Bộ 45 đề thi Đánh giá năng lực ĐHQG Hà Nội form 2025 có đáp án (Đề 43)
117 người thi tuần này 4.6 117 lượt thi 235 câu hỏi 195 phút
Bạn cần đăng ký gói VIP ( giá chỉ từ 199K ) để làm bài, xem đáp án và lời giải chi tiết không giới hạn.
🔥 Học sinh cũng đã học
Bộ 45 đề thi Đánh giá năng lực ĐHQG Hà Nội form 2025 có đáp án (Đề 45)
Bộ 45 đề thi Đánh giá năng lực ĐHQG Hà Nội form 2025 có đáp án (Đề 44)
Bộ 45 đề thi Đánh giá năng lực ĐHQG Hà Nội form 2025 có đáp án (Đề 43)
Bộ 45 đề thi Đánh giá năng lực ĐHQG Hà Nội form 2025 có đáp án (Đề 42)
Bộ 45 đề thi Đánh giá năng lực ĐHQG Hà Nội form 2025 có đáp án (Đề 41)
Bộ 45 đề thi Đánh giá năng lực ĐHQG Hà Nội form 2025 có đáp án (Đề 40)
Bộ 45 đề thi Đánh giá năng lực ĐHQG Hà Nội form 2025 có đáp án (Đề 39)
Bộ 45 đề thi Đánh giá năng lực ĐHQG Hà Nội form 2025 có đáp án (Đề 38)
Danh sách câu hỏi:
Câu 1
Lời giải
Ta thấy \[19\% \] tổng số người khảo sát tương ứng với \(19\% \cdot 310 \approx 59\) học sinh nam học Hình học. Chọn C.
Câu 2
Lời giải
Phương trình \(m{x^2} - 2\left( {m - 2} \right)x + m - 3 = 0\) có 2 nghiệm dương phân biệt
\( \Leftrightarrow \left\{ {\begin{array}{*{20}{l}}{a \ne 0}\\{\Delta ' > 0}\\{S > 0}\\{P > 0}\end{array}} \right.\)\( \Leftrightarrow \left\{ {\begin{array}{*{20}{l}}{m \ne 0}\\{{{\left( {m - 2} \right)}^2} - m\left( {m - 3} \right) > 0}\\{\frac{{2\left( {m - 2} \right)}}{m} > 0}\\{\frac{{m - 3}}{m} > 0}\end{array}} \right.\)\( \Leftrightarrow \left\{ {\begin{array}{*{20}{l}}{m \ne 0}\\{ - m + 4 > 0}\\{m \in \left( { - \infty \,;\,\,0} \right) \cup \left( {2\,;\,\, + \infty } \right)}\\{m \in \left( { - \infty \,;\,\,0} \right) \cup \left( {3\,;\,\, + \infty } \right)}\end{array}} \right.\)\( \Leftrightarrow m \in \left( { - \infty \,;\,\,0} \right) \cup \left( {3\,;\,\,4} \right).\) Chọn C.
Lời giải
Từ 1 đến 20 có 10 số chẵn và 10 số lẻ, trong 10 số chẵn thì có 5 số chia hết cho 4.
• Chọn 3 quả số lẻ có \(C_{10}^3\) (cách).
• Chọn 1 quả số chẵn chia hết cho 4 có \(C_5^1\) (cách).
• Chọn 1 quả số chẵn không chia hết cho 4 có \(C_5^1\) (cách).
Suy ra có \(C_{10}^3.\) \(C_5^1.\) \(C_5^1 = 3\,\,000\) (cách).
Đáp án cần nhập là: 3000.
Lời giải
Số bàn anh Duy phục vụ trong bữa tối là \(t\,\,\left( {t \in \mathbb{N}} \right).\)
Số tiền anh Duy kiếm được trong bữa trưa là: \(15\% \cdot 12 \cdot 500\,\,000 = 900\,\,000\) (đồng).
Số tiền anh Duy kiếm được trong bữa tối là: \[15\% \cdot t \cdot 900\,\,000 = t \cdot 135\,\,000\] (đồng).
Tổng số tiền anh Duy kiếm được trong ngày là: \(900\,\,000 + t \cdot 135\,\,000\) (đồng).
Anh Duy kiếm được ít nhất \[3\,\,600\,\,000\] đồng mỗi ngày khi
\(900\,\,000 + t \cdot 135\,\,000 \ge 3\,\,600\,\,000 \Leftrightarrow t \ge 20.\)
Vậy số bàn tối thiểu thỏa yêu cầu bài toán là \(t + 12 = 20 + 12 = 32.\) Chọn A.
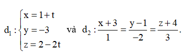
Câu 5
Lời giải
Vì \(A \in {d_1}\), \(B \in {d_2}\) nên ta giả sử \(A\left( {a\,;\,\,3 - a} \right)\); \(B\left( {2b + 6\,;\,\,b} \right)\).
Ta có \(I\) là trung điểm của đoạn thẳng \[AB\] khi và chỉ khi
\(\left\{ {\begin{array}{*{20}{l}}{\frac{{a + 2b + 6}}{2} = 1}\\{\frac{{3 - a + b}}{2} = - 1}\end{array}} \right.\)\( \Leftrightarrow \left\{ {\begin{array}{*{20}{l}}{a + 2b = - 4}\\{a - b = 5}\end{array} \Leftrightarrow \left\{ {\begin{array}{*{20}{l}}{a = 2}\\{b = - 3}\end{array}} \right.} \right.\).
\( \Rightarrow A\left( {2\,;\,\,1} \right)\,,\,\,B\left( {0\,;\,\, - 3} \right) \Rightarrow \overrightarrow {BA} = \left( {2\,;\,\,4} \right) \Rightarrow \overrightarrow {BA} = 2 \cdot \overrightarrow {{u_1}} .\)
Vậy đường thẳng AB có một vectơ chỉ phương là \(\overrightarrow {{u_1}} = \left( {1\,;\,\,2} \right).\) Chọn A.
Lời giải
Bạn cần đăng ký gói VIP ( giá chỉ từ 199K ) để làm bài, xem đáp án và lời giải chi tiết không giới hạn.
Câu 7
Lời giải
Bạn cần đăng ký gói VIP ( giá chỉ từ 199K ) để làm bài, xem đáp án và lời giải chi tiết không giới hạn.
Câu 8
Lời giải
Bạn cần đăng ký gói VIP ( giá chỉ từ 199K ) để làm bài, xem đáp án và lời giải chi tiết không giới hạn.
Lời giải
Bạn cần đăng ký gói VIP ( giá chỉ từ 199K ) để làm bài, xem đáp án và lời giải chi tiết không giới hạn.
Câu 10
D. \({m^2} + 10m + 9.\)
Lời giải
Bạn cần đăng ký gói VIP ( giá chỉ từ 199K ) để làm bài, xem đáp án và lời giải chi tiết không giới hạn.
Câu 11
Lời giải
Bạn cần đăng ký gói VIP ( giá chỉ từ 199K ) để làm bài, xem đáp án và lời giải chi tiết không giới hạn.
Lời giải
Bạn cần đăng ký gói VIP ( giá chỉ từ 199K ) để làm bài, xem đáp án và lời giải chi tiết không giới hạn.
Câu 13
Lời giải
Bạn cần đăng ký gói VIP ( giá chỉ từ 199K ) để làm bài, xem đáp án và lời giải chi tiết không giới hạn.
Lời giải
Bạn cần đăng ký gói VIP ( giá chỉ từ 199K ) để làm bài, xem đáp án và lời giải chi tiết không giới hạn.
Câu 15
Lời giải
Bạn cần đăng ký gói VIP ( giá chỉ từ 199K ) để làm bài, xem đáp án và lời giải chi tiết không giới hạn.
Câu 16
Lời giải
Bạn cần đăng ký gói VIP ( giá chỉ từ 199K ) để làm bài, xem đáp án và lời giải chi tiết không giới hạn.
Lời giải
Bạn cần đăng ký gói VIP ( giá chỉ từ 199K ) để làm bài, xem đáp án và lời giải chi tiết không giới hạn.
Lời giải
Bạn cần đăng ký gói VIP ( giá chỉ từ 199K ) để làm bài, xem đáp án và lời giải chi tiết không giới hạn.
Câu 19
Lời giải
Bạn cần đăng ký gói VIP ( giá chỉ từ 199K ) để làm bài, xem đáp án và lời giải chi tiết không giới hạn.
Câu 20
Lời giải
Bạn cần đăng ký gói VIP ( giá chỉ từ 199K ) để làm bài, xem đáp án và lời giải chi tiết không giới hạn.
Câu 21
Lời giải
Bạn cần đăng ký gói VIP ( giá chỉ từ 199K ) để làm bài, xem đáp án và lời giải chi tiết không giới hạn.
Lời giải
Bạn cần đăng ký gói VIP ( giá chỉ từ 199K ) để làm bài, xem đáp án và lời giải chi tiết không giới hạn.
Câu 23
Lời giải
Bạn cần đăng ký gói VIP ( giá chỉ từ 199K ) để làm bài, xem đáp án và lời giải chi tiết không giới hạn.
Câu 24
Lời giải
Bạn cần đăng ký gói VIP ( giá chỉ từ 199K ) để làm bài, xem đáp án và lời giải chi tiết không giới hạn.
Lời giải
Bạn cần đăng ký gói VIP ( giá chỉ từ 199K ) để làm bài, xem đáp án và lời giải chi tiết không giới hạn.
Lời giải
Bạn cần đăng ký gói VIP ( giá chỉ từ 199K ) để làm bài, xem đáp án và lời giải chi tiết không giới hạn.
Câu 27
Lời giải
Bạn cần đăng ký gói VIP ( giá chỉ từ 199K ) để làm bài, xem đáp án và lời giải chi tiết không giới hạn.
Lời giải
Bạn cần đăng ký gói VIP ( giá chỉ từ 199K ) để làm bài, xem đáp án và lời giải chi tiết không giới hạn.
Lời giải
Bạn cần đăng ký gói VIP ( giá chỉ từ 199K ) để làm bài, xem đáp án và lời giải chi tiết không giới hạn.
Lời giải
Bạn cần đăng ký gói VIP ( giá chỉ từ 199K ) để làm bài, xem đáp án và lời giải chi tiết không giới hạn.
Câu 31
Lời giải
Bạn cần đăng ký gói VIP ( giá chỉ từ 199K ) để làm bài, xem đáp án và lời giải chi tiết không giới hạn.
Lời giải
Bạn cần đăng ký gói VIP ( giá chỉ từ 199K ) để làm bài, xem đáp án và lời giải chi tiết không giới hạn.
Lời giải
Bạn cần đăng ký gói VIP ( giá chỉ từ 199K ) để làm bài, xem đáp án và lời giải chi tiết không giới hạn.
Câu 34
Lời giải
Bạn cần đăng ký gói VIP ( giá chỉ từ 199K ) để làm bài, xem đáp án và lời giải chi tiết không giới hạn.
Lời giải
Bạn cần đăng ký gói VIP ( giá chỉ từ 199K ) để làm bài, xem đáp án và lời giải chi tiết không giới hạn.
Lời giải
Bạn cần đăng ký gói VIP ( giá chỉ từ 199K ) để làm bài, xem đáp án và lời giải chi tiết không giới hạn.
Câu 37
Lời giải
Bạn cần đăng ký gói VIP ( giá chỉ từ 199K ) để làm bài, xem đáp án và lời giải chi tiết không giới hạn.
Câu 38
Lời giải
Bạn cần đăng ký gói VIP ( giá chỉ từ 199K ) để làm bài, xem đáp án và lời giải chi tiết không giới hạn.
Lời giải
Bạn cần đăng ký gói VIP ( giá chỉ từ 199K ) để làm bài, xem đáp án và lời giải chi tiết không giới hạn.
Câu 40
Lời giải
Bạn cần đăng ký gói VIP ( giá chỉ từ 199K ) để làm bài, xem đáp án và lời giải chi tiết không giới hạn.
Câu 41
Lời giải
Bạn cần đăng ký gói VIP ( giá chỉ từ 199K ) để làm bài, xem đáp án và lời giải chi tiết không giới hạn.
Lời giải
Bạn cần đăng ký gói VIP ( giá chỉ từ 199K ) để làm bài, xem đáp án và lời giải chi tiết không giới hạn.
Câu 43
Lời giải
Bạn cần đăng ký gói VIP ( giá chỉ từ 199K ) để làm bài, xem đáp án và lời giải chi tiết không giới hạn.
Câu 44
Lời giải
Bạn cần đăng ký gói VIP ( giá chỉ từ 199K ) để làm bài, xem đáp án và lời giải chi tiết không giới hạn.
Câu 45
Lời giải
Bạn cần đăng ký gói VIP ( giá chỉ từ 199K ) để làm bài, xem đáp án và lời giải chi tiết không giới hạn.
Lời giải
Bạn cần đăng ký gói VIP ( giá chỉ từ 199K ) để làm bài, xem đáp án và lời giải chi tiết không giới hạn.
Câu 47
Lời giải
Bạn cần đăng ký gói VIP ( giá chỉ từ 199K ) để làm bài, xem đáp án và lời giải chi tiết không giới hạn.
Lời giải
Bạn cần đăng ký gói VIP ( giá chỉ từ 199K ) để làm bài, xem đáp án và lời giải chi tiết không giới hạn.
Câu 49
Lời giải
Bạn cần đăng ký gói VIP ( giá chỉ từ 199K ) để làm bài, xem đáp án và lời giải chi tiết không giới hạn.
Câu 50
Lời giải
Bạn cần đăng ký gói VIP ( giá chỉ từ 199K ) để làm bài, xem đáp án và lời giải chi tiết không giới hạn.
Câu 51
Lời giải
Bạn cần đăng ký gói VIP ( giá chỉ từ 199K ) để làm bài, xem đáp án và lời giải chi tiết không giới hạn.
Câu 52
Lời giải
Bạn cần đăng ký gói VIP ( giá chỉ từ 199K ) để làm bài, xem đáp án và lời giải chi tiết không giới hạn.
Câu 53
Lời giải
Bạn cần đăng ký gói VIP ( giá chỉ từ 199K ) để làm bài, xem đáp án và lời giải chi tiết không giới hạn.
Câu 54
Lời giải
Bạn cần đăng ký gói VIP ( giá chỉ từ 199K ) để làm bài, xem đáp án và lời giải chi tiết không giới hạn.
Câu 55
Lời giải
Bạn cần đăng ký gói VIP ( giá chỉ từ 199K ) để làm bài, xem đáp án và lời giải chi tiết không giới hạn.
Câu 56
Lời giải
Bạn cần đăng ký gói VIP ( giá chỉ từ 199K ) để làm bài, xem đáp án và lời giải chi tiết không giới hạn.
Câu 57
Lời giải
Bạn cần đăng ký gói VIP ( giá chỉ từ 199K ) để làm bài, xem đáp án và lời giải chi tiết không giới hạn.
Câu 58
Lời giải
Bạn cần đăng ký gói VIP ( giá chỉ từ 199K ) để làm bài, xem đáp án và lời giải chi tiết không giới hạn.
Câu 59
Lời giải
Bạn cần đăng ký gói VIP ( giá chỉ từ 199K ) để làm bài, xem đáp án và lời giải chi tiết không giới hạn.
Câu 60
Lời giải
Bạn cần đăng ký gói VIP ( giá chỉ từ 199K ) để làm bài, xem đáp án và lời giải chi tiết không giới hạn.
Câu 61
C. bâng khuâng.
Lời giải
Bạn cần đăng ký gói VIP ( giá chỉ từ 199K ) để làm bài, xem đáp án và lời giải chi tiết không giới hạn.
Câu 62
Lời giải
Bạn cần đăng ký gói VIP ( giá chỉ từ 199K ) để làm bài, xem đáp án và lời giải chi tiết không giới hạn.
Câu 63
Lời giải
Bạn cần đăng ký gói VIP ( giá chỉ từ 199K ) để làm bài, xem đáp án và lời giải chi tiết không giới hạn.
Câu 64
Lời giải
Bạn cần đăng ký gói VIP ( giá chỉ từ 199K ) để làm bài, xem đáp án và lời giải chi tiết không giới hạn.
Câu 65
Lời giải
Bạn cần đăng ký gói VIP ( giá chỉ từ 199K ) để làm bài, xem đáp án và lời giải chi tiết không giới hạn.
Câu 66
Lời giải
Bạn cần đăng ký gói VIP ( giá chỉ từ 199K ) để làm bài, xem đáp án và lời giải chi tiết không giới hạn.
Câu 67
Lời giải
Bạn cần đăng ký gói VIP ( giá chỉ từ 199K ) để làm bài, xem đáp án và lời giải chi tiết không giới hạn.
Câu 68
Lời giải
Bạn cần đăng ký gói VIP ( giá chỉ từ 199K ) để làm bài, xem đáp án và lời giải chi tiết không giới hạn.
Câu 69
Lời giải
Bạn cần đăng ký gói VIP ( giá chỉ từ 199K ) để làm bài, xem đáp án và lời giải chi tiết không giới hạn.
Câu 70
Lời giải
Bạn cần đăng ký gói VIP ( giá chỉ từ 199K ) để làm bài, xem đáp án và lời giải chi tiết không giới hạn.
Câu 71
Lời giải
Bạn cần đăng ký gói VIP ( giá chỉ từ 199K ) để làm bài, xem đáp án và lời giải chi tiết không giới hạn.
Câu 72
A. Cảnh ngụ tình.
B. Ẩn dụ
C. Điệp từ và từ phủ định.
Lời giải
Bạn cần đăng ký gói VIP ( giá chỉ từ 199K ) để làm bài, xem đáp án và lời giải chi tiết không giới hạn.
Câu 73
Lời giải
Bạn cần đăng ký gói VIP ( giá chỉ từ 199K ) để làm bài, xem đáp án và lời giải chi tiết không giới hạn.
Lời giải
Bạn cần đăng ký gói VIP ( giá chỉ từ 199K ) để làm bài, xem đáp án và lời giải chi tiết không giới hạn.
Câu 75
Lời giải
Bạn cần đăng ký gói VIP ( giá chỉ từ 199K ) để làm bài, xem đáp án và lời giải chi tiết không giới hạn.
Câu 76
Đọc đoạn trích sau đây và trả lời câu hỏi:
Thư viết cho em nhòe nét mực
Phên thưa sương muối cứ bay vào
Núi rét đêm qua chừng mất ngủ
Sáng ra thêm bạc một nhành lau.
Ở đây tuyết trắng bên chăn mỏng
Bếp đỏ cơm trưa núi vẫn mờ
Mực đóng thành băng trong ruột bút
Hơ hoài than đỏ chảy thành thư.
(Hữu Thỉnh, Thư mùa đông, https://phunuquandoi.vn)
Chi tiết nào không gợi tả điều kiện khắc nghiệt của thời tiết?
Đọc đoạn trích sau đây và trả lời câu hỏi:
Thư viết cho em nhòe nét mực
Phên thưa sương muối cứ bay vào
Núi rét đêm qua chừng mất ngủ
Sáng ra thêm bạc một nhành lau.
Ở đây tuyết trắng bên chăn mỏng
Bếp đỏ cơm trưa núi vẫn mờ
Mực đóng thành băng trong ruột bút
Hơ hoài than đỏ chảy thành thư.
(Hữu Thỉnh, Thư mùa đông, https://phunuquandoi.vn)
Chi tiết nào không gợi tả điều kiện khắc nghiệt của thời tiết?
Lời giải
Bạn cần đăng ký gói VIP ( giá chỉ từ 199K ) để làm bài, xem đáp án và lời giải chi tiết không giới hạn.
Câu 77
Lời giải
Bạn cần đăng ký gói VIP ( giá chỉ từ 199K ) để làm bài, xem đáp án và lời giải chi tiết không giới hạn.
Câu 78
Lời giải
Bạn cần đăng ký gói VIP ( giá chỉ từ 199K ) để làm bài, xem đáp án và lời giải chi tiết không giới hạn.
Lời giải
Bạn cần đăng ký gói VIP ( giá chỉ từ 199K ) để làm bài, xem đáp án và lời giải chi tiết không giới hạn.
Câu 80
Lời giải
Bạn cần đăng ký gói VIP ( giá chỉ từ 199K ) để làm bài, xem đáp án và lời giải chi tiết không giới hạn.
Câu 81
Lời giải
Bạn cần đăng ký gói VIP ( giá chỉ từ 199K ) để làm bài, xem đáp án và lời giải chi tiết không giới hạn.
Câu 82
Lời giải
Bạn cần đăng ký gói VIP ( giá chỉ từ 199K ) để làm bài, xem đáp án và lời giải chi tiết không giới hạn.
Lời giải
Bạn cần đăng ký gói VIP ( giá chỉ từ 199K ) để làm bài, xem đáp án và lời giải chi tiết không giới hạn.
Câu 84
Lời giải
Bạn cần đăng ký gói VIP ( giá chỉ từ 199K ) để làm bài, xem đáp án và lời giải chi tiết không giới hạn.
Câu 85
Lời giải
Bạn cần đăng ký gói VIP ( giá chỉ từ 199K ) để làm bài, xem đáp án và lời giải chi tiết không giới hạn.
Câu 86
Lời giải
Bạn cần đăng ký gói VIP ( giá chỉ từ 199K ) để làm bài, xem đáp án và lời giải chi tiết không giới hạn.
Câu 87
Lời giải
Bạn cần đăng ký gói VIP ( giá chỉ từ 199K ) để làm bài, xem đáp án và lời giải chi tiết không giới hạn.
Câu 88
Lời giải
Bạn cần đăng ký gói VIP ( giá chỉ từ 199K ) để làm bài, xem đáp án và lời giải chi tiết không giới hạn.
Câu 89
B. E = 6 V; r = 2 Ω.
Lời giải
Bạn cần đăng ký gói VIP ( giá chỉ từ 199K ) để làm bài, xem đáp án và lời giải chi tiết không giới hạn.
Câu 90
Lời giải
Bạn cần đăng ký gói VIP ( giá chỉ từ 199K ) để làm bài, xem đáp án và lời giải chi tiết không giới hạn.
Lời giải
Bạn cần đăng ký gói VIP ( giá chỉ từ 199K ) để làm bài, xem đáp án và lời giải chi tiết không giới hạn.
Lời giải
Bạn cần đăng ký gói VIP ( giá chỉ từ 199K ) để làm bài, xem đáp án và lời giải chi tiết không giới hạn.
Câu 93
Lời giải
Bạn cần đăng ký gói VIP ( giá chỉ từ 199K ) để làm bài, xem đáp án và lời giải chi tiết không giới hạn.
Lời giải
Bạn cần đăng ký gói VIP ( giá chỉ từ 199K ) để làm bài, xem đáp án và lời giải chi tiết không giới hạn.
Câu 95
Lời giải
Bạn cần đăng ký gói VIP ( giá chỉ từ 199K ) để làm bài, xem đáp án và lời giải chi tiết không giới hạn.
Lời giải
Bạn cần đăng ký gói VIP ( giá chỉ từ 199K ) để làm bài, xem đáp án và lời giải chi tiết không giới hạn.
Lời giải
Bạn cần đăng ký gói VIP ( giá chỉ từ 199K ) để làm bài, xem đáp án và lời giải chi tiết không giới hạn.
Lời giải
Bạn cần đăng ký gói VIP ( giá chỉ từ 199K ) để làm bài, xem đáp án và lời giải chi tiết không giới hạn.
Câu 99
Lời giải
Bạn cần đăng ký gói VIP ( giá chỉ từ 199K ) để làm bài, xem đáp án và lời giải chi tiết không giới hạn.
Lời giải
Bạn cần đăng ký gói VIP ( giá chỉ từ 199K ) để làm bài, xem đáp án và lời giải chi tiết không giới hạn.
Câu 101
Khi thêm 1,0 gam \(MgS{O_4}\) khan vào 100 gam dung dịch \(MgS{O_4}\) bão hòa ở \({20^o}C\) đã làm tách ra 1,58 gam \(MgS{O_4}\) kết tinh dưới dạng \(MgS{O_4}.n{H_2}O.\) Biết độ tan của \(MgS{O_4}\) ở \({20^o}C\) là 35,1 gam. Công thức của muối kết tinh tách ra là
Lời giải
Bạn cần đăng ký gói VIP ( giá chỉ từ 199K ) để làm bài, xem đáp án và lời giải chi tiết không giới hạn.
Lời giải
Bạn cần đăng ký gói VIP ( giá chỉ từ 199K ) để làm bài, xem đáp án và lời giải chi tiết không giới hạn.
Lời giải
Bạn cần đăng ký gói VIP ( giá chỉ từ 199K ) để làm bài, xem đáp án và lời giải chi tiết không giới hạn.
Câu 105
Lời giải
Bạn cần đăng ký gói VIP ( giá chỉ từ 199K ) để làm bài, xem đáp án và lời giải chi tiết không giới hạn.
Lời giải
Bạn cần đăng ký gói VIP ( giá chỉ từ 199K ) để làm bài, xem đáp án và lời giải chi tiết không giới hạn.
Lời giải
Bạn cần đăng ký gói VIP ( giá chỉ từ 199K ) để làm bài, xem đáp án và lời giải chi tiết không giới hạn.
Câu 108
Lời giải
Bạn cần đăng ký gói VIP ( giá chỉ từ 199K ) để làm bài, xem đáp án và lời giải chi tiết không giới hạn.
Câu 109
Lời giải
Bạn cần đăng ký gói VIP ( giá chỉ từ 199K ) để làm bài, xem đáp án và lời giải chi tiết không giới hạn.
Câu 110
Lời giải
Bạn cần đăng ký gói VIP ( giá chỉ từ 199K ) để làm bài, xem đáp án và lời giải chi tiết không giới hạn.
Câu 111
Lời giải
Bạn cần đăng ký gói VIP ( giá chỉ từ 199K ) để làm bài, xem đáp án và lời giải chi tiết không giới hạn.
Câu 112
Lời giải
Bạn cần đăng ký gói VIP ( giá chỉ từ 199K ) để làm bài, xem đáp án và lời giải chi tiết không giới hạn.
Câu 113
Lời giải
Bạn cần đăng ký gói VIP ( giá chỉ từ 199K ) để làm bài, xem đáp án và lời giải chi tiết không giới hạn.
Câu 114
Lời giải
Bạn cần đăng ký gói VIP ( giá chỉ từ 199K ) để làm bài, xem đáp án và lời giải chi tiết không giới hạn.
Câu 115
Lời giải
Bạn cần đăng ký gói VIP ( giá chỉ từ 199K ) để làm bài, xem đáp án và lời giải chi tiết không giới hạn.
Câu 116
Lời giải
Bạn cần đăng ký gói VIP ( giá chỉ từ 199K ) để làm bài, xem đáp án và lời giải chi tiết không giới hạn.
Câu 117
B. 3’GAU5’; 3’AAU5’; 3’AGU5’.
Lời giải
Bạn cần đăng ký gói VIP ( giá chỉ từ 199K ) để làm bài, xem đáp án và lời giải chi tiết không giới hạn.
Câu 118
Lời giải
Bạn cần đăng ký gói VIP ( giá chỉ từ 199K ) để làm bài, xem đáp án và lời giải chi tiết không giới hạn.
Câu 119
Lời giải
Bạn cần đăng ký gói VIP ( giá chỉ từ 199K ) để làm bài, xem đáp án và lời giải chi tiết không giới hạn.
Câu 120
Lời giải
Bạn cần đăng ký gói VIP ( giá chỉ từ 199K ) để làm bài, xem đáp án và lời giải chi tiết không giới hạn.
Lời giải
Bạn cần đăng ký gói VIP ( giá chỉ từ 199K ) để làm bài, xem đáp án và lời giải chi tiết không giới hạn.
Lời giải
Bạn cần đăng ký gói VIP ( giá chỉ từ 199K ) để làm bài, xem đáp án và lời giải chi tiết không giới hạn.
Lời giải
Bạn cần đăng ký gói VIP ( giá chỉ từ 199K ) để làm bài, xem đáp án và lời giải chi tiết không giới hạn.
Câu 124
Lời giải
Bạn cần đăng ký gói VIP ( giá chỉ từ 199K ) để làm bài, xem đáp án và lời giải chi tiết không giới hạn.
Câu 125
Lời giải
Bạn cần đăng ký gói VIP ( giá chỉ từ 199K ) để làm bài, xem đáp án và lời giải chi tiết không giới hạn.
Câu 126
Lời giải
Bạn cần đăng ký gói VIP ( giá chỉ từ 199K ) để làm bài, xem đáp án và lời giải chi tiết không giới hạn.
Câu 127
Lời giải
Bạn cần đăng ký gói VIP ( giá chỉ từ 199K ) để làm bài, xem đáp án và lời giải chi tiết không giới hạn.
Câu 128
Lời giải
Bạn cần đăng ký gói VIP ( giá chỉ từ 199K ) để làm bài, xem đáp án và lời giải chi tiết không giới hạn.
Câu 129
Lời giải
Bạn cần đăng ký gói VIP ( giá chỉ từ 199K ) để làm bài, xem đáp án và lời giải chi tiết không giới hạn.
Câu 130
Lời giải
Bạn cần đăng ký gói VIP ( giá chỉ từ 199K ) để làm bài, xem đáp án và lời giải chi tiết không giới hạn.
Câu 131
Lời giải
Bạn cần đăng ký gói VIP ( giá chỉ từ 199K ) để làm bài, xem đáp án và lời giải chi tiết không giới hạn.
Câu 132
Lời giải
Bạn cần đăng ký gói VIP ( giá chỉ từ 199K ) để làm bài, xem đáp án và lời giải chi tiết không giới hạn.
Lời giải
Bạn cần đăng ký gói VIP ( giá chỉ từ 199K ) để làm bài, xem đáp án và lời giải chi tiết không giới hạn.
Câu 134
Trong quá trình đổi mới, trên lĩnh vực giáo dục-đào tạo, Việt Nam đã đạt được thành tựu nào sau đây?
Lời giải
Bạn cần đăng ký gói VIP ( giá chỉ từ 199K ) để làm bài, xem đáp án và lời giải chi tiết không giới hạn.
Câu 135
Lời giải
Bạn cần đăng ký gói VIP ( giá chỉ từ 199K ) để làm bài, xem đáp án và lời giải chi tiết không giới hạn.
Câu 136
Lời giải
Bạn cần đăng ký gói VIP ( giá chỉ từ 199K ) để làm bài, xem đáp án và lời giải chi tiết không giới hạn.
Câu 137
Lời giải
Bạn cần đăng ký gói VIP ( giá chỉ từ 199K ) để làm bài, xem đáp án và lời giải chi tiết không giới hạn.
Câu 138
Lời giải
Bạn cần đăng ký gói VIP ( giá chỉ từ 199K ) để làm bài, xem đáp án và lời giải chi tiết không giới hạn.
Câu 139
Lời giải
Bạn cần đăng ký gói VIP ( giá chỉ từ 199K ) để làm bài, xem đáp án và lời giải chi tiết không giới hạn.
Câu 140
Lời giải
Bạn cần đăng ký gói VIP ( giá chỉ từ 199K ) để làm bài, xem đáp án và lời giải chi tiết không giới hạn.
Câu 141
Lời giải
Bạn cần đăng ký gói VIP ( giá chỉ từ 199K ) để làm bài, xem đáp án và lời giải chi tiết không giới hạn.
Câu 142
Lời giải
Bạn cần đăng ký gói VIP ( giá chỉ từ 199K ) để làm bài, xem đáp án và lời giải chi tiết không giới hạn.
Câu 143
Lời giải
Bạn cần đăng ký gói VIP ( giá chỉ từ 199K ) để làm bài, xem đáp án và lời giải chi tiết không giới hạn.
Câu 144
Lời giải
Bạn cần đăng ký gói VIP ( giá chỉ từ 199K ) để làm bài, xem đáp án và lời giải chi tiết không giới hạn.
Câu 145
Lời giải
Bạn cần đăng ký gói VIP ( giá chỉ từ 199K ) để làm bài, xem đáp án và lời giải chi tiết không giới hạn.
Câu 146
Lời giải
Bạn cần đăng ký gói VIP ( giá chỉ từ 199K ) để làm bài, xem đáp án và lời giải chi tiết không giới hạn.
Câu 147
Lời giải
Bạn cần đăng ký gói VIP ( giá chỉ từ 199K ) để làm bài, xem đáp án và lời giải chi tiết không giới hạn.
Câu 148
Lời giải
Bạn cần đăng ký gói VIP ( giá chỉ từ 199K ) để làm bài, xem đáp án và lời giải chi tiết không giới hạn.
Câu 149
Lời giải
Bạn cần đăng ký gói VIP ( giá chỉ từ 199K ) để làm bài, xem đáp án và lời giải chi tiết không giới hạn.
Câu 150
Lời giải
Bạn cần đăng ký gói VIP ( giá chỉ từ 199K ) để làm bài, xem đáp án và lời giải chi tiết không giới hạn.
Câu 151
Lời giải
Bạn cần đăng ký gói VIP ( giá chỉ từ 199K ) để làm bài, xem đáp án và lời giải chi tiết không giới hạn.
Câu 152
Lời giải
Bạn cần đăng ký gói VIP ( giá chỉ từ 199K ) để làm bài, xem đáp án và lời giải chi tiết không giới hạn.
Câu 153
Lời giải
Bạn cần đăng ký gói VIP ( giá chỉ từ 199K ) để làm bài, xem đáp án và lời giải chi tiết không giới hạn.
Câu 154
Lời giải
Bạn cần đăng ký gói VIP ( giá chỉ từ 199K ) để làm bài, xem đáp án và lời giải chi tiết không giới hạn.
Câu 155
Lời giải
Bạn cần đăng ký gói VIP ( giá chỉ từ 199K ) để làm bài, xem đáp án và lời giải chi tiết không giới hạn.
Câu 156
Lời giải
Bạn cần đăng ký gói VIP ( giá chỉ từ 199K ) để làm bài, xem đáp án và lời giải chi tiết không giới hạn.
Câu 157
Lời giải
Bạn cần đăng ký gói VIP ( giá chỉ từ 199K ) để làm bài, xem đáp án và lời giải chi tiết không giới hạn.
Câu 158
Lời giải
Bạn cần đăng ký gói VIP ( giá chỉ từ 199K ) để làm bài, xem đáp án và lời giải chi tiết không giới hạn.
Câu 159
Lời giải
Bạn cần đăng ký gói VIP ( giá chỉ từ 199K ) để làm bài, xem đáp án và lời giải chi tiết không giới hạn.
Câu 160
Lời giải
Bạn cần đăng ký gói VIP ( giá chỉ từ 199K ) để làm bài, xem đáp án và lời giải chi tiết không giới hạn.
Câu 161
Lời giải
Bạn cần đăng ký gói VIP ( giá chỉ từ 199K ) để làm bài, xem đáp án và lời giải chi tiết không giới hạn.
Câu 162
Lời giải
Bạn cần đăng ký gói VIP ( giá chỉ từ 199K ) để làm bài, xem đáp án và lời giải chi tiết không giới hạn.
Câu 163
Lời giải
Bạn cần đăng ký gói VIP ( giá chỉ từ 199K ) để làm bài, xem đáp án và lời giải chi tiết không giới hạn.
Câu 164
Lời giải
Bạn cần đăng ký gói VIP ( giá chỉ từ 199K ) để làm bài, xem đáp án và lời giải chi tiết không giới hạn.
Câu 165
Lời giải
Bạn cần đăng ký gói VIP ( giá chỉ từ 199K ) để làm bài, xem đáp án và lời giải chi tiết không giới hạn.
Câu 166
Lời giải
Bạn cần đăng ký gói VIP ( giá chỉ từ 199K ) để làm bài, xem đáp án và lời giải chi tiết không giới hạn.
Câu 167
Lời giải
Bạn cần đăng ký gói VIP ( giá chỉ từ 199K ) để làm bài, xem đáp án và lời giải chi tiết không giới hạn.
Câu 168
Lời giải
Bạn cần đăng ký gói VIP ( giá chỉ từ 199K ) để làm bài, xem đáp án và lời giải chi tiết không giới hạn.
Câu 169
Lời giải
Bạn cần đăng ký gói VIP ( giá chỉ từ 199K ) để làm bài, xem đáp án và lời giải chi tiết không giới hạn.
Câu 170
a. Yes, I’m trying to build my portfolio for an upcoming contest.
b. I noticed you’ve been taking a lot of photos lately. Are you working on a project?
c. Mostly landscapes and nature. I’m hoping to capture some unique shots.
d. That’s awesome! What kind of theme are you focusing on?
e. You’ve got a good eye for that! Do you edit your photos afterward?
f. A little, but I try to keep them as natural as possible.
a. Yes, I’m trying to build my portfolio for an upcoming contest.
b. I noticed you’ve been taking a lot of photos lately. Are you working on a project?
c. Mostly landscapes and nature. I’m hoping to capture some unique shots.
d. That’s awesome! What kind of theme are you focusing on?
e. You’ve got a good eye for that! Do you edit your photos afterward?
f. A little, but I try to keep them as natural as possible.
Lời giải
Bạn cần đăng ký gói VIP ( giá chỉ từ 199K ) để làm bài, xem đáp án và lời giải chi tiết không giới hạn.
Câu 171
Lời giải
Bạn cần đăng ký gói VIP ( giá chỉ từ 199K ) để làm bài, xem đáp án và lời giải chi tiết không giới hạn.
Câu 172
Lời giải
Bạn cần đăng ký gói VIP ( giá chỉ từ 199K ) để làm bài, xem đáp án và lời giải chi tiết không giới hạn.
Câu 173
Lời giải
Bạn cần đăng ký gói VIP ( giá chỉ từ 199K ) để làm bài, xem đáp án và lời giải chi tiết không giới hạn.
Câu 174
Lời giải
Bạn cần đăng ký gói VIP ( giá chỉ từ 199K ) để làm bài, xem đáp án và lời giải chi tiết không giới hạn.
Câu 175
Lời giải
Bạn cần đăng ký gói VIP ( giá chỉ từ 199K ) để làm bài, xem đáp án và lời giải chi tiết không giới hạn.
Câu 176
Lời giải
Bạn cần đăng ký gói VIP ( giá chỉ từ 199K ) để làm bài, xem đáp án và lời giải chi tiết không giới hạn.
Câu 177
Lời giải
Bạn cần đăng ký gói VIP ( giá chỉ từ 199K ) để làm bài, xem đáp án và lời giải chi tiết không giới hạn.
Câu 178
Lời giải
Bạn cần đăng ký gói VIP ( giá chỉ từ 199K ) để làm bài, xem đáp án và lời giải chi tiết không giới hạn.
Câu 179
B. I have a broken laptop and an urgent meeting. Can you reschedule it for me?.
C. Laptop’s just broken down. I’m afraid I have no choice but to miss the meeting.
Lời giải
Bạn cần đăng ký gói VIP ( giá chỉ từ 199K ) để làm bài, xem đáp án và lời giải chi tiết không giới hạn.
Câu 180
Lời giải
Bạn cần đăng ký gói VIP ( giá chỉ từ 199K ) để làm bài, xem đáp án và lời giải chi tiết không giới hạn.
Câu 181
Lời giải
Bạn cần đăng ký gói VIP ( giá chỉ từ 199K ) để làm bài, xem đáp án và lời giải chi tiết không giới hạn.
Câu 182
Lời giải
Bạn cần đăng ký gói VIP ( giá chỉ từ 199K ) để làm bài, xem đáp án và lời giải chi tiết không giới hạn.
Câu 183
Lời giải
Bạn cần đăng ký gói VIP ( giá chỉ từ 199K ) để làm bài, xem đáp án và lời giải chi tiết không giới hạn.
Đoạn văn 1
Chớ tự kiêu, tự đại. Tự kiêu, tự đại là khờ dại. Vì mình hay, còn nhiều người hay hơn mình. Mình giỏi, còn nhiều người giỏi hơn mình. Tự kiêu, tự đại tức là thoái bộ. Sông to, biển rộng, thì bao nhiêu nước cũng chứa được, vì độ lượng nó rộng và sâu. Cái chén nhỏ, cái đĩa cạn, thì một chút nước cũng đầy tràn, vì độ lượng nó hẹp nhỏ. Người mà tự kiêu, tự mãn, cũng như cái chén, cái đĩa cạn…
(Trích “Cần kiệm liêm chính”, Hồ Chí Minh, tháng 6-1949)
Câu 184
Lời giải
Bạn cần đăng ký gói VIP ( giá chỉ từ 199K ) để làm bài, xem đáp án và lời giải chi tiết không giới hạn.
Câu 185
Lời giải
Bạn cần đăng ký gói VIP ( giá chỉ từ 199K ) để làm bài, xem đáp án và lời giải chi tiết không giới hạn.
Câu 186
Lời giải
Bạn cần đăng ký gói VIP ( giá chỉ từ 199K ) để làm bài, xem đáp án và lời giải chi tiết không giới hạn.
Câu 187
Lời giải
Bạn cần đăng ký gói VIP ( giá chỉ từ 199K ) để làm bài, xem đáp án và lời giải chi tiết không giới hạn.
Đoạn văn 2
Lần lần, mấy năm qua, mấy năm sau, bố Mị chết. Nhưng Mị cũng không còn tưởng đến Mị có thể ăn lá ngón tự tử nữa. Ở lâu trong cái khổ, Mị quen khổ rồi. Bây giờ thì Mị tưởng mình cũng là con trâu, mình cũng là con ngựa, là con ngựa phải đổi ở cái tàu ngựa nhà này đến ở cái tàu ngựa nhà khác, ngựa chỉ biết việc ăn cỏ, biết đi làm mà thôi. Mị cúi mặt, không nghĩ ngợi nữa, mà lúc nào cũng chỉ nhớ đi nhớ lại những việc giống nhau, tiếp nhau vẽ ra trước mặt, mỗi năm mỗi mùa, mỗi tháng lại làm đi làm lại: Tết xong thì lên núi hái thuốc phiện, giữa năm thì giặt đay, xe đay, đến mùa thì đi nương bẻ bắp, và dù lúc đi hái củi, lúc bung ngô, lúc nào cũng gài một bó đay trong cánh tay để tước thành sợi. Bao giờ cũng thế, suốt năm suốt đời như thế. Con ngựa, con trâu làm còn có lúc, đêm nó còn được đứng gãi chân, đứng nhai cỏ, đàn bà con gái nhà này thì vùi vào việc làm cả đêm cả ngày.
(Vợ chồng A Phủ – Tô Hoài)
Câu 188
Lời giải
Bạn cần đăng ký gói VIP ( giá chỉ từ 199K ) để làm bài, xem đáp án và lời giải chi tiết không giới hạn.
Câu 189
B. Hết lòng ca ngợi.
Lời giải
Bạn cần đăng ký gói VIP ( giá chỉ từ 199K ) để làm bài, xem đáp án và lời giải chi tiết không giới hạn.
Câu 190
Lời giải
Bạn cần đăng ký gói VIP ( giá chỉ từ 199K ) để làm bài, xem đáp án và lời giải chi tiết không giới hạn.
Câu 191
A. Con trâu, con ngựa.
B. Con trâu, con bò.
Lời giải
Bạn cần đăng ký gói VIP ( giá chỉ từ 199K ) để làm bài, xem đáp án và lời giải chi tiết không giới hạn.
Câu 192
Lời giải
Bạn cần đăng ký gói VIP ( giá chỉ từ 199K ) để làm bài, xem đáp án và lời giải chi tiết không giới hạn.
Đoạn văn 3
(1) Covid-19 cho con người thấy mình nhỏ bé trước Tự Nhiên như thế nào. Ngay cả những quốc gia giàu có nhất cũng trở nên thiếu hiệu quả trước dịch bệnh, ngay cả những con người dày dặn kinh nghiệm và kiến thức y học nhất như cũng trở nên lúng túng... Con người bỗng chốc bị xé toang cái vòng an toàn của mình. Covid-19 làm cho chúng ta nhận ra bản chất của con người. Sự giàu có không mua được cho bạn ý thức; quốc gia văn minh không sản sinh ra những con người hành xử văn minh; sự trục lợi của những con người sẵn sàng xem thường mạng sống đồng loại; “Fake News” - tin tức giả tràn lan, sự nguy hiểm khôn lường của một thế giới “ảo” nhưng không “ảo”.
(2) Đến cuối cùng, cũng như bao dịch bệnh khác, Covid-19 là “phép thử” của Tự Nhiên trước con người. Loài người bình đẳng như bao nhiêu loài động vật, cúi đầu trước “phép thử” của mẹ thiên nhiên. Covid-19 sẽ chẳng làm cho con người chết hết đi nhưng cũng như bao nhiêu loài động vật khác, qua một “phép thử” chỉ những kẻ mạnh mẽ nhất mới có thể tồn tại. Chúng ta - con người, sẽ tiến hóa như thế nào? Thay đổi cấu trúc ADN để trở nên mạnh mẽ hay tiếp tục phát huy ưu thế của sinh vật bậc cao nhất - trước hết thay đổi tư duy và ý thức của mình?
(Sưu tầm)
Câu 193
Lời giải
Bạn cần đăng ký gói VIP ( giá chỉ từ 199K ) để làm bài, xem đáp án và lời giải chi tiết không giới hạn.
Câu 194
Lời giải
Bạn cần đăng ký gói VIP ( giá chỉ từ 199K ) để làm bài, xem đáp án và lời giải chi tiết không giới hạn.
Câu 195
Lời giải
Bạn cần đăng ký gói VIP ( giá chỉ từ 199K ) để làm bài, xem đáp án và lời giải chi tiết không giới hạn.
Câu 196
Lời giải
Bạn cần đăng ký gói VIP ( giá chỉ từ 199K ) để làm bài, xem đáp án và lời giải chi tiết không giới hạn.
Câu 197
Lời giải
Bạn cần đăng ký gói VIP ( giá chỉ từ 199K ) để làm bài, xem đáp án và lời giải chi tiết không giới hạn.
Đoạn văn 4
Khi của cải bắt đầu đến, nó đến nhanh và nhiều đến mức người ta tự hỏi rằng không biết trong những năm tháng gian khó vừa qua nó đã trốn nơi đâu? Phát biểu trên có thể làm bạn kinh ngạc, đặc biệt nếu như bạn luôn suy nghĩ theo quan niệm thông thường rằng sự giàu có chỉ đến với những người làm việc chăm chỉ trong một khoảng thời gian dài. Khi bạn bắt đầu nhận thức được rằng cách nghĩ có thể mang lại sự giàu sang, bạn sẽ thấy rằng sự giàu có luôn bắt nguồn từ một trạng thái mang tính chất tinh thần, từ một mục đích rõ ràng chứ không phải bởi bạn có làm việc cật lực hay không. Những gì mà bạn và mọi người khác nên biết là làm thế nào để có được một trạng thái tinh thần tạo ra sự giàu có như thế. Tôi đã dành hai mươi lăm năm để nghiên cứu điều đó vì bản thân tôi cũng muốn biết “những người giàu có đã làm thế nào để đạt được những thành quả như vậy”. Bạn sẽ nhận thấy rằng ngay khi bạn nắm được những triết lí của nguyên tắc thành công này và bắt đầu ứng dụng những nguyên tắc đó, tình hình tài chính của bạn sẽ được cải thiện. Nói một cách hoa mĩ thì mọi thứ bạn chạm tay vào sẽ biến thành vàng. Bạn cho rằng không thể được ư? Thế mà đúng như vậy đấy.
(Nghĩ giàu làm giàu, Napoleon Hill, NXB Thế giới, 2017)Câu 198
Lời giải
Bạn cần đăng ký gói VIP ( giá chỉ từ 199K ) để làm bài, xem đáp án và lời giải chi tiết không giới hạn.
Câu 199
Lời giải
Bạn cần đăng ký gói VIP ( giá chỉ từ 199K ) để làm bài, xem đáp án và lời giải chi tiết không giới hạn.
Câu 200
Lời giải
Bạn cần đăng ký gói VIP ( giá chỉ từ 199K ) để làm bài, xem đáp án và lời giải chi tiết không giới hạn.
Câu 201
Lời giải
Bạn cần đăng ký gói VIP ( giá chỉ từ 199K ) để làm bài, xem đáp án và lời giải chi tiết không giới hạn.
Câu 202
Lời giải
Bạn cần đăng ký gói VIP ( giá chỉ từ 199K ) để làm bài, xem đáp án và lời giải chi tiết không giới hạn.
Đoạn văn 5
Phản ứng phân hạch dây chuyền tự duy trì có điều khiển được thực hiện trong thiết bị gọi là lò phản ứng hạt nhân. Nhiên liệu phân hạch trong phần lớn các lò phản ứng là \(_{92}^{235}{\rm{U}}\) hoặc \(_{94}^{239}{\rm{Pu}}.\) Để đảm bảo cho hệ số nhân notron trong lò bằng 1, người ta dùng các thanh điều khiển chứa Bo hoặc Cadimi có tác dụng hấp thụ notron. Khi số notron trong lò tăng lên quá nhiều \((k > 1)\) người ta cho các thanh điều khiển ngập sâu vào khu vực chứa nhiên liệu phân hạch để hấp thụ số notron thừA. Năng lượng tỏa ra từ lò phản ứng không đổi theo thời gian.
Lời giải
Bạn cần đăng ký gói VIP ( giá chỉ từ 199K ) để làm bài, xem đáp án và lời giải chi tiết không giới hạn.
Câu 204
Lời giải
Bạn cần đăng ký gói VIP ( giá chỉ từ 199K ) để làm bài, xem đáp án và lời giải chi tiết không giới hạn.
Câu 205
Lời giải
Bạn cần đăng ký gói VIP ( giá chỉ từ 199K ) để làm bài, xem đáp án và lời giải chi tiết không giới hạn.
Đoạn văn 6
Vụ nổ Halifax là vụ nổ xảy ra ngày 6 tháng 12 năm 1917, tại Halifax, NovaScotia, Canada khi một tàu hàng Pháp, chở đầy thuốc nổ (picric acid) chiến tranh, gặp tai nạn với một tàu Na Uy tại "eo hẹp" của cảng Halifax. Khoảng 1 500 người đã thiệt mạng ngay tức khắc, 500 người khác chết ngay sau đó bởi những vết thương do mảnh vỡ, lửa, nhà sập và trên 9 000 người bị thương. Đây là vụ nổ nhân tạo lớn nhất cho tới khi vụ thử bom nguyên tử đầu tiên được thực hiện năm 1945 và là một trong những vụ nổ phi hạt nhân lớn nhất cho đến nay.

Thành phần chính của thuốc nổ nói trên là picric acid (2, 4, 6 – trinitrophenol). Mặc dù đạn pháo nhồi picric acid có sức công phá lớn nhưng không bền khi chất này ăn mòn vỏ bom tạo ra picrate kim loại, vốn nhạy và nguy hiểm hơn chính acid. Vào thế kỷ 20, phần lớn việc sử dụng picric acid được thay thế bằng loại thuốc nổ TNT.
Lời giải
Bạn cần đăng ký gói VIP ( giá chỉ từ 199K ) để làm bài, xem đáp án và lời giải chi tiết không giới hạn.
Câu 207
Lời giải
Bạn cần đăng ký gói VIP ( giá chỉ từ 199K ) để làm bài, xem đáp án và lời giải chi tiết không giới hạn.
Câu 208
Lời giải
Bạn cần đăng ký gói VIP ( giá chỉ từ 199K ) để làm bài, xem đáp án và lời giải chi tiết không giới hạn.
Đoạn văn 7
Điều hòa sau phiên mã được thực hiện thông qua hai cơ chế: Chế biến RNA sau phiên mã và phân giải RNA.
- Ở sinh vật nhân thực, RNA tạo ra sau phiên mã chỉ là RNA sơ khai, cần phải trải qua quá trình chế biến bao gồm: gắn mũ đầu 5', gắn đuôi poly A ở đầu 3', cắt các intron và nối các exon lại với nhau. Trong quá trình cắt nối, nhiều mRNA khác nhau có thể được tạo ra từ một mRNA sơ khai do sự tổ hợp khác nhau của các exon. Tuy nhiên, trong mỗi tế bào, mỗi gene chỉ tạo ra một loại mRNA trưởng thành.

Các kiểu tổ hợp exon khác nhau ở gene Troponin T (Nguồn: Campbell, Reece)
- Kiểm soát tuổi thọ của mRNA trong tế bào cũng là cách kiểm soát lượng sản phẩm của gene. Nói chung, tuổi thọ của mRNA ở sinh vật nhân thực thường dài hơn so với sinh vật nhân sơ. Tuổi thọ của mRNA được xác định bởi chính cấu trúc của các vùng (vùng không dịch mã) trên phân tử đó. Thường những RNA có đuôi poly A ngắn thì rất dễ bị phân hủy.
Câu 209
B. Đầu 3' của phân tử mRNA.
Lời giải
Bạn cần đăng ký gói VIP ( giá chỉ từ 199K ) để làm bài, xem đáp án và lời giải chi tiết không giới hạn.
Câu 210
Lời giải
Bạn cần đăng ký gói VIP ( giá chỉ từ 199K ) để làm bài, xem đáp án và lời giải chi tiết không giới hạn.
Câu 211
Lời giải
Bạn cần đăng ký gói VIP ( giá chỉ từ 199K ) để làm bài, xem đáp án và lời giải chi tiết không giới hạn.
Đoạn văn 8
“Sau Đại thắng mùa Xuân 1975, Nhà nước Cộng hòa xã hội chủ nghĩa Việt Nam quản lí toàn bộ lãnh thổ Việt Nam, trong đó có quần đảo Hoàng Sa và quần đảo Trường Sa.
Ngày 12-5-1977, Chính phủ nước Cộng hoà xã hội chủ nghĩa Việt Nam ra Tuyên bố về lãnh hải, vùng tiếp giáp, vùng đặc quyền kinh tế và thềm lục địa của Việt Nam. Năm 1994, Việt Nam phê chuẩn Công ước của Liên Hợp quốc về Luật Biển (UNCLOS) năm 1982.
Về quản lí hành chính, năm 1982, Chính phủ Việt Nam thành lập huyện đảo Hoàng Sa, trực thuộc tỉnh Quảng Nam-Đà Nẵng (nay thuộc thành phố Đà Nẵng) và huyện đảo Trường Sa, trực thuộc tỉnh Đồng Nai (nay thuộc tỉnh Khánh Hoà). Năm 2007, Chính phủ quyết định thành lập thị trấn Trường Sa cùng hai xã đảo Song Tử Tây và Sinh Tồn trực thuộc huyện đảo Trường Sa.
Nhà nước Việt Nam cũng triển khai nhiều hoạt động thực thi chủ quyền đối với quần đảo Hoàng Sa và quần đảo Trường Sa như thực hiện các dự án phát triển kinh tế-xã hội, tăng cường tuần tra, chốt giữ, xây dựng bia chủ quyền, ... Đồng thời kiên quyết đấu tranh trước những hành động xâm lược, đe doạ từ bên ngoài.”
(Nguồn: SGK Lịch sử 12-bộ sách Cánh diều, trang 55)Câu 212
Lời giải
Bạn cần đăng ký gói VIP ( giá chỉ từ 199K ) để làm bài, xem đáp án và lời giải chi tiết không giới hạn.
Câu 213
Lời giải
Bạn cần đăng ký gói VIP ( giá chỉ từ 199K ) để làm bài, xem đáp án và lời giải chi tiết không giới hạn.
Câu 214
Lời giải
Bạn cần đăng ký gói VIP ( giá chỉ từ 199K ) để làm bài, xem đáp án và lời giải chi tiết không giới hạn.
Đoạn văn 9
“Đầu năm 1950, Trung Quốc, Liên Xô và các nước xã hội chủ nghĩa đã lần lượt công nhận và đặt quan hệ ngoại giao với nước Việt Nam Dân chủ Cộng hoà, mở ra những điều kiện mới cho cuộc kháng chiến.
Thu-đông 1950, quân đội nhân dân Việt Nam lần đầu tiên chủ động mở chiến dịch Biên giới (từ ngày 16-9 đến ngày 22-10-1950) nhằm tiêu diệt một bộ phận sinh lực địch, khai thông biên giới Việt-Trung, mở rộng và củng cố căn cứ địa Việt Bắc. Sau hơn một tháng chiến đấu, quân đội Việt Nam đã giải phóng một vùng rộng lớn dọc biên giới Việt-Trung, chọc thủng hành lang Đông-Tây, làm phá sản kế hoạch Rơ-ve của thực dân Pháp. Từ đây, quân đội Việt Nam giành được thế chủ động chiến lược trên chiến trường chính Bắc Bộ.”
(Nguồn: SGK Lịch sử 12-bộ sách Chân trời sáng tạo, trang 41)
Câu 215
Lời giải
Bạn cần đăng ký gói VIP ( giá chỉ từ 199K ) để làm bài, xem đáp án và lời giải chi tiết không giới hạn.
Câu 216
Lời giải
Bạn cần đăng ký gói VIP ( giá chỉ từ 199K ) để làm bài, xem đáp án và lời giải chi tiết không giới hạn.
Câu 217
Lời giải
Bạn cần đăng ký gói VIP ( giá chỉ từ 199K ) để làm bài, xem đáp án và lời giải chi tiết không giới hạn.
Đoạn văn 10

(Nguồn: Atlat Địa lí Việt Nam, Nxb Giáo dục Việt Nam, 2024)
Câu 218
Lời giải
Bạn cần đăng ký gói VIP ( giá chỉ từ 199K ) để làm bài, xem đáp án và lời giải chi tiết không giới hạn.
Câu 219
Lời giải
Bạn cần đăng ký gói VIP ( giá chỉ từ 199K ) để làm bài, xem đáp án và lời giải chi tiết không giới hạn.
Câu 220
Lời giải
Bạn cần đăng ký gói VIP ( giá chỉ từ 199K ) để làm bài, xem đáp án và lời giải chi tiết không giới hạn.
Đoạn văn 11
Without music and sport classes, a child’s talent in these areas may never be discovered and developed.
In fact, classrooms may provide an environment (631) _______. Furthermore, even for the children with (632) _______ talents, their capabilities may not fully grow unless (633) _______. Children may also learn to be disciplined and hardworking from the atmosphere of a class, because success in these particular areas requires a significant amount of effort in training. In brief, school education may satisfy some of the most critical factors in the early progress of the future music and sport figures.
More importantly, the provision of both academic, music and sports education is mandatory for an all-rounded growth of young students. If learning to sing or to (634) _______ a sport, for example, is treated as an extracurricular activity only, children may consider the engagement in it to be entirely optional. Some children, particularly those without a determined mindset, may eventually choose (635) _______ sports and music. Such a group may consequently go on to suffer from physical or mental illness in later life.
To conclude, to ensure the adequate physical and mental development of the next generation, and to foster young talents in music and sports, these subjects must never be abandoned in any child educational institution.
Câu 221
Lời giải
Bạn cần đăng ký gói VIP ( giá chỉ từ 199K ) để làm bài, xem đáp án và lời giải chi tiết không giới hạn.
Câu 222
A. ordinary.
Lời giải
Bạn cần đăng ký gói VIP ( giá chỉ từ 199K ) để làm bài, xem đáp án và lời giải chi tiết không giới hạn.
Câu 223
A. some offered basic lessons.
B. some basic lessons are offered.
Lời giải
Bạn cần đăng ký gói VIP ( giá chỉ từ 199K ) để làm bài, xem đáp án và lời giải chi tiết không giới hạn.
Lời giải
Bạn cần đăng ký gói VIP ( giá chỉ từ 199K ) để làm bài, xem đáp án và lời giải chi tiết không giới hạn.
Câu 225
A. to not play.
Lời giải
Bạn cần đăng ký gói VIP ( giá chỉ từ 199K ) để làm bài, xem đáp án và lời giải chi tiết không giới hạn.
Đoạn văn 12
Sylvia Earle is an underwater explorer and marine biologist who was born in the USA in 1935. She became interested in the world’s oceans from an early age. As a child, she liked to stand on the beach for hours and look at the sea, wondering what it must be like under the surface.
When she was 16, she finally got a chance to make her first dive, which motivated her to become an underwater explorer. Since then, she has spent more than 6,500 hours under water and has led more than seventy expeditions worldwide. She has also made the deepest dive ever, reaching a record – breaking depth of 381 metres.
In 1970, she became famous around the world when she became the captain of the first all-female team to live under water. The team spent two weeks in an underwater “house”. The research they carried out showed the damage that pollution was causing to marine life, and especially to coral reefs. Her team also studied the problem of overfishing. Fishing methods meant that people were catching too many fish, Earle warned, and many species were in danger of becoming extinct.
Since then, she has written several books and magazine articles in which she suggests ways of reducing the damage that is being done to the world’s oceans. One way, she believes, is to rely on fish farms for seafood, and reduce the amount of fishing that is done out at sea. Although she no longer eats seafood herself, she realizes the importance it plays in our diets. It would be wrong to tell people they should stop eating fish from the sea, she says, however, they need to reduce the impact they are having on the ocean’s supplies.
Câu 226
Lời giải
Bạn cần đăng ký gói VIP ( giá chỉ từ 199K ) để làm bài, xem đáp án và lời giải chi tiết không giới hạn.
Câu 227
Lời giải
Bạn cần đăng ký gói VIP ( giá chỉ từ 199K ) để làm bài, xem đáp án và lời giải chi tiết không giới hạn.
Câu 228
Lời giải
Bạn cần đăng ký gói VIP ( giá chỉ từ 199K ) để làm bài, xem đáp án và lời giải chi tiết không giới hạn.
Câu 229
Lời giải
Bạn cần đăng ký gói VIP ( giá chỉ từ 199K ) để làm bài, xem đáp án và lời giải chi tiết không giới hạn.
Câu 230
Lời giải
Bạn cần đăng ký gói VIP ( giá chỉ từ 199K ) để làm bài, xem đáp án và lời giải chi tiết không giới hạn.
Đoạn văn 13
Vietnam’s prolonged drought, coupled with an extensive build-up of salinity, have driven five provinces in the country’s rice bowl to declare a state of emergency. “This year’s drought and salinity have been way more devastating than what we saw four years ago,” said Nguyen Thien Phap, head of the water resources department in Tien Giang, one of the provinces that announced the emergency in the Mekong Delta.
“The entire area of fruit trees in Tien Giang province, or about 80,000 hectares (310 square miles), are at risk, while 24,000 hectares of rice fields will give below-normal yields”, said Mr. Phap, who added that water usage upstream on the Mekong by nations including China, Laos and Thailand increased the dryness. The Mekong Delta, which produces more than half the country’s rice, has so far seen a total of 33,000 hectares of rice fields damaged and nearly 70,000 households suffer from lack of water, Vietnam National Television reported Friday, citing latest data from the country’s department of water resources.
The government estimates drought will affect 362,000 hectares of rice and 136,000 hectares of fruit trees in the Delta this year, while more than 120,000 households will experience a water shortage. As of March 2020, it had hit about half the districts in 10 of the 12 provinces and one city in the region. The persistent drought in the Delta in 2016 caused losses worth 8.9 trillion dong (384 million USD) with 250,000 hectares of rice, 130,000 hectares of crops and 30,000 hectares of fruit trees destroyed, according to local news website VnExpress. It was regarded as the worst drought in the region of more than 17 million people in data going back to 1926.
While the Delta is a key rice-growing area, the crop is grown in almost all of Vietnam, which is the world’s third-largest exporter, behind India and Thailand. What will happen if this situation gets worse?
Câu 231
Lời giải
Bạn cần đăng ký gói VIP ( giá chỉ từ 199K ) để làm bài, xem đáp án và lời giải chi tiết không giới hạn.
Câu 232
Lời giải
Bạn cần đăng ký gói VIP ( giá chỉ từ 199K ) để làm bài, xem đáp án và lời giải chi tiết không giới hạn.
Câu 233
Lời giải
Bạn cần đăng ký gói VIP ( giá chỉ từ 199K ) để làm bài, xem đáp án và lời giải chi tiết không giới hạn.
Câu 234
Lời giải
Bạn cần đăng ký gói VIP ( giá chỉ từ 199K ) để làm bài, xem đáp án và lời giải chi tiết không giới hạn.
Câu 235
Lời giải
Bạn cần đăng ký gói VIP ( giá chỉ từ 199K ) để làm bài, xem đáp án và lời giải chi tiết không giới hạn.

















