xem đáp án và lời giải chi tiết không giới hạn.
Lời giải
Bạn cần đăng ký gói VIP ( giá chỉ từ 199K ) để làm bài, xem đáp án và lời giải chi tiết không giới hạn.
Lời giải
Bạn cần đăng ký gói VIP ( giá chỉ từ 199K ) để làm bài, xem đáp án và lời giải chi tiết không giới hạn.
Lời giải
Bạn cần đăng ký gói VIP ( giá chỉ từ 199K ) để làm bài, xem đáp án và lời giải chi tiết không giới hạn.
Câu 40
Lời giải
Bạn cần đăng ký gói VIP ( giá chỉ từ 199K ) để làm bài, xem đáp án và lời giải chi tiết không giới hạn.
Lời giải
Bạn cần đăng ký gói VIP ( giá chỉ từ 199K ) để làm bài, xem đáp án và lời giải chi tiết không giới hạn.
Lời giải
Bạn cần đăng ký gói VIP ( giá chỉ từ 199K ) để làm bài, xem đáp án và lời giải chi tiết không giới hạn.
Câu 43
Lời giải
Bạn cần đăng ký gói VIP ( giá chỉ từ 199K ) để làm bài, xem đáp án và lời giải chi tiết không giới hạn.
Lời giải
Bạn cần đăng ký gói VIP ( giá chỉ từ 199K ) để làm bài, xem đáp án và lời giải chi tiết không giới hạn.
Lời giải
Bạn cần đăng ký gói VIP ( giá chỉ từ 199K ) để làm bài, xem đáp án và lời giải chi tiết không giới hạn.
Câu 46
Lời giải
Bạn cần đăng ký gói VIP ( giá chỉ từ 199K ) để làm bài, xem đáp án và lời giải chi tiết không giới hạn.
Lời giải
Bạn cần đăng ký gói VIP ( giá chỉ từ 199K ) để làm bài, xem đáp án và lời giải chi tiết không giới hạn.
Câu 48
Lời giải
Bạn cần đăng ký gói VIP ( giá chỉ từ 199K ) để làm bài, xem đáp án và lời giải chi tiết không giới hạn.
Câu 49
Lời giải
Bạn cần đăng ký gói VIP ( giá chỉ từ 199K ) để làm bài, xem đáp án và lời giải chi tiết không giới hạn.
Câu 50
Lời giải
Bạn cần đăng ký gói VIP ( giá chỉ từ 199K ) để làm bài, xem đáp án và lời giải chi tiết không giới hạn.
Câu 51
Lời giải
Bạn cần đăng ký gói VIP ( giá chỉ từ 199K ) để làm bài, xem đáp án và lời giải chi tiết không giới hạn.
Câu 52
Lời giải
Bạn cần đăng ký gói VIP ( giá chỉ từ 199K ) để làm bài, xem đáp án và lời giải chi tiết không giới hạn.
Câu 53
Lời giải
Bạn cần đăng ký gói VIP ( giá chỉ từ 199K ) để làm bài, xem đáp án và lời giải chi tiết không giới hạn.
Câu 54
Lời giải
Bạn cần đăng ký gói VIP ( giá chỉ từ 199K ) để làm bài, xem đáp án và lời giải chi tiết không giới hạn.
Câu 55
B. xuất hiện / chín muồi
Lời giải
Bạn cần đăng ký gói VIP ( giá chỉ từ 199K ) để làm bài, xem đáp án và lời giải chi tiết không giới hạn.
Câu 56
Lời giải
Bạn cần đăng ký gói VIP ( giá chỉ từ 199K ) để làm bài, xem đáp án và lời giải chi tiết không giới hạn.
Câu 57
B. phong phanh/kết hôn
Lời giải
Bạn cần đăng ký gói VIP ( giá chỉ từ 199K ) để làm bài, xem đáp án và lời giải chi tiết không giới hạn.
Câu 58
B. phát biểu
Lời giải
Bạn cần đăng ký gói VIP ( giá chỉ từ 199K ) để làm bài, xem đáp án và lời giải chi tiết không giới hạn.
Câu 59
Lời giải
Bạn cần đăng ký gói VIP ( giá chỉ từ 199K ) để làm bài, xem đáp án và lời giải chi tiết không giới hạn.
Câu 60
Lời giải
Bạn cần đăng ký gói VIP ( giá chỉ từ 199K ) để làm bài, xem đáp án và lời giải chi tiết không giới hạn.
Câu 61
Lời giải
Bạn cần đăng ký gói VIP ( giá chỉ từ 199K ) để làm bài, xem đáp án và lời giải chi tiết không giới hạn.
Câu 62
Lời giải
Bạn cần đăng ký gói VIP ( giá chỉ từ 199K ) để làm bài, xem đáp án và lời giải chi tiết không giới hạn.
Câu 63
Lời giải
Bạn cần đăng ký gói VIP ( giá chỉ từ 199K ) để làm bài, xem đáp án và lời giải chi tiết không giới hạn.
Câu 64
Lời giải
Bạn cần đăng ký gói VIP ( giá chỉ từ 199K ) để làm bài, xem đáp án và lời giải chi tiết không giới hạn.
Câu 65
Lời giải
Bạn cần đăng ký gói VIP ( giá chỉ từ 199K ) để làm bài, xem đáp án và lời giải chi tiết không giới hạn.
Câu 66
Lời giải
Bạn cần đăng ký gói VIP ( giá chỉ từ 199K ) để làm bài, xem đáp án và lời giải chi tiết không giới hạn.
Câu 67
Lời giải
Bạn cần đăng ký gói VIP ( giá chỉ từ 199K ) để làm bài, xem đáp án và lời giải chi tiết không giới hạn.
Lời giải
Bạn cần đăng ký gói VIP ( giá chỉ từ 199K ) để làm bài, xem đáp án và lời giải chi tiết không giới hạn.
Câu 69
Lời giải
Bạn cần đăng ký gói VIP ( giá chỉ từ 199K ) để làm bài, xem đáp án và lời giải chi tiết không giới hạn.
Lời giải
Bạn cần đăng ký gói VIP ( giá chỉ từ 199K ) để làm bài, xem đáp án và lời giải chi tiết không giới hạn.
Câu 71
Lời giải
Bạn cần đăng ký gói VIP ( giá chỉ từ 199K ) để làm bài, xem đáp án và lời giải chi tiết không giới hạn.
Câu 72
Lời giải
Bạn cần đăng ký gói VIP ( giá chỉ từ 199K ) để làm bài, xem đáp án và lời giải chi tiết không giới hạn.
Câu 73
Lời giải
Bạn cần đăng ký gói VIP ( giá chỉ từ 199K ) để làm bài, xem đáp án và lời giải chi tiết không giới hạn.
Câu 74
Lời giải
Bạn cần đăng ký gói VIP ( giá chỉ từ 199K ) để làm bài, xem đáp án và lời giải chi tiết không giới hạn.
Câu 75
Lời giải
Bạn cần đăng ký gói VIP ( giá chỉ từ 199K ) để làm bài, xem đáp án và lời giải chi tiết không giới hạn.
Câu 76
Lời giải
Bạn cần đăng ký gói VIP ( giá chỉ từ 199K ) để làm bài, xem đáp án và lời giải chi tiết không giới hạn.
Câu 77
Lời giải
Bạn cần đăng ký gói VIP ( giá chỉ từ 199K ) để làm bài, xem đáp án và lời giải chi tiết không giới hạn.
Câu 78
Lời giải
Bạn cần đăng ký gói VIP ( giá chỉ từ 199K ) để làm bài, xem đáp án và lời giải chi tiết không giới hạn.
Câu 79
Lời giải
Bạn cần đăng ký gói VIP ( giá chỉ từ 199K ) để làm bài, xem đáp án và lời giải chi tiết không giới hạn.
Câu 80
Lời giải
Bạn cần đăng ký gói VIP ( giá chỉ từ 199K ) để làm bài, xem đáp án và lời giải chi tiết không giới hạn.
Lời giải
Bạn cần đăng ký gói VIP ( giá chỉ từ 199K ) để làm bài, xem đáp án và lời giải chi tiết không giới hạn.
Câu 82
Lời giải
Bạn cần đăng ký gói VIP ( giá chỉ từ 199K ) để làm bài, xem đáp án và lời giải chi tiết không giới hạn.
Câu 83
Lời giải
Bạn cần đăng ký gói VIP ( giá chỉ từ 199K ) để làm bài, xem đáp án và lời giải chi tiết không giới hạn.
Lời giải
Bạn cần đăng ký gói VIP ( giá chỉ từ 199K ) để làm bài, xem đáp án và lời giải chi tiết không giới hạn.
Câu 85
Lời giải
Bạn cần đăng ký gói VIP ( giá chỉ từ 199K ) để làm bài, xem đáp án và lời giải chi tiết không giới hạn.
Lời giải
Bạn cần đăng ký gói VIP ( giá chỉ từ 199K ) để làm bài, xem đáp án và lời giải chi tiết không giới hạn.
Câu 87
Lời giải
Bạn cần đăng ký gói VIP ( giá chỉ từ 199K ) để làm bài, xem đáp án và lời giải chi tiết không giới hạn.
Câu 88
Lời giải
Bạn cần đăng ký gói VIP ( giá chỉ từ 199K ) để làm bài, xem đáp án và lời giải chi tiết không giới hạn.
Câu 89
Lời giải
Bạn cần đăng ký gói VIP ( giá chỉ từ 199K ) để làm bài, xem đáp án và lời giải chi tiết không giới hạn.
Câu 90
Lời giải
Bạn cần đăng ký gói VIP ( giá chỉ từ 199K ) để làm bài, xem đáp án và lời giải chi tiết không giới hạn.
Câu 91
Lời giải
Bạn cần đăng ký gói VIP ( giá chỉ từ 199K ) để làm bài, xem đáp án và lời giải chi tiết không giới hạn.
Lời giải
Bạn cần đăng ký gói VIP ( giá chỉ từ 199K ) để làm bài, xem đáp án và lời giải chi tiết không giới hạn.
Lời giải
Bạn cần đăng ký gói VIP ( giá chỉ từ 199K ) để làm bài, xem đáp án và lời giải chi tiết không giới hạn.
Câu 94
Lời giải
Bạn cần đăng ký gói VIP ( giá chỉ từ 199K ) để làm bài, xem đáp án và lời giải chi tiết không giới hạn.
Lời giải
Bạn cần đăng ký gói VIP ( giá chỉ từ 199K ) để làm bài, xem đáp án và lời giải chi tiết không giới hạn.
Lời giải
Bạn cần đăng ký gói VIP ( giá chỉ từ 199K ) để làm bài, xem đáp án và lời giải chi tiết không giới hạn.
Câu 97
Lời giải
Bạn cần đăng ký gói VIP ( giá chỉ từ 199K ) để làm bài, xem đáp án và lời giải chi tiết không giới hạn.
Câu 98
Lời giải
Bạn cần đăng ký gói VIP ( giá chỉ từ 199K ) để làm bài, xem đáp án và lời giải chi tiết không giới hạn.
Câu 99
Lời giải
Bạn cần đăng ký gói VIP ( giá chỉ từ 199K ) để làm bài, xem đáp án và lời giải chi tiết không giới hạn.
Lời giải
Bạn cần đăng ký gói VIP ( giá chỉ từ 199K ) để làm bài, xem đáp án và lời giải chi tiết không giới hạn.
Câu 101
Lời giải
Bạn cần đăng ký gói VIP ( giá chỉ từ 199K ) để làm bài, xem đáp án và lời giải chi tiết không giới hạn.
Câu 102
Lời giải
Bạn cần đăng ký gói VIP ( giá chỉ từ 199K ) để làm bài, xem đáp án và lời giải chi tiết không giới hạn.
Câu 103
Lời giải
Bạn cần đăng ký gói VIP ( giá chỉ từ 199K ) để làm bài, xem đáp án và lời giải chi tiết không giới hạn.
Câu 104
B. Giúp cơ thể tiếp nhận và tích lũy các chất cần thiết từ môi trường ngoài.
Lời giải
Bạn cần đăng ký gói VIP ( giá chỉ từ 199K ) để làm bài, xem đáp án và lời giải chi tiết không giới hạn.
Câu 105
Lời giải
Bạn cần đăng ký gói VIP ( giá chỉ từ 199K ) để làm bài, xem đáp án và lời giải chi tiết không giới hạn.
Câu 106
Lời giải
Bạn cần đăng ký gói VIP ( giá chỉ từ 199K ) để làm bài, xem đáp án và lời giải chi tiết không giới hạn.
Câu 107
Lời giải
Bạn cần đăng ký gói VIP ( giá chỉ từ 199K ) để làm bài, xem đáp án và lời giải chi tiết không giới hạn.
Câu 108
Lời giải
Bạn cần đăng ký gói VIP ( giá chỉ từ 199K ) để làm bài, xem đáp án và lời giải chi tiết không giới hạn.
Câu 109
Lời giải
Bạn cần đăng ký gói VIP ( giá chỉ từ 199K ) để làm bài, xem đáp án và lời giải chi tiết không giới hạn.
Câu 110
Lời giải
Bạn cần đăng ký gói VIP ( giá chỉ từ 199K ) để làm bài, xem đáp án và lời giải chi tiết không giới hạn.
Câu 111
Lời giải
Bạn cần đăng ký gói VIP ( giá chỉ từ 199K ) để làm bài, xem đáp án và lời giải chi tiết không giới hạn.
Câu 112
Lời giải
Bạn cần đăng ký gói VIP ( giá chỉ từ 199K ) để làm bài, xem đáp án và lời giải chi tiết không giới hạn.
Lời giải
Bạn cần đăng ký gói VIP ( giá chỉ từ 199K ) để làm bài, xem đáp án và lời giải chi tiết không giới hạn.
Lời giải
Bạn cần đăng ký gói VIP ( giá chỉ từ 199K ) để làm bài, xem đáp án và lời giải chi tiết không giới hạn.
Câu 115
Lời giải
Bạn cần đăng ký gói VIP ( giá chỉ từ 199K ) để làm bài, xem đáp án và lời giải chi tiết không giới hạn.
Câu 116
Lời giải
Bạn cần đăng ký gói VIP ( giá chỉ từ 199K ) để làm bài, xem đáp án và lời giải chi tiết không giới hạn.
Câu 117
Lời giải
Bạn cần đăng ký gói VIP ( giá chỉ từ 199K ) để làm bài, xem đáp án và lời giải chi tiết không giới hạn.
Câu 118
Lời giải
Bạn cần đăng ký gói VIP ( giá chỉ từ 199K ) để làm bài, xem đáp án và lời giải chi tiết không giới hạn.
Câu 119
Lời giải
Bạn cần đăng ký gói VIP ( giá chỉ từ 199K ) để làm bài, xem đáp án và lời giải chi tiết không giới hạn.
Câu 120
Lời giải
Bạn cần đăng ký gói VIP ( giá chỉ từ 199K ) để làm bài, xem đáp án và lời giải chi tiết không giới hạn.
Câu 121
Lời giải
Bạn cần đăng ký gói VIP ( giá chỉ từ 199K ) để làm bài, xem đáp án và lời giải chi tiết không giới hạn.
Câu 122
Lời giải
Bạn cần đăng ký gói VIP ( giá chỉ từ 199K ) để làm bài, xem đáp án và lời giải chi tiết không giới hạn.
Câu 123
Lời giải
Bạn cần đăng ký gói VIP ( giá chỉ từ 199K ) để làm bài, xem đáp án và lời giải chi tiết không giới hạn.
Câu 124
Lời giải
Bạn cần đăng ký gói VIP ( giá chỉ từ 199K ) để làm bài, xem đáp án và lời giải chi tiết không giới hạn.
Câu 125
Lời giải
Bạn cần đăng ký gói VIP ( giá chỉ từ 199K ) để làm bài, xem đáp án và lời giải chi tiết không giới hạn.
Câu 126
Lời giải
Bạn cần đăng ký gói VIP ( giá chỉ từ 199K ) để làm bài, xem đáp án và lời giải chi tiết không giới hạn.
Câu 127
Lời giải
Bạn cần đăng ký gói VIP ( giá chỉ từ 199K ) để làm bài, xem đáp án và lời giải chi tiết không giới hạn.
Câu 128
Lời giải
Bạn cần đăng ký gói VIP ( giá chỉ từ 199K ) để làm bài, xem đáp án và lời giải chi tiết không giới hạn.
Câu 129
Lời giải
Bạn cần đăng ký gói VIP ( giá chỉ từ 199K ) để làm bài, xem đáp án và lời giải chi tiết không giới hạn.
Câu 130
Lời giải
Bạn cần đăng ký gói VIP ( giá chỉ từ 199K ) để làm bài, xem đáp án và lời giải chi tiết không giới hạn.
Câu 131
Lời giải
Bạn cần đăng ký gói VIP ( giá chỉ từ 199K ) để làm bài, xem đáp án và lời giải chi tiết không giới hạn.
Câu 132
Lời giải
Bạn cần đăng ký gói VIP ( giá chỉ từ 199K ) để làm bài, xem đáp án và lời giải chi tiết không giới hạn.
Câu 133
Lời giải
Bạn cần đăng ký gói VIP ( giá chỉ từ 199K ) để làm bài, xem đáp án và lời giải chi tiết không giới hạn.
Câu 134
Lời giải
Bạn cần đăng ký gói VIP ( giá chỉ từ 199K ) để làm bài, xem đáp án và lời giải chi tiết không giới hạn.
Câu 135
Lời giải
Bạn cần đăng ký gói VIP ( giá chỉ từ 199K ) để làm bài, xem đáp án và lời giải chi tiết không giới hạn.
Câu 136
Lời giải
Bạn cần đăng ký gói VIP ( giá chỉ từ 199K ) để làm bài, xem đáp án và lời giải chi tiết không giới hạn.
Câu 137
Lời giải
Bạn cần đăng ký gói VIP ( giá chỉ từ 199K ) để làm bài, xem đáp án và lời giải chi tiết không giới hạn.
Câu 138
Lời giải
Bạn cần đăng ký gói VIP ( giá chỉ từ 199K ) để làm bài, xem đáp án và lời giải chi tiết không giới hạn.
Câu 139
Lời giải
Bạn cần đăng ký gói VIP ( giá chỉ từ 199K ) để làm bài, xem đáp án và lời giải chi tiết không giới hạn.
Câu 140
Lời giải
Bạn cần đăng ký gói VIP ( giá chỉ từ 199K ) để làm bài, xem đáp án và lời giải chi tiết không giới hạn.
Câu 141
Lời giải
Bạn cần đăng ký gói VIP ( giá chỉ từ 199K ) để làm bài, xem đáp án và lời giải chi tiết không giới hạn.
Câu 142
Lời giải
Bạn cần đăng ký gói VIP ( giá chỉ từ 199K ) để làm bài, xem đáp án và lời giải chi tiết không giới hạn.
Câu 143
Lời giải
Bạn cần đăng ký gói VIP ( giá chỉ từ 199K ) để làm bài, xem đáp án và lời giải chi tiết không giới hạn.
Câu 144
Lời giải
Bạn cần đăng ký gói VIP ( giá chỉ từ 199K ) để làm bài, xem đáp án và lời giải chi tiết không giới hạn.
Câu 145
Lời giải
Bạn cần đăng ký gói VIP ( giá chỉ từ 199K ) để làm bài, xem đáp án và lời giải chi tiết không giới hạn.
Câu 146
Lời giải
Bạn cần đăng ký gói VIP ( giá chỉ từ 199K ) để làm bài, xem đáp án và lời giải chi tiết không giới hạn.
Câu 147
Lời giải
Bạn cần đăng ký gói VIP ( giá chỉ từ 199K ) để làm bài, xem đáp án và lời giải chi tiết không giới hạn.
Câu 148
Lời giải
Bạn cần đăng ký gói VIP ( giá chỉ từ 199K ) để làm bài, xem đáp án và lời giải chi tiết không giới hạn.
Câu 149
Lời giải
Bạn cần đăng ký gói VIP ( giá chỉ từ 199K ) để làm bài, xem đáp án và lời giải chi tiết không giới hạn.
Câu 150
Lời giải
Bạn cần đăng ký gói VIP ( giá chỉ từ 199K ) để làm bài, xem đáp án và lời giải chi tiết không giới hạn.
Câu 151
Lời giải
Bạn cần đăng ký gói VIP ( giá chỉ từ 199K ) để làm bài, xem đáp án và lời giải chi tiết không giới hạn.
Câu 152
Lời giải
Bạn cần đăng ký gói VIP ( giá chỉ từ 199K ) để làm bài, xem đáp án và lời giải chi tiết không giới hạn.
Câu 153
Lời giải
Bạn cần đăng ký gói VIP ( giá chỉ từ 199K ) để làm bài, xem đáp án và lời giải chi tiết không giới hạn.
Câu 154
Lời giải
Bạn cần đăng ký gói VIP ( giá chỉ từ 199K ) để làm bài, xem đáp án và lời giải chi tiết không giới hạn.
Câu 155
B. I’d be glad to help you with that.
Lời giải
Bạn cần đăng ký gói VIP ( giá chỉ từ 199K ) để làm bài, xem đáp án và lời giải chi tiết không giới hạn.
Câu 156
Lời giải
Bạn cần đăng ký gói VIP ( giá chỉ từ 199K ) để làm bài, xem đáp án và lời giải chi tiết không giới hạn.
Câu 157
Lời giải
Bạn cần đăng ký gói VIP ( giá chỉ từ 199K ) để làm bài, xem đáp án và lời giải chi tiết không giới hạn.
Câu 158
Lời giải
Bạn cần đăng ký gói VIP ( giá chỉ từ 199K ) để làm bài, xem đáp án và lời giải chi tiết không giới hạn.
Câu 159
Lời giải
Bạn cần đăng ký gói VIP ( giá chỉ từ 199K ) để làm bài, xem đáp án và lời giải chi tiết không giới hạn.
Câu 160
Lời giải
Bạn cần đăng ký gói VIP ( giá chỉ từ 199K ) để làm bài, xem đáp án và lời giải chi tiết không giới hạn.
Câu 161
Lời giải
Bạn cần đăng ký gói VIP ( giá chỉ từ 199K ) để làm bài, xem đáp án và lời giải chi tiết không giới hạn.
Câu 162
Lời giải
Bạn cần đăng ký gói VIP ( giá chỉ từ 199K ) để làm bài, xem đáp án và lời giải chi tiết không giới hạn.
Câu 163
Lời giải
Bạn cần đăng ký gói VIP ( giá chỉ từ 199K ) để làm bài, xem đáp án và lời giải chi tiết không giới hạn.
Câu 164
Lời giải
Bạn cần đăng ký gói VIP ( giá chỉ từ 199K ) để làm bài, xem đáp án và lời giải chi tiết không giới hạn.
Câu 165
Lời giải
Bạn cần đăng ký gói VIP ( giá chỉ từ 199K ) để làm bài, xem đáp án và lời giải chi tiết không giới hạn.
Câu 166
Lời giải
Bạn cần đăng ký gói VIP ( giá chỉ từ 199K ) để làm bài, xem đáp án và lời giải chi tiết không giới hạn.
Câu 167
Lời giải
Bạn cần đăng ký gói VIP ( giá chỉ từ 199K ) để làm bài, xem đáp án và lời giải chi tiết không giới hạn.
Câu 168
Lời giải
Bạn cần đăng ký gói VIP ( giá chỉ từ 199K ) để làm bài, xem đáp án và lời giải chi tiết không giới hạn.
Câu 169
Lời giải
Bạn cần đăng ký gói VIP ( giá chỉ từ 199K ) để làm bài, xem đáp án và lời giải chi tiết không giới hạn.
Câu 170
Lời giải
Bạn cần đăng ký gói VIP ( giá chỉ từ 199K ) để làm bài, xem đáp án và lời giải chi tiết không giới hạn.
Câu 171
Lời giải
Bạn cần đăng ký gói VIP ( giá chỉ từ 199K ) để làm bài, xem đáp án và lời giải chi tiết không giới hạn.
Câu 172
Lời giải
Bạn cần đăng ký gói VIP ( giá chỉ từ 199K ) để làm bài, xem đáp án và lời giải chi tiết không giới hạn.
Câu 173
Lời giải
Bạn cần đăng ký gói VIP ( giá chỉ từ 199K ) để làm bài, xem đáp án và lời giải chi tiết không giới hạn.
Câu 174
Lời giải
Bạn cần đăng ký gói VIP ( giá chỉ từ 199K ) để làm bài, xem đáp án và lời giải chi tiết không giới hạn.
Câu 175
Lời giải
Bạn cần đăng ký gói VIP ( giá chỉ từ 199K ) để làm bài, xem đáp án và lời giải chi tiết không giới hạn.
Đoạn văn 1
Dân số thành phố Hà Nội năm 2022 khoảng 8,4 triệu người. Giả sử tỉ lệ tăng dân số hàng năm của Hà Nội không đổi và bằng \(r = 1,04{\rm{\% }}\). Biết rằng, sau \(t\) năm dân số Hà Nội (tính từ mốc 2022) ước tính theo công thức \(S = A.{{\rm{e}}^{rt}}\), trong đó \(A\) là dân số năm lấy mốc.
Câu 176
Vào năm 2030 dân số thành phố Hà Nội là bao nhiêu triệu người (kết quả làm tròn đến hàng phần trăm)?
Vào năm 2030 dân số thành phố Hà Nội là bao nhiêu triệu người (kết quả làm tròn đến hàng phần trăm)?
Lời giải
Bạn cần đăng ký gói VIP ( giá chỉ từ 199K ) để làm bài, xem đáp án và lời giải chi tiết không giới hạn.
Câu 177
Lời giải
Bạn cần đăng ký gói VIP ( giá chỉ từ 199K ) để làm bài, xem đáp án và lời giải chi tiết không giới hạn.
Lời giải
Bạn cần đăng ký gói VIP ( giá chỉ từ 199K ) để làm bài, xem đáp án và lời giải chi tiết không giới hạn.
Đoạn văn 2
Trong lý thuyết tương đối rộng cổ điển người ta không thể tiên đoán được vũ trụ đã bắt đầu như thế nào bởi vì mọi định luật khoa học đã biết đều không đúng tại điểm kỳ dị của vụ nổ lớn. Vũ trụ có thể bắt đầu từ một trạng thái rất đồng nhất và trật tự, điều này sẽ dẫn đến mũi tên nhiệt động học và vũ trụ học xác định của thời gian như chúng ta quan sát. Song vũ trụ có thể hoàn toàn bắt đầu từ một trạng thái rất không đồng nhất và vô trật tự. Trong trường hợp này vì vũ trụ đã ở trong trạng thái rất vô trật tự rồi, cho nên vô trật tự không thể tăng theo thời gian nữa. Vô trật tự hoặc không thay đổi, lúc này không tồn tại mũi tên nhiệt động học xác định của thời gian, hoặc giảm đi, lúc này mũi tên nhiệt động học của thời gian chỉ hướng ngược lại của mũi tên vũ trụ học. Các khả năng này không phù hợp với điều ta quan sát được. Song ở đây lý thuyết tương đối rộng cổ điển tự tiên đoán sự sụp đổ của mình. Khi độ cong của không - thời gian trở nên lớn, các hiệu ứng hấp dẫn lượng tử trở nên quan trọng và lý thuyết cổ điển không còn mô tả tốt vũ trụ được nữa. Để hiểu được vũ trụ đã bắt đầu như thế nào, ta phải sử dụng một lý thuyết hấp dẫn lượng tử.
(Stephen Hawking, Lược sử thời gian (Cao Chi, Phạm Văn Thiều biên dịch), NXB Trẻ, Thành phố Hồ Chí Minh, 2022)
Câu 179
Lời giải
Bạn cần đăng ký gói VIP ( giá chỉ từ 199K ) để làm bài, xem đáp án và lời giải chi tiết không giới hạn.
Câu 180
Lời giải
Bạn cần đăng ký gói VIP ( giá chỉ từ 199K ) để làm bài, xem đáp án và lời giải chi tiết không giới hạn.
Câu 181
Lời giải
Bạn cần đăng ký gói VIP ( giá chỉ từ 199K ) để làm bài, xem đáp án và lời giải chi tiết không giới hạn.
Câu 182
Lời giải
Bạn cần đăng ký gói VIP ( giá chỉ từ 199K ) để làm bài, xem đáp án và lời giải chi tiết không giới hạn.
Câu 183
Lời giải
Bạn cần đăng ký gói VIP ( giá chỉ từ 199K ) để làm bài, xem đáp án và lời giải chi tiết không giới hạn.
Đoạn văn 3
Việc sản xuất ra thể loại phim phụ thuộc vào những nỗ lực xây dựng trên những thành công bước đầu, đồng thời mang lại hiệu quả cao khi người ta có thể vẫn sử dụng chính bối cảnh đó, nhóm sản xuất đó và dàn diễn viên đó nhiều lần cho các bộ phim khác. Trên thực tế, thị trường phim ảnh rất khó để dự đoán. Sự thành công phụ thuộc vào khả năng thấu hiểu của khán giả.
Sự thấu hiểu của thể loại, cho dù là bởi khán giả hay nhà lý luận phê bình điện ảnh, đều được khẳng định, rằng phân tích thể loại phim dựa trên sự thấu hiểu của các quy ước và tuyến nhân vật (cũng chính là một trong những thứ gây chú ý cho khán giả). Đó là một thuận lợi cho các nhà làm phim và khán giả khi quá trình này tạo ra sự tiết chế trong lối kể chuyện. Khán giả mua vé xem phim vì biết trước sắp được xem phim gì, thuộc thể loại nào. Vì vậy, thể loại phim còn được vận hành dựa trên nguyên tắc đáp ứng sự mong muốn của khán giả. Điều đó nghĩa là các phim theo thể loại phải có những yếu tố để khán giả có thể kỳ vọng, dự đoán hay có tính công thức (như danh sách các đặc tính theo thể loại phim).
Có thể nói, tính chất quen thuộc về mặt thể loại của phim sẽ giúp khán giả đoán trước được những gì sẽ xảy ra trong phim. Phân loại phim bởi thể loại phù hợp với nền công nghiệp kiểu mẫu và sự thưởng thức của khán giả. Vì vậy, bất kỳ một lý thuyết mới nêu ra nào đều gợi mở vấn đề để phê bình và phê bình thể loại. Không phải ngẫu nhiên có nhà nghiên cứu đã nhận định “Một bộ phim theo thể loại sẽ tạo cảm giác thỏa mãn nếu nó giải quyết các vấn đề mà khán giả muốn chúng giải quyết”.
(Vũ Ngọc Thanh, Một số vấn đề về thể loại phim và phân tích thể loại phim, Tạp chí Nghiên cứu Sân khấu - Điện ảnh, Số 42, Tháng 06 - 2024)
Câu 184
Lời giải
Bạn cần đăng ký gói VIP ( giá chỉ từ 199K ) để làm bài, xem đáp án và lời giải chi tiết không giới hạn.
Câu 185
Lời giải
Bạn cần đăng ký gói VIP ( giá chỉ từ 199K ) để làm bài, xem đáp án và lời giải chi tiết không giới hạn.
Câu 186
Lời giải
Bạn cần đăng ký gói VIP ( giá chỉ từ 199K ) để làm bài, xem đáp án và lời giải chi tiết không giới hạn.
Câu 187
Lời giải
Bạn cần đăng ký gói VIP ( giá chỉ từ 199K ) để làm bài, xem đáp án và lời giải chi tiết không giới hạn.
Câu 188
Lời giải
Bạn cần đăng ký gói VIP ( giá chỉ từ 199K ) để làm bài, xem đáp án và lời giải chi tiết không giới hạn.
Đoạn văn 4
Trong khi cuộc sống xã hội ngày càng sôi động, thì không gian dành cho các loại hình văn hóa truyền thống ngày càng bị thu hẹp hoặc bị thay đổi. Giới trẻ hiện nay số đông không hiểu hết giá trị của các di sản văn hoá, mà có xu hướng ưa chuộng những hình thức nghệ thuật mới, hiện đại, ít quan tâm tìm hiểu cái hay, cái đẹp của nghệ thuật dân tộc. Vì vậy, việc bảo tồn và phát huy được các giá trị của di sản văn hoá đã có lúc trở thành nguy cơ tiềm ẩn trong việc giữ gìn bản sắc văn hóa dân tộc.
Bên cạnh đó việc nhận thức về quản lý, bảo vệ và phát huy giá trị di sản văn hoá còn hạn chế và không đồng đều. Một số địa phương chỉ quan tâm tới việc xây dựng hồ sơ để đưa vào danh mục của quốc gia hoặc quốc tế; thiếu các hoạt động bảo vệ và phát huy giá trị gắn với phát triển bền vững và hội nhập,…; lúng túng trong việc xây dựng, triển khai các hoạt động bảo vệ và phát huy giá trị, trong xây dựng, tổng hợp, xử lý thông tin các Báo cáo định kỳ về tình trạng, tình hình bảo vệ và phát huy giá trị di sản sau khi được ghi danh.[...]
Ðể có thể duy trì “sức sống” cho di sản văn hoá đang là câu hỏi lớn đặt ra đối với các cấp các ngành. Hiến kế cho vấn đề có tính chất nan giải nhiều năm nay, nhiều chuyên gia cho rằng trước hết cần nâng cao hiệu quả quản lý và nhận thức của cán bộ quản lý đối với các DSVH. Bên cạnh đó cần nhận diện rõ hơn vị trí, vai trò của các cơ quan, tổ chức, chính quyền địa phương các cấp; sự tham gia của các cơ quan báo chí, thông tấn, truyền hình và đặc biệt là vai trò, trách nhiệm của các nghệ nhân và chủ thể của di sản trong hoạt động bảo vệ và phát huy giá trị của di sản văn hoá.
Thực tiễn đã chứng minh không ai có thể giữ gìn di sản văn hoá tốt hơn, hiệu quả hơn chính chủ nhân của các loại hình di sản văn hoá ấy. Di sản văn hoá không thể đứng ngoài sinh hoạt của cộng đồng dân cư, hoặc đứng ngoài không gian văn hóa của nó. Ðể có thể duy trì “sức sống” cho di sản văn hoá không chỉ phải được bảo tồn như nó vốn có, phải được “sống”, được tôn vinh, được người dân thừa nhận ngay trong chính đời sống của cộng đồng. Muốn có được điều ấy, chúng ta cần tăng cường giáo dục thẩm mỹ, giáo dục sự hiểu biết các tri thức văn hóa nói chung và di sản văn hóa dân tộc nói riêng, từ đó khơi dậy và nhân lên niềm đam mê, ý thức bảo vệ di sản trong nhân dân nhất là thế hệ trẻ.
(TT, Làm gì để duy trì “sức sống” cho các di sản văn hóa?, dẫn theo Báo Điện tử Đảng Cộng sản Việt Nam, ngày 23/11/2023)
Câu 189
Lời giải
Bạn cần đăng ký gói VIP ( giá chỉ từ 199K ) để làm bài, xem đáp án và lời giải chi tiết không giới hạn.
Câu 190
Lời giải
Bạn cần đăng ký gói VIP ( giá chỉ từ 199K ) để làm bài, xem đáp án và lời giải chi tiết không giới hạn.
Câu 191
Lời giải
Bạn cần đăng ký gói VIP ( giá chỉ từ 199K ) để làm bài, xem đáp án và lời giải chi tiết không giới hạn.
Câu 192
Lời giải
Bạn cần đăng ký gói VIP ( giá chỉ từ 199K ) để làm bài, xem đáp án và lời giải chi tiết không giới hạn.
Câu 193
Lời giải
Bạn cần đăng ký gói VIP ( giá chỉ từ 199K ) để làm bài, xem đáp án và lời giải chi tiết không giới hạn.
Đoạn văn 5
Bóng tối vẽ vào thăm thẳm đường biên
Cột mốc như mắt đêm chấp chới
Sao rơi lòng sông chảy về đâu
Người gập ghềnh bước tuần tra khuya khoắt
Tán rừng lấp loáng đêm
Có tiếng thú lẻ bầy gọi bạn
Đêm giấu mảnh trăng câu liêm
Nhập nhoạng đường rừng loà nhoà sương khói
Bóng tối gặm dần đêm
Những quả đồi chơ vơ uốn mình theo dốc
Con suối cắt ngang
Một nỗi nhớ nhà
Bóng tối vẽ đêm luênh loang mặt sông
Con thuyền nhỏ gõ nhịp chèo xa vắng
Mẻ lưới vừa thu
Chàng lính trẻ ôm đàn hát về quê mẹ…
(Đào An Duyên, Đêm biên giới, dẫn theo báo Văn nghệ Quân đội, ngày 08/11/2024)
Lời giải
Bạn cần đăng ký gói VIP ( giá chỉ từ 199K ) để làm bài, xem đáp án và lời giải chi tiết không giới hạn.
Câu 195
Lời giải
Bạn cần đăng ký gói VIP ( giá chỉ từ 199K ) để làm bài, xem đáp án và lời giải chi tiết không giới hạn.
Câu 196
Lời giải
Bạn cần đăng ký gói VIP ( giá chỉ từ 199K ) để làm bài, xem đáp án và lời giải chi tiết không giới hạn.
Câu 197
Lời giải
Bạn cần đăng ký gói VIP ( giá chỉ từ 199K ) để làm bài, xem đáp án và lời giải chi tiết không giới hạn.
Câu 198
Lời giải
Bạn cần đăng ký gói VIP ( giá chỉ từ 199K ) để làm bài, xem đáp án và lời giải chi tiết không giới hạn.
Đoạn văn 6
Có những thứ đồ vật vô nghĩa. Có những thứ nhắc tới một chút kỷ niệm đẹp đẽ. Có những thứ gợi lên một câu chuyện chẳng hay ho gì, tưởng đã quên hẳn cái chuyện đó thì bây giờ cái đồ vật lại từ xó xỉnh, bụi bặm, từ trong xó tối từ từ bò ra, cái vật vô tri lại thủ thỉ nói chuyện với anh, khiển trách anh, lên án anh.
Tại sao ngày ấy tôi đã không đưa “tấm ảnh” đến cho gia đình anh? Tại sao tôi không giữ lời hứa? Mà tôi vẫn còn nhớ, tôi đã hứa với anh và cả với tôi nữa, đinh ninh và hùng hồn lắm, và cũng thực tâm lắm chứ? Trong cái đêm ấy, khi tôi ngồi bên anh trên phiến đá giữa khu rừng bên nước bạn, giá có phải chạy qua làn đạn của địch, hay băng qua ngọn lửa, thì tôi cũng quyết định sẽ vượt qua, để đưa tấm hình về trao tận tay những người trong gia đình anh, để đền đáp chút ít tấm lòng độ lượng quá lớn lao nhưng lặng lẽ mà anh đã đối xử với tôi. Lúc ấy, mắt tôi đã rưng rưng khi nghe kể chuyện ở ngoài này, bà mẹ anh đang nhầm tưởng anh đã hy sinh. Và buổi sáng hôm sau, lúc chia tay nhau, tôi lại còn hứa đi hứa lại, để cho anh trở về thật yên tâm và tôi lại còn nhớ, tôi đã nắm tay nhiều lần không nỡ rời, tôi ôm anh, rồi thật là giả dối chưa, tôi lại còn hôn anh nữa, trước khi lên đường đi chặng tiếp. Từ bữa đó, tôi đi bộ ròng rã gần ba tháng thì ra đến Hà Nội. Ngày đó, khi đặt chân về đến Hà Nội, tôi vẫn còn mang ý định đến thăm nhà anh ngay, và mang theo bức vẽ đến. Nhưng chỉ sau một tuần lễ, tôi đã thiết lập được với cái xã hội hậu phương chung quanh những mối quan hệ mới, cái không khí chiến trường tự nhiên nhạt nhòa đi, cái mối nhiệt tâm của lúc còn ở trong đó vơi bớt đi - không, đừng đổ lỗi cho hoàn cảnh! Tôi phải nhận rằng, chỉ sau một tuần lễ, được bè bạn sành sỏi nhất trong nghề đánh giá bức ký họa thật cao, tôi liền lờ quên cái người mẹ đang ôm ấp mối đau khổ vì ngộ nhận con trai đã hy sinh đang ở ngay trong thành phố, tôi liền đóng gói bức ký họa chung với những bức tranh đem đi dự triển lãm Việt Nam ở nước ngoài. Ỷ vào ngày giờ đi quá cấp bách, tôi cũng không kịp nghĩ đến việc tới thăm bà mẹ anh nữa!
(Nguyễn Minh Châu, Bức tranh, In trong Nguyễn Minh Châu - Tuyển tập truyện ngắn, NXB Văn học, Hà Nội, 2009)
Câu 199
Lời giải
Bạn cần đăng ký gói VIP ( giá chỉ từ 199K ) để làm bài, xem đáp án và lời giải chi tiết không giới hạn.
Câu 200
Lời giải
Bạn cần đăng ký gói VIP ( giá chỉ từ 199K ) để làm bài, xem đáp án và lời giải chi tiết không giới hạn.
Câu 201
Lời giải
Bạn cần đăng ký gói VIP ( giá chỉ từ 199K ) để làm bài, xem đáp án và lời giải chi tiết không giới hạn.
Câu 202
B. Bình thản vì đã chấp nhận thực tế.
Lời giải
Bạn cần đăng ký gói VIP ( giá chỉ từ 199K ) để làm bài, xem đáp án và lời giải chi tiết không giới hạn.
Câu 203
Lời giải
Bạn cần đăng ký gói VIP ( giá chỉ từ 199K ) để làm bài, xem đáp án và lời giải chi tiết không giới hạn.
Đoạn văn 7
Trong vật lí, chuyển động tròn là chuyển động quay của một chất điểm trên một vòng tròn hoặc một cung tròn hoặc quỹ đạo tròn. Nó có thể là chuyển động đều với vận tốc góc không đổi hoặc không đều nếu vận tốc góc thay đổi theo thời gian.

Vận tốc chuyển động trong chuyển động được chia như sau:
+ Tốc độ dài (hay còn gọi là tốc độ) là đại lượng đặc trưng cho sự nhanh chậm của chuyển động: \(v = \frac{s}{{\Delta t}}\)
+ Tốc độ góc trong chuyển động tròn đều bằng độ dịch chuyển góc chia cho thời gian dịch chuyển: \(\omega = \frac{\theta }{t}\) (rad/s), vòng
Từ 2 công thức trên ta có công thức liên hệ: v = ωr
Ngoài tốc độ, trong chuyển động tròn đều 2 yếu tố khác được quan tâm là:
+ Chu kì T(s) là thời gian vật quay hết 1 vòng.
+ Tần số f (Hz) là số vòng vật quay được trong 1s.
Liên hệ giữa T, f và ω là: \(T = \frac{1}{f} = \frac{{2\pi }}{\omega }\)
Một số ví dụ về chuyển động có thể kể đến là chuyển động quay của vệ tinh nhân tạo quanh Trái Đất, chuyển động của bánh răng, chuyển động của kim đồng hồ.
Câu 204
Lời giải
Bạn cần đăng ký gói VIP ( giá chỉ từ 199K ) để làm bài, xem đáp án và lời giải chi tiết không giới hạn.
Câu 205
Lời giải
Bạn cần đăng ký gói VIP ( giá chỉ từ 199K ) để làm bài, xem đáp án và lời giải chi tiết không giới hạn.
Lời giải
Bạn cần đăng ký gói VIP ( giá chỉ từ 199K ) để làm bài, xem đáp án và lời giải chi tiết không giới hạn.
Đoạn văn 8
Ammonia có nhiều ứng dụng trong công nghiệp như sản xuất hoá chất, phân bón, thuốc nổ. Hai nhà hoá học người Đức (Fritz Haber và Carl Bosch) là những người đầu tiên phát triển quy trình sản xuất ammonia vào năm 1909. Quy trình dựa trên phản ứng và , sử dụng sắt là xúc tác.
N2 + 3H2 ⇌ 2NH2 (1)
Ngày nay, các quy trình sản xuất ammonia vẫn dựa trên quy trình cơ bản Haber – Bosch, nhưng được cải tiến kết hợp với quy trình xử lí nguyên liệu đầu vào. Hình dưới đây là sơ đồ mô tả quy trình sản xuất ammonia với nguyên liệu đầu vào là khí thiên nhiên (thành phần chủ yếu là methane), nước và không khí

Tại lò phản ứng chuyển hoá nguyên liệu [1], dưới tác dụng của xúc tác, một phần methane phản ứng với hơi nước để tạo thành carbon monoxide và hydrogen, phần còn lại methane phản ứng để loại bỏ oxygen trong không khí. Các phản ứng xảy ra như sau:
CH4(g) + H2O(g) → CO(g) + 3H2(g) (2)
CH4(g) + 2O2(g) → CO2(g) + 2H2O(g) (3)
Tại tháp [2], hơi nước tiếp tục được đưa vào để chuyển hoá CO thành CO2 theo phản ứng:
CO(g) + H2O(g) → CO2(g) + H2(g) (4)
Tại tháp [3], hỗn hợp khí thoát ra ở tháp [2] được dẫn qua nước, khí đi ra khỏi tháp [3] là hỗn hợp nguyên liệu N2 và H2 sẽ được chuyển tới tháp tổng hợp ammonia ở tháp [4].
Câu 207
Lời giải
Bạn cần đăng ký gói VIP ( giá chỉ từ 199K ) để làm bài, xem đáp án và lời giải chi tiết không giới hạn.
Câu 208
Lời giải
Bạn cần đăng ký gói VIP ( giá chỉ từ 199K ) để làm bài, xem đáp án và lời giải chi tiết không giới hạn.
Câu 209
Lời giải
Bạn cần đăng ký gói VIP ( giá chỉ từ 199K ) để làm bài, xem đáp án và lời giải chi tiết không giới hạn.
Đoạn văn 9
Vi khuẩn sinh trưởng dựa theo 2 phương pháp là nuôi cấy liên tục và nuôi cấy không liên tục.
Nuôi cấy không liên tục là môi trường không được bổ sung chất dinh dưỡng mới và không được lấy đi các sản phẩm chuyển hóa vật chất. Trong môi trường nuôi cấy không liên tục có 4 pha sinh trưởng của vi khuẩn.

Pha tiềm phát (hay gọi pha Lag) là pha vi khuẩn có thích nghi với môi trường. Tuy nhiên, vi khuẩn ở pha này không tăng số lượng tế bào trong quần thể. Các enzyme cảm ứng sẽ dần được hình thành.
Pha lũy thừa (hay gọi pha Log) là pha vi khuẩn có biểu hiện phân chia nên số lượng tế bào cũng tăng theo lũy thừa. Ở pha Log, hằng số M không đủ thời gian và cực đại đối với một số chủng.
Pha cân bằng là pha có số lượng vi sinh vật đạt mức cực đại và không thay đổi theo thời gian do một số tế bào bị phân hủy, một số có chất dinh dưỡng bị phân chia.
Pha suy vong là pha có số tế bào trong quần thể bị giảm do sự phân hủy của tế bào, chất dinh dưỡng bị cạn kiệt, tích lũy nhiều chất độc hại.
Nuôi cấy liên tục là môi trường luôn được bổ sung các chất dinh dưỡng cần thiết và được lấy ra một lượng dịch nuôi cấy tương đương. Hầu hết, phương pháp nuôi cấy liên tục được dùng để sản xuất khối thu nhận protein đơn bào, các chất có tính sinh học như acid amin, enzyme, kháng sinh, hormone,…
Câu 210
Lời giải
Bạn cần đăng ký gói VIP ( giá chỉ từ 199K ) để làm bài, xem đáp án và lời giải chi tiết không giới hạn.
Câu 211
Lời giải
Bạn cần đăng ký gói VIP ( giá chỉ từ 199K ) để làm bài, xem đáp án và lời giải chi tiết không giới hạn.
Câu 212
Lời giải
Bạn cần đăng ký gói VIP ( giá chỉ từ 199K ) để làm bài, xem đáp án và lời giải chi tiết không giới hạn.
Đoạn văn 10
“Trong suốt cuộc kháng chiến chống Mỹ, cứu nước, nhân dân Việt Nam đã thể hiện một ý chí kiên cường, bất khuất, quyết tâm đánh bại kẻ thù xâm lược. Mặc dù Mỹ và chính quyền Việt Nam Cộng hòa áp dụng nhiều chiến lược quân sự, như “Chiến tranh cục bộ” và “Việt Nam hóa chiến tranh”, nhưng các chiến thắng quan trọng như Tết Mậu Thân 1968 và các chiến dịch lớn của Quân Giải phóng miền Nam đã làm thay đổi cục diện chiến tranh. Đặc biệt, chiến thắng của mặt trận quân sự và chính trị đã tạo điều kiện để kết thúc cuộc kháng chiến, đưa đến thắng lợi toàn diện trong Chiến dịch Hồ Chí Minh, thống nhất đất nước vào ngày 30 tháng 4 năm 1975.”
(Lê Mậu Hãn (2013), Lịch sử kháng chiến chống Mỹ, cứu nước (1954-1975), NXB Chính trị Quốc gia, trang 203)
Câu 213
C. Tết Mậu Thân 1968.
Lời giải
Bạn cần đăng ký gói VIP ( giá chỉ từ 199K ) để làm bài, xem đáp án và lời giải chi tiết không giới hạn.
Câu 214
Lời giải
Bạn cần đăng ký gói VIP ( giá chỉ từ 199K ) để làm bài, xem đáp án và lời giải chi tiết không giới hạn.
Câu 215
Lời giải
Bạn cần đăng ký gói VIP ( giá chỉ từ 199K ) để làm bài, xem đáp án và lời giải chi tiết không giới hạn.
Đoạn văn 11
“Chủ tịch Hồ Chí Minh, người sáng lập Đảng Cộng sản Việt Nam và là lãnh tụ vĩ đại của cách mạng Việt Nam, sinh ngày 19 tháng 5 năm 1890 tại làng Sen, Nghệ An. Với tầm nhìn xa và sự kiên trì trong đấu tranh, Hồ Chí Minh đã dành cả cuộc đời cho sự nghiệp giải phóng dân tộc, đấu tranh giành độc lập cho Việt Nam. Ông là người khởi xướng và lãnh đạo cuộc kháng chiến chống Pháp, chống Mỹ, đồng thời xây dựng nền tảng cho sự nghiệp thống nhất đất nước. Những tư tưởng của Hồ Chí Minh về đạo đức cách mạng, về xây dựng xã hội mới đã có ảnh hưởng sâu rộng đến cả dân tộc và thế giới. Trong suốt cuộc đời, Hồ Chí Minh luôn tôn trọng và yêu thương nhân dân, coi trọng sự đoàn kết và phát triển đất nước.”
(Trường Chinh (1981), Hồ Chí Minh - Tiểu sử và cuộc đời, NXB Chính trị Quốc gia, trang 120)
Câu 216
Lời giải
Bạn cần đăng ký gói VIP ( giá chỉ từ 199K ) để làm bài, xem đáp án và lời giải chi tiết không giới hạn.
Câu 217
Lời giải
Bạn cần đăng ký gói VIP ( giá chỉ từ 199K ) để làm bài, xem đáp án và lời giải chi tiết không giới hạn.
Câu 218
Lời giải
Bạn cần đăng ký gói VIP ( giá chỉ từ 199K ) để làm bài, xem đáp án và lời giải chi tiết không giới hạn.
Đoạn văn 12

Câu 219
B. Bát Tràng.
Lời giải
Bạn cần đăng ký gói VIP ( giá chỉ từ 199K ) để làm bài, xem đáp án và lời giải chi tiết không giới hạn.
Câu 220
Lời giải
Bạn cần đăng ký gói VIP ( giá chỉ từ 199K ) để làm bài, xem đáp án và lời giải chi tiết không giới hạn.
Câu 221
Lời giải
Bạn cần đăng ký gói VIP ( giá chỉ từ 199K ) để làm bài, xem đáp án và lời giải chi tiết không giới hạn.
Đoạn văn 13
Health is something we tend to ignore when we have it. When our body is doing well, we are hardly aware of it. But illness can come even when we are young. In fact, childhood has been a very _____ (631) time. ______ (632), and people know very little how to cure them once they struck.______ (633). About a century ago, however, scientists found out about germs, and then everything changed. The reason of many diseases was found, and ______ (634) whichwere developed.
As this medical discovery spreads, the world became much safer for children. The result is that whereas hundred years ago, the average man lived for 35 years, nowadays, in many areas of the world, people can expect to live for 75 years. And what do we expect by the year 2020? Undoubtedly, medical science will continue _______ (635). Some people will be able to avoid medical problems that are unavoidable today.
Câu 222
Lời giải
Bạn cần đăng ký gói VIP ( giá chỉ từ 199K ) để làm bài, xem đáp án và lời giải chi tiết không giới hạn.
Câu 223
Lời giải
Bạn cần đăng ký gói VIP ( giá chỉ từ 199K ) để làm bài, xem đáp án và lời giải chi tiết không giới hạn.
Câu 224
Lời giải
Bạn cần đăng ký gói VIP ( giá chỉ từ 199K ) để làm bài, xem đáp án và lời giải chi tiết không giới hạn.
Câu 225
Lời giải
Bạn cần đăng ký gói VIP ( giá chỉ từ 199K ) để làm bài, xem đáp án và lời giải chi tiết không giới hạn.
Câu 226
Lời giải
Bạn cần đăng ký gói VIP ( giá chỉ từ 199K ) để làm bài, xem đáp án và lời giải chi tiết không giới hạn.
Đoạn văn 14
Telemedicine, the practice of medicine at a distance, began with the telephone. Today it includes video technology and high – speed communications using satellites. Although telemedicine occurs in outer space, it will change everyday medical practice on earth. It can help reduce queues and waiting time for doctors in hospitals. In addition, it can reduce the number of journeys a person might need to make to hospital for follow – up treatment and change the treatment of the elderly. Whereas most people in the developed world can easily visit a doctor or a hospital for a medical check, people in some developing countries are not so fortunate. However, a satellite phone, a computer and some simple technology could establish a direct link between them and hospital specialists. Telemedicine could also change medical education by bringing the expert skills of the world’s leading specialists to students throughout the world. There is already a medical education link between a university in the UK and a university in the Middle East. This means that students and teachers can share in live classes, which is a great improvement on traditional textbooks. Ships and off – shore installations like drilling platforms are also making increasing use of telemedicine. In one recent case an oil – rig worker had a worsening headache two days after a head injury. Stormy weather prevented him from being taken to the mainland, but a video discussion and examination by a doctor on land established that he was not at serious risk.
Câu 227
Lời giải
Bạn cần đăng ký gói VIP ( giá chỉ từ 199K ) để làm bài, xem đáp án và lời giải chi tiết không giới hạn.
Câu 228
Lời giải
Bạn cần đăng ký gói VIP ( giá chỉ từ 199K ) để làm bài, xem đáp án và lời giải chi tiết không giới hạn.
Câu 229
Lời giải
Bạn cần đăng ký gói VIP ( giá chỉ từ 199K ) để làm bài, xem đáp án và lời giải chi tiết không giới hạn.
Câu 230
Lời giải
Bạn cần đăng ký gói VIP ( giá chỉ từ 199K ) để làm bài, xem đáp án và lời giải chi tiết không giới hạn.
Đoạn văn 15
It is a myth that creative people are born with their talents: gifts from God or nature. Creative genius is, in fact, latent within many of us, without our realizing. But how far do we need to travel to find the path to creativity? For many people, a long way. This applies to all areas of life. When we are solving problems, for 5 example, we may seek different answers, but, often as not, find ourselves walking along the same well – trodden paths.
So, for many people, their actions and behaviors are set in immovable blocks, their minds clogged with the cholesterol of habitual actions, preventing them from operating freely, and thereby stifling creation. Unfortunately, mankind’s very struggled for survival has become a tyranny – the obsessive desire to give order to the world is a case in point. This can be seen in people’s attitude to time, social customs and the great number of rules and regulations by which the human mind is now restricted.
The groundwork for keeping creative ability in check begins at school. School, later university and then work, teach people to regulate their lives, imposing a continuous process of restrictions which is increasing exponentially with the advancement of technology. Yet, even here in this hostile environment, the foundations for creativity are being laid, because setting off on the creative path is also partly about using rules and regulations. Such limitations ae needed so that once they are learned, they can be broken.
The human mind can be trained to be creative. One strategy is to erect artificial barriers or hurdles in solving a problem. In this way, people are obliged to explore unfamiliar territory, which may lead to some starling discoveries. Unfortunately, the difficulty in this exercise, and with creation itself, is convincing people that creativity is possible. There is also an element of fear involved, however subliminal, as deviating from the safety of one’s thought patterns is very much akin to madness. But, once we open the creativity box, a whole new world will unfold before our very eyes.
Câu 231
Lời giải
Bạn cần đăng ký gói VIP ( giá chỉ từ 199K ) để làm bài, xem đáp án và lời giải chi tiết không giới hạn.
Câu 232
Lời giải
Bạn cần đăng ký gói VIP ( giá chỉ từ 199K ) để làm bài, xem đáp án và lời giải chi tiết không giới hạn.
Câu 233
B. The desire to bring order to the world
Lời giải
Bạn cần đăng ký gói VIP ( giá chỉ từ 199K ) để làm bài, xem đáp án và lời giải chi tiết không giới hạn.
Câu 234
Lời giải
Bạn cần đăng ký gói VIP ( giá chỉ từ 199K ) để làm bài, xem đáp án và lời giải chi tiết không giới hạn.
Câu 235
Lời giải
Bạn cần đăng ký gói VIP ( giá chỉ từ 199K ) để làm bài, xem đáp án và lời giải chi tiết không giới hạn.





































