Bộ 45 đề thi Đánh giá năng lực ĐHQG Hà Nội form 2025 có đáp án (Đề 44)
147 người thi tuần này 4.6 147 lượt thi 235 câu hỏi 195 phút
Bạn cần đăng ký gói VIP ( giá chỉ từ 199K ) để làm bài, xem đáp án và lời giải chi tiết không giới hạn.
🔥 Học sinh cũng đã học
Bộ 45 đề thi Đánh giá năng lực ĐHQG Hà Nội form 2025 có đáp án (Đề 45)
Bộ 45 đề thi Đánh giá năng lực ĐHQG Hà Nội form 2025 có đáp án (Đề 44)
Bộ 45 đề thi Đánh giá năng lực ĐHQG Hà Nội form 2025 có đáp án (Đề 43)
Bộ 45 đề thi Đánh giá năng lực ĐHQG Hà Nội form 2025 có đáp án (Đề 42)
Bộ 45 đề thi Đánh giá năng lực ĐHQG Hà Nội form 2025 có đáp án (Đề 41)
Bộ 45 đề thi Đánh giá năng lực ĐHQG Hà Nội form 2025 có đáp án (Đề 40)
Bộ 45 đề thi Đánh giá năng lực ĐHQG Hà Nội form 2025 có đáp án (Đề 39)
Bộ 45 đề thi Đánh giá năng lực ĐHQG Hà Nội form 2025 có đáp án (Đề 38)
Danh sách câu hỏi:
Lời giải
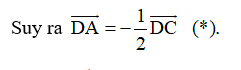
Ta có \(AB = \sqrt {26} \,,\,\,BC = \sqrt {104} = 2\sqrt {26} .\)
Gọi \[D\left( {x\,;\,\,y\,;\,\,z} \right)\], theo tính chất phân giác ta có \(\frac{{DA}}{{DC}} = \frac{{BA}}{{BC}} = \frac{1}{2}.\)

Ta có \(\overrightarrow {DA} = \left( {1 - x\,;\,\,2 - y\,;\,\, - 1 - z} \right)\) và \(\overrightarrow {DC} = \left( { - 4 - x\,;\,\,7 - y\,;\,\,5 - z} \right).\)
Do đó \((*) \Rightarrow \left\{ {\begin{array}{*{20}{l}}{1 - x = - \frac{1}{2}\left( { - 4 - x} \right)}\\{2 - y = - \frac{1}{2}\left( {7 - y} \right)}\\{ - 1 - z = - \frac{1}{2}\left( {5 - z} \right)}\end{array} \Leftrightarrow \left\{ {\begin{array}{*{20}{l}}{x = - \frac{2}{3}}\\{y = \frac{{11}}{3}}\\{z = 1}\end{array} \Rightarrow D\left( { - \frac{2}{3}\,;\,\,\frac{{11}}{3}\,;\,\,1} \right) \Rightarrow x + y + 2z = 5} \right.} \right..\) Chọn A.
Lời giải
Quãng đường đi được tại thời gian \(t\) là \(S = \int {\left( {3t + 2} \right)} \,dt = \frac{{3{t^2}}}{2} + 2t + c.\)
Mà \(S\left( 2 \right) = 10 \Rightarrow 6 + 4 + c = 10 \Rightarrow c = 0 \Rightarrow S\left( t \right) = \frac{{3{t^2}}}{2} + 2t.\)
Tại thời điểm \(t = 30\;{\rm{s}}\) thì vật đi được quãng đường là \(S\left( {30} \right) = \frac{{{{3.30}^2}}}{2} + 2 \cdot 30 = 1\,\,410\,\,(\;{\rm{m}}).\)
Đáp án cần nhập là: 1410.
Câu 3
Lời giải
Vận tốc ô tô tại thời điểm bắt đầu phanh là \({v_1}\left( 5 \right) = 35\,\,(\;{\rm{m}}/{\rm{s}}).\)
Vận tốc của chuyển động sau khi phanh là \({v_2}\left( t \right) = - 70t + c.\)
Do \({v_2}\left( 0 \right) = 35\,\,(\;{\rm{m}}/{\rm{s}}) \Rightarrow c = 35 \Rightarrow {v_2}\left( t \right) = - 70t + 35.\)
Khi xe dừng hẳn tức là: \({v_2}\left( t \right) = 0 \Rightarrow - 70t + 35 = 0 \Leftrightarrow t = \frac{1}{2}{\rm{. }}\)
Quãng đường \(S\,\,\left( m \right)\) đi được ô tô từ lúc bắt đầu chuyển bánh cho đến khi dừng hẳn là
\[S\,\,\left( m \right) = \int\limits_0^5 {7t} \,dt + \int\limits_0^{\frac{1}{2}} {\left( { - 70t + 35} \right)} \,dt = 96,25\,\,(\;{\rm{m}})\]. Chọn A.
Lời giải
Dựa vào bảng biến thiên, ta thấy đồ thị hàm số có tiệm cận đứng \(x = 2\)
\( \Rightarrow - \frac{c}{b} = 2 \Leftrightarrow c = - 2b\) và tiệm cận ngang \(y = 1 \Rightarrow \frac{a}{b} = 1 \Leftrightarrow a = b\).
Ta có \[f\left( x \right) = \frac{{ax + 1}}{{bx + c}} \Rightarrow f'\left( x \right) = \frac{{ac - b}}{{{{\left( {bx + c} \right)}^2}}}\].
Hàm số đồng biến trên các khoảng \(\left( { - \infty \,;\,\,2} \right)\) và \(\left( {2\,;\,\, + \infty } \right)\) nên ta có
\(y' > 0\,;\,\,\forall x \ne 2 \Leftrightarrow \frac{{ac - b}}{{{{\left( {bx + c} \right)}^2}}} > 0\,;\,\,\forall x \ne 2\)
\( \Leftrightarrow ac - b > 0 \Leftrightarrow b.( - 2b) - b > 0 \Leftrightarrow - 2{b^2} - b > 0\)
\( \Leftrightarrow - \frac{1}{2} < b < 0 \Rightarrow b < 0 \Rightarrow a < 0,\,\,c > 0.\)
Vậy trong ba số \[a,\,\,b,\,\,c\] có 1 số dương. Chọn C.
Lời giải
Để đồ thị hàm số \(y = \frac{3}{{f\left( {{x^2}} \right) - m}}\) có 4 đường tiệm cận đứng khi phương trình \(f\left( {{x^2}} \right) = m\) có 4 nghiệm \(x\) phân biệt.
Đặt \(t = {x^2}\,,\,\,t \ge 0.\)
Từ bảng biến thiên của hàm số \(y = f\left( x \right)\) ta thấy, phương trình \(f\left( t \right) = m\) có 2 nghiệm dương \(t\) phân biệt khi \( - 1 < m < 3\).
Với mỗi giá trị \(t > 0\) cho ta 2 giá trị đối nhau của \(x\), nên với điều kiện \( - 1 < m < 3\), phương trình \(f\left( {{x^2}} \right) = m\) có 4 nghiệm \(x\) phân biệt.
Do đó đồ thị hàm số \(y = \frac{3}{{f\left( {{x^2}} \right) - m}}\) có 4 tiệm cận đứng khi \( - 1 < m < 3\).
Vì \(m \in \mathbb{Z}\) nên \(m \in \left\{ {0\,;\,\,1\,;\,\,2} \right\}\).
Đáp án cần nhập là: 3.
Câu 6
Lời giải
Bạn cần đăng ký gói VIP ( giá chỉ từ 199K ) để làm bài, xem đáp án và lời giải chi tiết không giới hạn.
Câu 7
Lời giải
Bạn cần đăng ký gói VIP ( giá chỉ từ 199K ) để làm bài, xem đáp án và lời giải chi tiết không giới hạn.
Lời giải
Bạn cần đăng ký gói VIP ( giá chỉ từ 199K ) để làm bài, xem đáp án và lời giải chi tiết không giới hạn.
Câu 9
Lời giải
Bạn cần đăng ký gói VIP ( giá chỉ từ 199K ) để làm bài, xem đáp án và lời giải chi tiết không giới hạn.
Lời giải
Bạn cần đăng ký gói VIP ( giá chỉ từ 199K ) để làm bài, xem đáp án và lời giải chi tiết không giới hạn.
Lời giải
Bạn cần đăng ký gói VIP ( giá chỉ từ 199K ) để làm bài, xem đáp án và lời giải chi tiết không giới hạn.
Câu 12
Lời giải
Bạn cần đăng ký gói VIP ( giá chỉ từ 199K ) để làm bài, xem đáp án và lời giải chi tiết không giới hạn.
Câu 13
Lời giải
Bạn cần đăng ký gói VIP ( giá chỉ từ 199K ) để làm bài, xem đáp án và lời giải chi tiết không giới hạn.
Câu 14
Lời giải
Bạn cần đăng ký gói VIP ( giá chỉ từ 199K ) để làm bài, xem đáp án và lời giải chi tiết không giới hạn.
Lời giải
Bạn cần đăng ký gói VIP ( giá chỉ từ 199K ) để làm bài, xem đáp án và lời giải chi tiết không giới hạn.
Câu 16
A. \[11\,\,445\,\,000\] đồng.
Lời giải
Bạn cần đăng ký gói VIP ( giá chỉ từ 199K ) để làm bài, xem đáp án và lời giải chi tiết không giới hạn.
Lời giải
Bạn cần đăng ký gói VIP ( giá chỉ từ 199K ) để làm bài, xem đáp án và lời giải chi tiết không giới hạn.
Lời giải
Bạn cần đăng ký gói VIP ( giá chỉ từ 199K ) để làm bài, xem đáp án và lời giải chi tiết không giới hạn.
Câu 19
Lời giải
Bạn cần đăng ký gói VIP ( giá chỉ từ 199K ) để làm bài, xem đáp án và lời giải chi tiết không giới hạn.
Lời giải
Bạn cần đăng ký gói VIP ( giá chỉ từ 199K ) để làm bài, xem đáp án và lời giải chi tiết không giới hạn.
Câu 21
A. Ngay từ lúc bắt đầu sử dụng độc tố.
B. \(0,5\) giờ.
Lời giải
Bạn cần đăng ký gói VIP ( giá chỉ từ 199K ) để làm bài, xem đáp án và lời giải chi tiết không giới hạn.
Câu 22
Lời giải
Bạn cần đăng ký gói VIP ( giá chỉ từ 199K ) để làm bài, xem đáp án và lời giải chi tiết không giới hạn.
Lời giải
Bạn cần đăng ký gói VIP ( giá chỉ từ 199K ) để làm bài, xem đáp án và lời giải chi tiết không giới hạn.
Câu 24
Lời giải
Bạn cần đăng ký gói VIP ( giá chỉ từ 199K ) để làm bài, xem đáp án và lời giải chi tiết không giới hạn.
Câu 25
Lời giải
Bạn cần đăng ký gói VIP ( giá chỉ từ 199K ) để làm bài, xem đáp án và lời giải chi tiết không giới hạn.
Câu 26
Lời giải
Bạn cần đăng ký gói VIP ( giá chỉ từ 199K ) để làm bài, xem đáp án và lời giải chi tiết không giới hạn.
Câu 27
Lời giải
Bạn cần đăng ký gói VIP ( giá chỉ từ 199K ) để làm bài, xem đáp án và lời giải chi tiết không giới hạn.
Câu 28
Lời giải
Bạn cần đăng ký gói VIP ( giá chỉ từ 199K ) để làm bài, xem đáp án và lời giải chi tiết không giới hạn.
Lời giải
Bạn cần đăng ký gói VIP ( giá chỉ từ 199K ) để làm bài, xem đáp án và lời giải chi tiết không giới hạn.
Câu 30
Lời giải
Bạn cần đăng ký gói VIP ( giá chỉ từ 199K ) để làm bài, xem đáp án và lời giải chi tiết không giới hạn.
Câu 31
A. Lê Quý Đôn – Hà Đông.
B. Phan Đình Phùng.
Lời giải
Bạn cần đăng ký gói VIP ( giá chỉ từ 199K ) để làm bài, xem đáp án và lời giải chi tiết không giới hạn.
Câu 32
Lời giải
Bạn cần đăng ký gói VIP ( giá chỉ từ 199K ) để làm bài, xem đáp án và lời giải chi tiết không giới hạn.
Lời giải
Bạn cần đăng ký gói VIP ( giá chỉ từ 199K ) để làm bài, xem đáp án và lời giải chi tiết không giới hạn.
Câu 34
Lời giải
Bạn cần đăng ký gói VIP ( giá chỉ từ 199K ) để làm bài, xem đáp án và lời giải chi tiết không giới hạn.
Câu 35
A. \(4374.\)
Lời giải
Bạn cần đăng ký gói VIP ( giá chỉ từ 199K ) để làm bài, xem đáp án và lời giải chi tiết không giới hạn.
Lời giải
Bạn cần đăng ký gói VIP ( giá chỉ từ 199K ) để làm bài, xem đáp án và lời giải chi tiết không giới hạn.
Câu 37
Lời giải
Bạn cần đăng ký gói VIP ( giá chỉ từ 199K ) để làm bài, xem đáp án và lời giải chi tiết không giới hạn.
Lời giải
Bạn cần đăng ký gói VIP ( giá chỉ từ 199K ) để làm bài, xem đáp án và lời giải chi tiết không giới hạn.
Câu 39
A. 59.
Lời giải
Bạn cần đăng ký gói VIP ( giá chỉ từ 199K ) để làm bài, xem đáp án và lời giải chi tiết không giới hạn.
Câu 40
Lời giải
Bạn cần đăng ký gói VIP ( giá chỉ từ 199K ) để làm bài, xem đáp án và lời giải chi tiết không giới hạn.
Lời giải
Bạn cần đăng ký gói VIP ( giá chỉ từ 199K ) để làm bài, xem đáp án và lời giải chi tiết không giới hạn.
Câu 42
Lời giải
Bạn cần đăng ký gói VIP ( giá chỉ từ 199K ) để làm bài, xem đáp án và lời giải chi tiết không giới hạn.
Câu 43
A. \(\frac{1}{{32}}.\)
Lời giải
Bạn cần đăng ký gói VIP ( giá chỉ từ 199K ) để làm bài, xem đáp án và lời giải chi tiết không giới hạn.
Lời giải
Bạn cần đăng ký gói VIP ( giá chỉ từ 199K ) để làm bài, xem đáp án và lời giải chi tiết không giới hạn.
Câu 45
Lời giải
Bạn cần đăng ký gói VIP ( giá chỉ từ 199K ) để làm bài, xem đáp án và lời giải chi tiết không giới hạn.
Lời giải
Bạn cần đăng ký gói VIP ( giá chỉ từ 199K ) để làm bài, xem đáp án và lời giải chi tiết không giới hạn.
Câu 47
Lời giải
Bạn cần đăng ký gói VIP ( giá chỉ từ 199K ) để làm bài, xem đáp án và lời giải chi tiết không giới hạn.
Câu 48
Lời giải
Bạn cần đăng ký gói VIP ( giá chỉ từ 199K ) để làm bài, xem đáp án và lời giải chi tiết không giới hạn.
Câu 49
Lời giải
Bạn cần đăng ký gói VIP ( giá chỉ từ 199K ) để làm bài, xem đáp án và lời giải chi tiết không giới hạn.
Lời giải
Bạn cần đăng ký gói VIP ( giá chỉ từ 199K ) để làm bài, xem đáp án và lời giải chi tiết không giới hạn.
Câu 51
Lời giải
Bạn cần đăng ký gói VIP ( giá chỉ từ 199K ) để làm bài, xem đáp án và lời giải chi tiết không giới hạn.
Câu 52
Lời giải
Bạn cần đăng ký gói VIP ( giá chỉ từ 199K ) để làm bài, xem đáp án và lời giải chi tiết không giới hạn.
Câu 53
Lời giải
Bạn cần đăng ký gói VIP ( giá chỉ từ 199K ) để làm bài, xem đáp án và lời giải chi tiết không giới hạn.
Câu 54
Lời giải
Bạn cần đăng ký gói VIP ( giá chỉ từ 199K ) để làm bài, xem đáp án và lời giải chi tiết không giới hạn.
Câu 55
Lời giải
Bạn cần đăng ký gói VIP ( giá chỉ từ 199K ) để làm bài, xem đáp án và lời giải chi tiết không giới hạn.
Câu 56
Lời giải
Bạn cần đăng ký gói VIP ( giá chỉ từ 199K ) để làm bài, xem đáp án và lời giải chi tiết không giới hạn.
Câu 57
Lời giải
Bạn cần đăng ký gói VIP ( giá chỉ từ 199K ) để làm bài, xem đáp án và lời giải chi tiết không giới hạn.
Câu 58
Lời giải
Bạn cần đăng ký gói VIP ( giá chỉ từ 199K ) để làm bài, xem đáp án và lời giải chi tiết không giới hạn.
Câu 59
Lời giải
Bạn cần đăng ký gói VIP ( giá chỉ từ 199K ) để làm bài, xem đáp án và lời giải chi tiết không giới hạn.
Câu 60
Lời giải
Bạn cần đăng ký gói VIP ( giá chỉ từ 199K ) để làm bài, xem đáp án và lời giải chi tiết không giới hạn.
Câu 61
Lời giải
Bạn cần đăng ký gói VIP ( giá chỉ từ 199K ) để làm bài, xem đáp án và lời giải chi tiết không giới hạn.
Câu 62
Lời giải
Bạn cần đăng ký gói VIP ( giá chỉ từ 199K ) để làm bài, xem đáp án và lời giải chi tiết không giới hạn.
Câu 63
Lời giải
Bạn cần đăng ký gói VIP ( giá chỉ từ 199K ) để làm bài, xem đáp án và lời giải chi tiết không giới hạn.
Câu 64
Lời giải
Bạn cần đăng ký gói VIP ( giá chỉ từ 199K ) để làm bài, xem đáp án và lời giải chi tiết không giới hạn.
Câu 65
Lời giải
Bạn cần đăng ký gói VIP ( giá chỉ từ 199K ) để làm bài, xem đáp án và lời giải chi tiết không giới hạn.
Câu 66
A. văn học dân gian.
B. văn học viết.
Lời giải
Bạn cần đăng ký gói VIP ( giá chỉ từ 199K ) để làm bài, xem đáp án và lời giải chi tiết không giới hạn.
Lời giải
Bạn cần đăng ký gói VIP ( giá chỉ từ 199K ) để làm bài, xem đáp án và lời giải chi tiết không giới hạn.
Câu 68
Lời giải
Bạn cần đăng ký gói VIP ( giá chỉ từ 199K ) để làm bài, xem đáp án và lời giải chi tiết không giới hạn.
Câu 69
Lời giải
Bạn cần đăng ký gói VIP ( giá chỉ từ 199K ) để làm bài, xem đáp án và lời giải chi tiết không giới hạn.
Lời giải
Bạn cần đăng ký gói VIP ( giá chỉ từ 199K ) để làm bài, xem đáp án và lời giải chi tiết không giới hạn.
Câu 71
Lời giải
Bạn cần đăng ký gói VIP ( giá chỉ từ 199K ) để làm bài, xem đáp án và lời giải chi tiết không giới hạn.
Câu 72
A. Ẩn dụ, câu hỏi tu từ.
B. Nhân hoá, ẩn dụ.
Lời giải
Bạn cần đăng ký gói VIP ( giá chỉ từ 199K ) để làm bài, xem đáp án và lời giải chi tiết không giới hạn.
Câu 73
Lời giải
Bạn cần đăng ký gói VIP ( giá chỉ từ 199K ) để làm bài, xem đáp án và lời giải chi tiết không giới hạn.
Câu 74
Lời giải
Bạn cần đăng ký gói VIP ( giá chỉ từ 199K ) để làm bài, xem đáp án và lời giải chi tiết không giới hạn.
Câu 75
Lời giải
Bạn cần đăng ký gói VIP ( giá chỉ từ 199K ) để làm bài, xem đáp án và lời giải chi tiết không giới hạn.
Câu 76
A. Xúc cảm say sưa ngợi ca đất nước.
B. Niềm xúc động, ngậm ngùi.
Lời giải
Bạn cần đăng ký gói VIP ( giá chỉ từ 199K ) để làm bài, xem đáp án và lời giải chi tiết không giới hạn.
Lời giải
Bạn cần đăng ký gói VIP ( giá chỉ từ 199K ) để làm bài, xem đáp án và lời giải chi tiết không giới hạn.
Câu 78
B. Đoạn kết thúc đã giải thích vì sao dòng sông lại có tên là Hương, một nhan đề đầy bí ẩn, gợi trí tò mò của người đọc.
Lời giải
Bạn cần đăng ký gói VIP ( giá chỉ từ 199K ) để làm bài, xem đáp án và lời giải chi tiết không giới hạn.
Câu 79
Lời giải
Bạn cần đăng ký gói VIP ( giá chỉ từ 199K ) để làm bài, xem đáp án và lời giải chi tiết không giới hạn.
Câu 80
Lời giải
Bạn cần đăng ký gói VIP ( giá chỉ từ 199K ) để làm bài, xem đáp án và lời giải chi tiết không giới hạn.
Lời giải
Bạn cần đăng ký gói VIP ( giá chỉ từ 199K ) để làm bài, xem đáp án và lời giải chi tiết không giới hạn.
Câu 82
Đọc đoạn trích sau đây và trả lời câu hỏi:
Trong từng vó ngựa tuần tra
Nòng súng chán làm sắt thép
Muốn thành cây để trổ hoa
Con suối riu riu trầm mặc
Đá hóa chàng trai mộng mơ
Cỏ cây rực màu thiếu nữ
Rừng buông sương tím ỡm ờ...
(Trần Đăng Khoa, Tây Bắc, https://ct.qdnd.vn)
Biện pháp tu từ nào được sử dụng trong câu thơ in đậm?
Đọc đoạn trích sau đây và trả lời câu hỏi:
Trong từng vó ngựa tuần tra
Nòng súng chán làm sắt thép
Muốn thành cây để trổ hoa
Con suối riu riu trầm mặc
Đá hóa chàng trai mộng mơ
Cỏ cây rực màu thiếu nữ
Rừng buông sương tím ỡm ờ...
(Trần Đăng Khoa, Tây Bắc, https://ct.qdnd.vn)
Biện pháp tu từ nào được sử dụng trong câu thơ in đậm?
Lời giải
Bạn cần đăng ký gói VIP ( giá chỉ từ 199K ) để làm bài, xem đáp án và lời giải chi tiết không giới hạn.
Lời giải
Bạn cần đăng ký gói VIP ( giá chỉ từ 199K ) để làm bài, xem đáp án và lời giải chi tiết không giới hạn.
Câu 84
Lời giải
Bạn cần đăng ký gói VIP ( giá chỉ từ 199K ) để làm bài, xem đáp án và lời giải chi tiết không giới hạn.
Câu 85
Lời giải
Bạn cần đăng ký gói VIP ( giá chỉ từ 199K ) để làm bài, xem đáp án và lời giải chi tiết không giới hạn.
Câu 86
Lời giải
Bạn cần đăng ký gói VIP ( giá chỉ từ 199K ) để làm bài, xem đáp án và lời giải chi tiết không giới hạn.
Lời giải
Bạn cần đăng ký gói VIP ( giá chỉ từ 199K ) để làm bài, xem đáp án và lời giải chi tiết không giới hạn.
Câu 88
Lời giải
Bạn cần đăng ký gói VIP ( giá chỉ từ 199K ) để làm bài, xem đáp án và lời giải chi tiết không giới hạn.
Câu 89
Lời giải
Bạn cần đăng ký gói VIP ( giá chỉ từ 199K ) để làm bài, xem đáp án và lời giải chi tiết không giới hạn.
Câu 90
Lời giải
Bạn cần đăng ký gói VIP ( giá chỉ từ 199K ) để làm bài, xem đáp án và lời giải chi tiết không giới hạn.
Câu 91
Lời giải
Bạn cần đăng ký gói VIP ( giá chỉ từ 199K ) để làm bài, xem đáp án và lời giải chi tiết không giới hạn.
Câu 92
Lời giải
Bạn cần đăng ký gói VIP ( giá chỉ từ 199K ) để làm bài, xem đáp án và lời giải chi tiết không giới hạn.
Lời giải
Bạn cần đăng ký gói VIP ( giá chỉ từ 199K ) để làm bài, xem đáp án và lời giải chi tiết không giới hạn.
Câu 94
Lời giải
Bạn cần đăng ký gói VIP ( giá chỉ từ 199K ) để làm bài, xem đáp án và lời giải chi tiết không giới hạn.
Câu 95
Lời giải
Bạn cần đăng ký gói VIP ( giá chỉ từ 199K ) để làm bài, xem đáp án và lời giải chi tiết không giới hạn.
Câu 96
Lời giải
Bạn cần đăng ký gói VIP ( giá chỉ từ 199K ) để làm bài, xem đáp án và lời giải chi tiết không giới hạn.
Câu 97
Lời giải
Bạn cần đăng ký gói VIP ( giá chỉ từ 199K ) để làm bài, xem đáp án và lời giải chi tiết không giới hạn.
Lời giải
Bạn cần đăng ký gói VIP ( giá chỉ từ 199K ) để làm bài, xem đáp án và lời giải chi tiết không giới hạn.
Câu 99
B. sự khử ion \(N{a^ + }.\)
Lời giải
Bạn cần đăng ký gói VIP ( giá chỉ từ 199K ) để làm bài, xem đáp án và lời giải chi tiết không giới hạn.
Lời giải
Bạn cần đăng ký gói VIP ( giá chỉ từ 199K ) để làm bài, xem đáp án và lời giải chi tiết không giới hạn.
Lời giải
Bạn cần đăng ký gói VIP ( giá chỉ từ 199K ) để làm bài, xem đáp án và lời giải chi tiết không giới hạn.
Lời giải
Bạn cần đăng ký gói VIP ( giá chỉ từ 199K ) để làm bài, xem đáp án và lời giải chi tiết không giới hạn.
Câu 103
Lời giải
Bạn cần đăng ký gói VIP ( giá chỉ từ 199K ) để làm bài, xem đáp án và lời giải chi tiết không giới hạn.
Câu 104
A. Phương pháp kết tinh.
B. Phương pháp sắc kí cột.
Lời giải
Bạn cần đăng ký gói VIP ( giá chỉ từ 199K ) để làm bài, xem đáp án và lời giải chi tiết không giới hạn.
Câu 105
Lời giải
Bạn cần đăng ký gói VIP ( giá chỉ từ 199K ) để làm bài, xem đáp án và lời giải chi tiết không giới hạn.
Câu 106
Lời giải
Bạn cần đăng ký gói VIP ( giá chỉ từ 199K ) để làm bài, xem đáp án và lời giải chi tiết không giới hạn.
Câu 107
Aspirin được sử dụng làm thuốc giảm đau, hạ sốt. Cấu tạo của aspirin được cho trong hình minh họa.

Một học sinh viết báo cáo về cấu trúc và tính chất của aspirin như sau:
(1) Aspirin là acid đa chức.
(2) 1 mol aspirin có thể phản ứng với tối đa 2 mol NaOH.
(3) Aspirin tan trong dung dịch NaOH tốt hơn trong nước.
(4) Aspirin không phản ứng với thuốc thử Tollens.
Trong số các phát biểu trên, các phát biểu đúng là
Lời giải
Bạn cần đăng ký gói VIP ( giá chỉ từ 199K ) để làm bài, xem đáp án và lời giải chi tiết không giới hạn.
Lời giải
Bạn cần đăng ký gói VIP ( giá chỉ từ 199K ) để làm bài, xem đáp án và lời giải chi tiết không giới hạn.
Câu 109
Poly(ethylene terephthalate) viết tắt là PET, là một polymer được điều chế từ terephthalic acid và ethylene glycol. PET có công thức cấu tạo như sau:
Cho các phát biểu sau:
(1) Tơ được chế tạo từ PET thuộc loại tơ tổng hợp.
(2) Phản ứng tổng hợp PET từ terephthalic acid và ethylene glycol thuộc loại phản ứng trùng hợp.
(3) 1 mol terephthalic acid phản ứng với dung dịch \(NaHC{O_3}\)dư sinh ra tối đa 1 mol \(C{O_2}.\)
(4) PET có khả năng chống chịu tốt với alcohol, hydrocarbon no, dầu, mỡ và acid loãng, chống chịu vừa phải với kiềm loãng, hydrocarbon thơm và halogen hóa.
Trong các phát biểu trên, phát biểu đúng là
Poly(ethylene terephthalate) viết tắt là PET, là một polymer được điều chế từ terephthalic acid và ethylene glycol. PET có công thức cấu tạo như sau:

Cho các phát biểu sau:
(1) Tơ được chế tạo từ PET thuộc loại tơ tổng hợp.
(2) Phản ứng tổng hợp PET từ terephthalic acid và ethylene glycol thuộc loại phản ứng trùng hợp.
(3) 1 mol terephthalic acid phản ứng với dung dịch \(NaHC{O_3}\)dư sinh ra tối đa 1 mol \(C{O_2}.\)
(4) PET có khả năng chống chịu tốt với alcohol, hydrocarbon no, dầu, mỡ và acid loãng, chống chịu vừa phải với kiềm loãng, hydrocarbon thơm và halogen hóa.
Trong các phát biểu trên, phát biểu đúng là
Lời giải
Bạn cần đăng ký gói VIP ( giá chỉ từ 199K ) để làm bài, xem đáp án và lời giải chi tiết không giới hạn.
Câu 110
Lời giải
Bạn cần đăng ký gói VIP ( giá chỉ từ 199K ) để làm bài, xem đáp án và lời giải chi tiết không giới hạn.
Câu 111
Lời giải
Bạn cần đăng ký gói VIP ( giá chỉ từ 199K ) để làm bài, xem đáp án và lời giải chi tiết không giới hạn.
Câu 112
Lời giải
Bạn cần đăng ký gói VIP ( giá chỉ từ 199K ) để làm bài, xem đáp án và lời giải chi tiết không giới hạn.
Câu 113
Lời giải
Bạn cần đăng ký gói VIP ( giá chỉ từ 199K ) để làm bài, xem đáp án và lời giải chi tiết không giới hạn.
Câu 114
Lời giải
Bạn cần đăng ký gói VIP ( giá chỉ từ 199K ) để làm bài, xem đáp án và lời giải chi tiết không giới hạn.
Câu 115
Lời giải
Bạn cần đăng ký gói VIP ( giá chỉ từ 199K ) để làm bài, xem đáp án và lời giải chi tiết không giới hạn.
Câu 116
Lời giải
Bạn cần đăng ký gói VIP ( giá chỉ từ 199K ) để làm bài, xem đáp án và lời giải chi tiết không giới hạn.
Câu 117
Lời giải
Bạn cần đăng ký gói VIP ( giá chỉ từ 199K ) để làm bài, xem đáp án và lời giải chi tiết không giới hạn.
Câu 118
Lời giải
Bạn cần đăng ký gói VIP ( giá chỉ từ 199K ) để làm bài, xem đáp án và lời giải chi tiết không giới hạn.
Câu 119
Lời giải
Bạn cần đăng ký gói VIP ( giá chỉ từ 199K ) để làm bài, xem đáp án và lời giải chi tiết không giới hạn.
Câu 120
Lời giải
Bạn cần đăng ký gói VIP ( giá chỉ từ 199K ) để làm bài, xem đáp án và lời giải chi tiết không giới hạn.
Câu 121
Lời giải
Bạn cần đăng ký gói VIP ( giá chỉ từ 199K ) để làm bài, xem đáp án và lời giải chi tiết không giới hạn.
Lời giải
Bạn cần đăng ký gói VIP ( giá chỉ từ 199K ) để làm bài, xem đáp án và lời giải chi tiết không giới hạn.
Câu 123
Lời giải
Bạn cần đăng ký gói VIP ( giá chỉ từ 199K ) để làm bài, xem đáp án và lời giải chi tiết không giới hạn.
Lời giải
Bạn cần đăng ký gói VIP ( giá chỉ từ 199K ) để làm bài, xem đáp án và lời giải chi tiết không giới hạn.
Câu 125
Lời giải
Bạn cần đăng ký gói VIP ( giá chỉ từ 199K ) để làm bài, xem đáp án và lời giải chi tiết không giới hạn.
Câu 126
Lời giải
Bạn cần đăng ký gói VIP ( giá chỉ từ 199K ) để làm bài, xem đáp án và lời giải chi tiết không giới hạn.
Câu 127
Lời giải
Bạn cần đăng ký gói VIP ( giá chỉ từ 199K ) để làm bài, xem đáp án và lời giải chi tiết không giới hạn.
Câu 128
Lời giải
Bạn cần đăng ký gói VIP ( giá chỉ từ 199K ) để làm bài, xem đáp án và lời giải chi tiết không giới hạn.
Câu 129
A. Chiến tranh lạnh đã chấm dứt.
B. Trật tự thế giới hai cực Ianta sụp đổ.
Lời giải
Bạn cần đăng ký gói VIP ( giá chỉ từ 199K ) để làm bài, xem đáp án và lời giải chi tiết không giới hạn.
Câu 130
Lời giải
Bạn cần đăng ký gói VIP ( giá chỉ từ 199K ) để làm bài, xem đáp án và lời giải chi tiết không giới hạn.
Câu 131
Lời giải
Bạn cần đăng ký gói VIP ( giá chỉ từ 199K ) để làm bài, xem đáp án và lời giải chi tiết không giới hạn.
Câu 132
Lời giải
Bạn cần đăng ký gói VIP ( giá chỉ từ 199K ) để làm bài, xem đáp án và lời giải chi tiết không giới hạn.
Câu 133
A. Bãi Cát Vàng.
B. Vạn Lý Hoàng Sa.
Lời giải
Bạn cần đăng ký gói VIP ( giá chỉ từ 199K ) để làm bài, xem đáp án và lời giải chi tiết không giới hạn.
Lời giải
Bạn cần đăng ký gói VIP ( giá chỉ từ 199K ) để làm bài, xem đáp án và lời giải chi tiết không giới hạn.
Câu 135
Lời giải
Bạn cần đăng ký gói VIP ( giá chỉ từ 199K ) để làm bài, xem đáp án và lời giải chi tiết không giới hạn.
Câu 136
A. lớp vỏ địa lí với vỏ của Trái Đất.
B. các bộ phận lãnh thổ của vỏ địa lí.
Lời giải
Bạn cần đăng ký gói VIP ( giá chỉ từ 199K ) để làm bài, xem đáp án và lời giải chi tiết không giới hạn.
Câu 137
A. tổ chức ở trình độ thấp.
B. các thành phố vừa và lớn.
Lời giải
Bạn cần đăng ký gói VIP ( giá chỉ từ 199K ) để làm bài, xem đáp án và lời giải chi tiết không giới hạn.
Câu 138
Lời giải
Bạn cần đăng ký gói VIP ( giá chỉ từ 199K ) để làm bài, xem đáp án và lời giải chi tiết không giới hạn.
Câu 139
C. khí hậu khô hạn, ít mưa.
Lời giải
Bạn cần đăng ký gói VIP ( giá chỉ từ 199K ) để làm bài, xem đáp án và lời giải chi tiết không giới hạn.
Câu 140
Lời giải
Bạn cần đăng ký gói VIP ( giá chỉ từ 199K ) để làm bài, xem đáp án và lời giải chi tiết không giới hạn.
Câu 141
Lời giải
Bạn cần đăng ký gói VIP ( giá chỉ từ 199K ) để làm bài, xem đáp án và lời giải chi tiết không giới hạn.
Câu 142
Lời giải
Bạn cần đăng ký gói VIP ( giá chỉ từ 199K ) để làm bài, xem đáp án và lời giải chi tiết không giới hạn.
Câu 143
Lời giải
Bạn cần đăng ký gói VIP ( giá chỉ từ 199K ) để làm bài, xem đáp án và lời giải chi tiết không giới hạn.
Câu 145
Lời giải
Bạn cần đăng ký gói VIP ( giá chỉ từ 199K ) để làm bài, xem đáp án và lời giải chi tiết không giới hạn.
Câu 146
Lời giải
Bạn cần đăng ký gói VIP ( giá chỉ từ 199K ) để làm bài, xem đáp án và lời giải chi tiết không giới hạn.
Lời giải
Bạn cần đăng ký gói VIP ( giá chỉ từ 199K ) để làm bài, xem đáp án và lời giải chi tiết không giới hạn.
Câu 148
Lời giải
Bạn cần đăng ký gói VIP ( giá chỉ từ 199K ) để làm bài, xem đáp án và lời giải chi tiết không giới hạn.
Câu 149
Lời giải
Bạn cần đăng ký gói VIP ( giá chỉ từ 199K ) để làm bài, xem đáp án và lời giải chi tiết không giới hạn.
Câu 150
Lời giải
Bạn cần đăng ký gói VIP ( giá chỉ từ 199K ) để làm bài, xem đáp án và lời giải chi tiết không giới hạn.
Câu 151
Lời giải
Bạn cần đăng ký gói VIP ( giá chỉ từ 199K ) để làm bài, xem đáp án và lời giải chi tiết không giới hạn.
Câu 152
Lời giải
Bạn cần đăng ký gói VIP ( giá chỉ từ 199K ) để làm bài, xem đáp án và lời giải chi tiết không giới hạn.
Câu 153
Lời giải
Bạn cần đăng ký gói VIP ( giá chỉ từ 199K ) để làm bài, xem đáp án và lời giải chi tiết không giới hạn.
Câu 154
Lời giải
Bạn cần đăng ký gói VIP ( giá chỉ từ 199K ) để làm bài, xem đáp án và lời giải chi tiết không giới hạn.
Câu 155
Lời giải
Bạn cần đăng ký gói VIP ( giá chỉ từ 199K ) để làm bài, xem đáp án và lời giải chi tiết không giới hạn.
Câu 156
Lời giải
Bạn cần đăng ký gói VIP ( giá chỉ từ 199K ) để làm bài, xem đáp án và lời giải chi tiết không giới hạn.
Câu 157
Lời giải
Bạn cần đăng ký gói VIP ( giá chỉ từ 199K ) để làm bài, xem đáp án và lời giải chi tiết không giới hạn.
Câu 158
Lời giải
Bạn cần đăng ký gói VIP ( giá chỉ từ 199K ) để làm bài, xem đáp án và lời giải chi tiết không giới hạn.
Câu 159
A. Keep an eye on.
Lời giải
Bạn cần đăng ký gói VIP ( giá chỉ từ 199K ) để làm bài, xem đáp án và lời giải chi tiết không giới hạn.
Câu 160
Lời giải
Bạn cần đăng ký gói VIP ( giá chỉ từ 199K ) để làm bài, xem đáp án và lời giải chi tiết không giới hạn.
Câu 161
Lời giải
Bạn cần đăng ký gói VIP ( giá chỉ từ 199K ) để làm bài, xem đáp án và lời giải chi tiết không giới hạn.
Câu 162
Lời giải
Bạn cần đăng ký gói VIP ( giá chỉ từ 199K ) để làm bài, xem đáp án và lời giải chi tiết không giới hạn.
Câu 163
A. let your hair down.
Lời giải
Bạn cần đăng ký gói VIP ( giá chỉ từ 199K ) để làm bài, xem đáp án và lời giải chi tiết không giới hạn.
Câu 164
A. I know, I found some great deals too.
B. The mall’s always too crowded for me.
Lời giải
Bạn cần đăng ký gói VIP ( giá chỉ từ 199K ) để làm bài, xem đáp án và lời giải chi tiết không giới hạn.
Câu 165
A. I’m not sure that I agree.
B. No doubt about it.
Lời giải
Bạn cần đăng ký gói VIP ( giá chỉ từ 199K ) để làm bài, xem đáp án và lời giải chi tiết không giới hạn.
Câu 166
A. You’ve got a change of heart.
B. You’ve got a change of tune.
Lời giải
Bạn cần đăng ký gói VIP ( giá chỉ từ 199K ) để làm bài, xem đáp án và lời giải chi tiết không giới hạn.
Câu 167
A. It wasn’t my responsibility to remember.
B. But isn’t this that different approach?.
Lời giải
Bạn cần đăng ký gói VIP ( giá chỉ từ 199K ) để làm bài, xem đáp án và lời giải chi tiết không giới hạn.
Câu 168
Lời giải
Bạn cần đăng ký gói VIP ( giá chỉ từ 199K ) để làm bài, xem đáp án và lời giải chi tiết không giới hạn.
Câu 169
Lời giải
Bạn cần đăng ký gói VIP ( giá chỉ từ 199K ) để làm bài, xem đáp án và lời giải chi tiết không giới hạn.
Câu 170
Lời giải
Bạn cần đăng ký gói VIP ( giá chỉ từ 199K ) để làm bài, xem đáp án và lời giải chi tiết không giới hạn.
Câu 171
Lời giải
Bạn cần đăng ký gói VIP ( giá chỉ từ 199K ) để làm bài, xem đáp án và lời giải chi tiết không giới hạn.
Câu 172
Lời giải
Bạn cần đăng ký gói VIP ( giá chỉ từ 199K ) để làm bài, xem đáp án và lời giải chi tiết không giới hạn.
Câu 173
Lời giải
Bạn cần đăng ký gói VIP ( giá chỉ từ 199K ) để làm bài, xem đáp án và lời giải chi tiết không giới hạn.
Câu 174
Lời giải
Bạn cần đăng ký gói VIP ( giá chỉ từ 199K ) để làm bài, xem đáp án và lời giải chi tiết không giới hạn.
Câu 175
Lời giải
Bạn cần đăng ký gói VIP ( giá chỉ từ 199K ) để làm bài, xem đáp án và lời giải chi tiết không giới hạn.
Câu 176
Lời giải
Bạn cần đăng ký gói VIP ( giá chỉ từ 199K ) để làm bài, xem đáp án và lời giải chi tiết không giới hạn.
Câu 177
Lời giải
Bạn cần đăng ký gói VIP ( giá chỉ từ 199K ) để làm bài, xem đáp án và lời giải chi tiết không giới hạn.
Câu 178
Lời giải
Bạn cần đăng ký gói VIP ( giá chỉ từ 199K ) để làm bài, xem đáp án và lời giải chi tiết không giới hạn.
Câu 179
Lời giải
Bạn cần đăng ký gói VIP ( giá chỉ từ 199K ) để làm bài, xem đáp án và lời giải chi tiết không giới hạn.
Câu 180
Lời giải
Bạn cần đăng ký gói VIP ( giá chỉ từ 199K ) để làm bài, xem đáp án và lời giải chi tiết không giới hạn.
Câu 181
Lời giải
Bạn cần đăng ký gói VIP ( giá chỉ từ 199K ) để làm bài, xem đáp án và lời giải chi tiết không giới hạn.
Câu 182
Lời giải
Bạn cần đăng ký gói VIP ( giá chỉ từ 199K ) để làm bài, xem đáp án và lời giải chi tiết không giới hạn.
Câu 183
Lời giải
Bạn cần đăng ký gói VIP ( giá chỉ từ 199K ) để làm bài, xem đáp án và lời giải chi tiết không giới hạn.
Câu 184
Lời giải
Bạn cần đăng ký gói VIP ( giá chỉ từ 199K ) để làm bài, xem đáp án và lời giải chi tiết không giới hạn.
Đoạn văn 1
Một loạt đạn súng lớn văng vẳng dội đến ầm ĩ trên ngọn cây. Rồi loạt thứ hai...Việt ngóc dậy. Rõ ràng không phải tiếng pháo lễnh lãng của giặc. Đó là những tiếng nổ quen thuộc, gom vào một chỗ, lớn nhỏ không đều, chen vào đó là những dây súng nổ vô hồi vô tận. Súng lớn và súng nhỏ quyện vào nhau như tiếng mõ và tiếng trống đình đánh dậy trời đất hồi Đồng khởi. Đúng súng của ta rồi! Việt muốn reo lên. Anh Tánh chắc ở đó, đơn vị mình ở đó. Chà, nổ dữ, phải chuẩn bị lựu đạn xung phong thôi! Đó, lại tiếng hụp hùm... chắc là một xe bọc thép vừa bị ta bắn cháy. Tiếng súng nghe thân thiết và vui lạ. Những khuôn mặt anh em mình lại hiện ra...Cái cằm nhọn hoắt ra của anh Tánh, nụ cười và cái nheo mắt của anh Công mỗi lần anh động viên Việt tiến lên...Việt vẫn còn đây, nguyên tại vị trí này, đạn đã lên nòng, ngón cái còn lại vẫn sẵn sàng nổ súng. Các anh chờ Việt một chút. Tiếng máy bay vẫn gầm rú hỗn loạn trên cao, nhưng mặc xác chúng. Kèn xung phong của chúng ta đã nổi lên. Lựu đạn ta đang nổ rộ...
(Những đứa con trong gia đình – Nguyễn Thi)
Câu 185
Lời giải
Bạn cần đăng ký gói VIP ( giá chỉ từ 199K ) để làm bài, xem đáp án và lời giải chi tiết không giới hạn.
Câu 186
Lời giải
Bạn cần đăng ký gói VIP ( giá chỉ từ 199K ) để làm bài, xem đáp án và lời giải chi tiết không giới hạn.
Câu 187
Lời giải
Bạn cần đăng ký gói VIP ( giá chỉ từ 199K ) để làm bài, xem đáp án và lời giải chi tiết không giới hạn.
Câu 188
Lời giải
Bạn cần đăng ký gói VIP ( giá chỉ từ 199K ) để làm bài, xem đáp án và lời giải chi tiết không giới hạn.
Đoạn văn 2
Văn hoá đọc là một khái niệm có hai nghĩa, một nghĩa rộng và một nghĩa hẹp. Ở nghĩa rộng, đó là ứng xử đọc, giá trị đọc và chuẩn mực đọc của mỗi cá nhân, của cộng đồng xã hội và của các nhà quản lí và cơ quan quản lí nhà nước. Như vậy, văn hoá đọc ở nghĩa rộng là sự hợp thành của ba yếu tố, hay chính xác hơn là ba lớp như ba vòng tròn không đồng tâm, ba vòng tròn giao nhau. Còn ở nghĩa hẹp, đó là ứng xử, giá trị và chuẩn mực đọc của mỗi cá nhân. Ứng xử, giá trị và chuẩn mực này cũng gồm ba thành phần: thói quen đọc, sở thích đọc và kĩ năng đọc. Ba thành phần này cũng là ba vòng tròn không đồng tâm, ba vòng tròn giao nhau.
Muốn phát triển nền văn hoá đọc phải phát triển ứng xử, giá trị và chuẩn mực đọc lành mạnh của các nhà quản lí và cơ quan quản lí nhà nước, của cộng đồng xã hội và của mỗi cá nhân trong xã hội. Nhưng trọng tâm và là mục đích cuối cùng của phát triển văn hoá đọc chính là phát triển ứng xử, giá trị và chuẩn mực đọc lành mạnh của mỗi thành viên trong xã hội. Ứng xử, giá trị và chuẩn mực đọc lành mạnh của mỗi cá nhân trong xã hội là thói quen đọc, sở thích đọc và kĩ năng đọc lành mạnh của họ. Đó chính là nền tảng của một xã hội học tập, của việc học suốt đời, một yêu cầu cũng là một thách thức của xã hội hiện đại.
Để hiểu sâu hơn về văn hoá đọc, chúng ta sẽ đi sâu vào từng nghĩa rộng và hẹp của khái niệm. Văn hoá đọc ở nghĩa rộng là ứng xử, giá trị và chuẩn mực đọc của các nhà quản lí và cơ quan quản lí nhà nước, ứng xử đọc của cộng đồng xã hội và ứng xử đọc của mỗi cá nhân trong xã hội.
Ứng xử, giá trị và chuẩn mực đọc của các nhà quản lí và cơ quan quản lí nhà nước là chính sách, đường lối và ứng xử hàng ngày nhằm phát triển nền văn hoá đọc. Các hoạt động này đều nhằm tạo ra hành lang pháp lí phát triển tài liệu đọc có giá trị và lành mạnh cho mọi người đọc khác nhau và sự thuận tiện của tài liệu đọc đến với người đọc (thông qua các loại cửa hàng sách và các loại hình thư viện, phòng đọc sách). Nghĩa là người đọc, không phân biệt giàu nghèo, không phân biệt tuổi tác, không phân biệt nơi cư trú đều dễ dàng tiếp cận đến những tài liệu đọc giá trị họ mong muốn, để họ có cơ hội cải thiện chính cuộc sống của họ.
(Văn hóa đọc và phát triển văn hóa đọc ở Việt Nam – Thư viện Quốc gia Việt Nam)
Câu 189
A. Biểu cảm và thuyết minh.
B. Nghị luận và biểu cảm.
Lời giải
Bạn cần đăng ký gói VIP ( giá chỉ từ 199K ) để làm bài, xem đáp án và lời giải chi tiết không giới hạn.
Câu 190
Lời giải
Bạn cần đăng ký gói VIP ( giá chỉ từ 199K ) để làm bài, xem đáp án và lời giải chi tiết không giới hạn.
Câu 191
Lời giải
Bạn cần đăng ký gói VIP ( giá chỉ từ 199K ) để làm bài, xem đáp án và lời giải chi tiết không giới hạn.
Câu 192
Lời giải
Bạn cần đăng ký gói VIP ( giá chỉ từ 199K ) để làm bài, xem đáp án và lời giải chi tiết không giới hạn.
Đoạn văn 3
Trước ngày 9 tháng 3, biết bao lần Việt Minh đã kêu gọi người Pháp liên minh để chống Nhật. Bọn thực dân Pháp đã không đáp ứng lại thẳng tay khủng bố Việt Minh hơn nữa. Thậm chí đến khi thua chạy, chúng còn nhẫn tâm giết nốt số đông tù chính trị ở Yên Bái và Cao Bằng.
Tuy vậy, đối với người Pháp, đồng bào ta vẫn giữ một thái độ khoan hồng và nhân đạo. Sau cuộc biến động ngày 9 tháng 3, Việt Minh đã giúp cho nhiều người Pháp chạy qua biên thùy, lại cứu cho nhiều người Pháp ra khỏi nhà giam Nhật và bảo vệ tính mạng và tài sản cho họ.
Sự thật là từ mùa thu năm 1940, nước ta đã thành thuộc địa của Nhật, chứ không phải thuộc địa của Pháp nữa. Khi Nhật hàng Đồng minh thì nhân dân cả nước ta đã nổi dậy giành chính quyền, lập nên nước Việt Nam Dân chủ Cộng hòa.
(Tuyên ngôn độc lập – Hồ Chí Minh)
Câu 193
Lời giải
Bạn cần đăng ký gói VIP ( giá chỉ từ 199K ) để làm bài, xem đáp án và lời giải chi tiết không giới hạn.
Câu 194
Lời giải
Bạn cần đăng ký gói VIP ( giá chỉ từ 199K ) để làm bài, xem đáp án và lời giải chi tiết không giới hạn.
Câu 195
B. Phân tích, bình luận.
Lời giải
Bạn cần đăng ký gói VIP ( giá chỉ từ 199K ) để làm bài, xem đáp án và lời giải chi tiết không giới hạn.
Câu 196
Lời giải
Bạn cần đăng ký gói VIP ( giá chỉ từ 199K ) để làm bài, xem đáp án và lời giải chi tiết không giới hạn.
Câu 197
Lời giải
Bạn cần đăng ký gói VIP ( giá chỉ từ 199K ) để làm bài, xem đáp án và lời giải chi tiết không giới hạn.
Đoạn văn 4
…Ta đi ta nhớ những ngày
Mình đây ta đó, đắng cay ngọt bùi…
Thương nhau, chia củ sắn lùi
Bát cơm sẻ nửa, chăn sui đắp cùng.
Nhớ người mẹ nắng cháy lưng
Địu con lên rẫy, bẻ từng bắp ngô.
Nhớ sao lớp học i tờ
Đồng khuya đuốc sáng những giờ liên hoan
Nhớ sao ngày tháng cơ quan
Gian nan đời vẫn ca vang núi đèo.
Nhớ sao tiếng mõ rừng chiều
Chày đêm nện cối đều đều suối xa…
(Trích Việt Bắc – Tố Hữu)
Câu 198
Lời giải
Bạn cần đăng ký gói VIP ( giá chỉ từ 199K ) để làm bài, xem đáp án và lời giải chi tiết không giới hạn.
Câu 199
Lời giải
Bạn cần đăng ký gói VIP ( giá chỉ từ 199K ) để làm bài, xem đáp án và lời giải chi tiết không giới hạn.
Câu 200
Lời giải
Bạn cần đăng ký gói VIP ( giá chỉ từ 199K ) để làm bài, xem đáp án và lời giải chi tiết không giới hạn.
Câu 201
Lời giải
Bạn cần đăng ký gói VIP ( giá chỉ từ 199K ) để làm bài, xem đáp án và lời giải chi tiết không giới hạn.
Câu 202
Lời giải
Bạn cần đăng ký gói VIP ( giá chỉ từ 199K ) để làm bài, xem đáp án và lời giải chi tiết không giới hạn.
Đoạn văn 5
Sơ đồ của máy lọc bụi được trình bày bên hình dưới đây. Không khí có nhiều bụi, được hút vào máy qua lớp lọc bụi thông thường. Tại đây, các hạt bụi có kích thước lớn bị gạt lại. Dòng không khí có lẫn các hạt bụi có kích thước nhỏ vẫn bay lên. Hai lưới 1 và 2 thực chất là 2 điện cực: lưới 1 là điện cực dương, lưới 2 là điện cực âm. Khi bay qua lưới 1, các hạt bụi nhiễm điện dương. Do đó khi gặp lưới 2 nhiễm điện âm, các hạt bụi bị hút vào lưới. Vì vậy qua lưới 2 không khí đã được lọc sạch bụi. Sau đó có thể cho không khí đi qua lớp lọc bằng thanh để khử mùi. Bằng cách này có thể lọc đến 95% bụi trong không khí

Câu 203
Lời giải
Bạn cần đăng ký gói VIP ( giá chỉ từ 199K ) để làm bài, xem đáp án và lời giải chi tiết không giới hạn.
Lời giải
Bạn cần đăng ký gói VIP ( giá chỉ từ 199K ) để làm bài, xem đáp án và lời giải chi tiết không giới hạn.
Câu 205
Lời giải
Bạn cần đăng ký gói VIP ( giá chỉ từ 199K ) để làm bài, xem đáp án và lời giải chi tiết không giới hạn.
Đoạn văn 6
Phân đạm là tên gọi chung của các loại phân bón cung cấp đạm (nguyên tố nitrogen) – chất dinh dưỡng thiết yếu cho cây trồng. Nitrogen là nguyên tố tham gia vào thành phần chính của chlorophyll, protite, các amino acid, các enzymer và nhiều loại vitamin trong cây; tham gia vào thành phần của AND và ARN; có vai trò vô cùng quan trọng trong trao đổi chất của các cơ quan thực vật.
Bón phân đạm thúc đẩy quá trình tăng trưởng của cây, làm cho cây ra nhiều nhánh, phân cành, ra lá nhiều; lá cây có kích thước to, màu xanh; lá quang hợp mạnh, do đó làm tăng năng suất cây. Phân đạm cần cho cây trong suốt quá trình sinh trưởng, đặc biệt là giai đoạn cây sinh trưởng mạnh.
Câu 206
Lời giải
Bạn cần đăng ký gói VIP ( giá chỉ từ 199K ) để làm bài, xem đáp án và lời giải chi tiết không giới hạn.
Câu 207
Lời giải
Bạn cần đăng ký gói VIP ( giá chỉ từ 199K ) để làm bài, xem đáp án và lời giải chi tiết không giới hạn.
Câu 208
Lời giải
Bạn cần đăng ký gói VIP ( giá chỉ từ 199K ) để làm bài, xem đáp án và lời giải chi tiết không giới hạn.
Đoạn văn 7
Một đầm nước nông nuôi cá có ba bậc dinh dưỡng: Vi khuẩn lam và tảo (bậc 1); Động vật phù du (bậc 2); Tôm và cá nhỏ (bậc 3). Do nguồn chất khoáng tích tụ nhiều năm từ các chất ô nhiễm ở đáy đầm tạo cho vi khuẩn lam và tảo bùng phát gây hiện tượng phì dưỡng (phú dưỡng hóa). Khi số lượng vi khuẩn lam và tảo tăng quá nhanh dẫn tới dư thừa và chết hàng loạt. Do đó, xác các sinh vật bậc 1 chết gây thối rữa và giảm lượng oxi hòa tan nên môi trường nước trở nên ô nhiễm, làm chết các loài động vật nổi và các loài cá, tôm.
Câu 209
Lời giải
Bạn cần đăng ký gói VIP ( giá chỉ từ 199K ) để làm bài, xem đáp án và lời giải chi tiết không giới hạn.
Câu 210
A. Cạnh tranh khác loài.
B. Ức chế cảm nhiễm.
Lời giải
Bạn cần đăng ký gói VIP ( giá chỉ từ 199K ) để làm bài, xem đáp án và lời giải chi tiết không giới hạn.
Câu 211
Lời giải
Bạn cần đăng ký gói VIP ( giá chỉ từ 199K ) để làm bài, xem đáp án và lời giải chi tiết không giới hạn.
Đoạn văn 8
“Cuối năm 1974, đầu năm 1975, quân dân miền Nam mở đợt hoạt động quân sự ở vùng Đồng bằng sông Cửu Long và Đông Nam Bộ, giành thắng lợi quan trọng ở Đường 14-Phước Long (6-1-1975). Chiến thắng Đường 14-Phước Long cho thấy sự lớn mạnh và khả năng thắng lợi của Quân Giải phóng, sự suy yếu và bất lực của quân đội Sài Gòn và khả năng can thiệp trở lại của Mỹ là rất hạn chế. Trước tình hình đó, Bộ Chính trị Ban Chấp hành Trung ương Đảng đã bổ sung và hoàn chỉnh kế hoạch giải phóng miền Nam trong hai năm 1975 và 1976, đồng thời chỉ rõ: “Nếu thời cơ đến vào đầu hoặc cuối năm 1975 thì lập tức giải phóng miền Nam trong năm 1975".
Cuộc Tổng tiến công và nổi dậy Xuân 1975 diễn ra trong gần hai tháng, trải qua ba chiến dịch lớn.
Chiến dịch Tây Nguyên (4/3-24/3/1975): Quân Giải phóng giành thắng lợi trong trận then chốt Buôn Ma Thuột, khiến hệ thống phòng thủ của địch ở Tây Nguyên rung chuyển rồi sụp đổ. Chiến dịch Tây Nguyên thắng lợi đã chuyển cuộc kháng chiến chống Mỹ, cứu nước từ tiến công chiến lược sang tổng tiến công chiến lược trên toàn chiến trường miền Nam.
Chiến dịch Huế-Đà Nẵng (21/3-29/3/1975): Quân Giải phóng tiến công, giải phóng thành phố Huế, toàn tỉnh Thừa Thiên và Đà Nẵng, mở ra khả năng giải phóng hoàn toàn miền Nam ngay trong năm 1975.
Chiến dịch Hồ Chí Minh (26/4-30/4/1975): Quân Giải phóng tiến công, giải phóng Sài Gòn-Gia Định. Trưa ngày 30-4-1975, Dương Văn Minh tuyên bố đầu hàng không điều kiện, chiến dịch Hồ Chí Minh toàn thắng”.
(Nguồn: SGK Lịch sử 12-bộ sách Chân trời sáng tạo, trang 52)
Câu 212
Lời giải
Bạn cần đăng ký gói VIP ( giá chỉ từ 199K ) để làm bài, xem đáp án và lời giải chi tiết không giới hạn.
Câu 213
Lời giải
Bạn cần đăng ký gói VIP ( giá chỉ từ 199K ) để làm bài, xem đáp án và lời giải chi tiết không giới hạn.
Câu 214
A. quyết định thắng lợi.
B. mở đầu, xung kích.
Lời giải
Bạn cần đăng ký gói VIP ( giá chỉ từ 199K ) để làm bài, xem đáp án và lời giải chi tiết không giới hạn.
Đoạn văn 9
“Thắng lợi của cuộc đấu tranh bảo vệ Tổ quốc của quân dân Việt Nam từ sau tháng 4-1975 đến nay đã làm thất bại ý đồ và hành động xâm lược, chống phá Việt Nam của các thế lực thù địch; bảo vệ vững chắc độc lập, chủ quyền, thống nhất và toàn vẹn lãnh thổ quốc gia. Thắng lợi của cuộc đấu tranh bảo vệ Tổ quốc cũng tạo điều kiện thuận lợi cho sự nghiệp xây dựng chủ nghĩa xã hội trên phạm vi cả nước.
Với thắng lợi của cuộc chiến tranh bảo vệ Tổ quốc, Việt Nam đã làm tròn nghĩa vụ quốc tế đối với nhân dân Cam-pu-chia, đồng thời tích cực góp phần bảo vệ độc lập dân tộc, hoà bình ở Đông Dương và khu vực Đông Nam Á.”
(Nguồn: SGK Lịch sử 12-bộ sách Cánh diều, trang 57)Câu 215
A. xung đột, tranh chấp biên giới.
B. để xác lập địa vị số một châu Á.
Lời giải
Bạn cần đăng ký gói VIP ( giá chỉ từ 199K ) để làm bài, xem đáp án và lời giải chi tiết không giới hạn.
Câu 216
A. sự ủng hộ giúp đỡ của quốc tế.
B. quân đội Trung Quốc còn yếu.
Lời giải
Bạn cần đăng ký gói VIP ( giá chỉ từ 199K ) để làm bài, xem đáp án và lời giải chi tiết không giới hạn.
Câu 217
Lời giải
Bạn cần đăng ký gói VIP ( giá chỉ từ 199K ) để làm bài, xem đáp án và lời giải chi tiết không giới hạn.
Đoạn văn 10

(Nguồn: Atlat Địa lí Việt Nam, Nxb Giáo dục Việt Nam, 2024)
Câu 218
Lời giải
Bạn cần đăng ký gói VIP ( giá chỉ từ 199K ) để làm bài, xem đáp án và lời giải chi tiết không giới hạn.
Câu 219
Lời giải
Bạn cần đăng ký gói VIP ( giá chỉ từ 199K ) để làm bài, xem đáp án và lời giải chi tiết không giới hạn.
Lời giải
Bạn cần đăng ký gói VIP ( giá chỉ từ 199K ) để làm bài, xem đáp án và lời giải chi tiết không giới hạn.
Đoạn văn 11
It is natural for young people to be critical of their parents at times and to (631) _______ them for most of the misunderstandings between them. They have always complained, more or less justly, that their parents are old-fashioned, possessive and dominant; (632) _______ to deal with obstacles; that they talk too much about certain problems and that they have no (633) _______ of humor, at least in parent-child relationships. I think it is true that parents often underestimate their teenage children and also forget how they themselves felt when they were young.
Young people often irritate their parents with their choices in clothes and hairstyles, in entertainers and music. This is not their motive. They feel cut off from the adult world into which they have not yet been accepted. So they create a culture and society of their own. Then, if it turns out that their music or entertainers or vocabulary or clothes or (634) _______, this gives them additional enjoyment. They feel they are superior, at least in a small way, and that they are leaders in style and taste.
If you plan (635) _______ your life, co-operation can be part of that plan. You can charm others, especially parents, into doing things the ways you want, and impress others with your sense of responsibility and initiative, so that they will give you the authority to do what you want to do.
Câu 221
A. thank.
Lời giải
Bạn cần đăng ký gói VIP ( giá chỉ từ 199K ) để làm bài, xem đáp án và lời giải chi tiết không giới hạn.
Câu 222
A. that they do not trust their children.
B. that it does not trust their children.
Lời giải
Bạn cần đăng ký gói VIP ( giá chỉ từ 199K ) để làm bài, xem đáp án và lời giải chi tiết không giới hạn.
Câu 223
A. sense.
Lời giải
Bạn cần đăng ký gói VIP ( giá chỉ từ 199K ) để làm bài, xem đáp án và lời giải chi tiết không giới hạn.
Câu 224
A. their parents hairstyles irritate.
B. irritates their parents hairstyles.
Lời giải
Bạn cần đăng ký gói VIP ( giá chỉ từ 199K ) để làm bài, xem đáp án và lời giải chi tiết không giới hạn.
Câu 225
A. controlled.
Lời giải
Bạn cần đăng ký gói VIP ( giá chỉ từ 199K ) để làm bài, xem đáp án và lời giải chi tiết không giới hạn.
Đoạn văn 12
In today’s fast-paced industry, learning will most likely involve seeking new skills in ways that challenge the norm. But thankfully, there is a promise for such lifelong learning online - the promise that will save your time and money while helping you earn more of both.
Provided you have access to a decent computer and the Internet, the barrier to getting started is probably lower than it ever has been. And with those things in place, it is a matter of finding the content you wish to learn. So, to help others who may be looking to maximize their own learning efforts, I have listed some quick tips below.
First, set achievable goals. When you start learning, it is a good idea to set goals about what you want to learn or what you might do with your newly acquired knowledge. It might be landing that new job, building a tangible product, or impressing your current management. The goals may vary in size and complexity, but do revisit these goals throughout your learning process. Within a couple weeks, ask yourself: “Am I getting closer to my goal?” or “Am I learning the skills necessary to reach my goals?”. If you are not, then you may need to look elsewhere.
Second, learn with others. By yourself, learning anything has a high propensity to become frustrating. Try teaming up with friends or colleagues. They can often be your best resource for maintaining motivation while you learn.
Third, make it a habit. Online habits often include scrolling through social media or watching videos on YouTube. If you have the downtime for such activities, then you could spend that downtime learning something. And why not learn something? If you do, then you will have plenty more to talk about on social media anyways. So, make learning your new online habit by making a commitment to learn something new each day.
Câu 226
A. A smart phone and a 4-G sim card.
B. A computer and the Internet.
Lời giải
Bạn cần đăng ký gói VIP ( giá chỉ từ 199K ) để làm bài, xem đáp án và lời giải chi tiết không giới hạn.
Câu 227
A. industry and technology.
B. new skills and ways.
Lời giải
Bạn cần đăng ký gói VIP ( giá chỉ từ 199K ) để làm bài, xem đáp án và lời giải chi tiết không giới hạn.
Câu 228
Lời giải
Bạn cần đăng ký gói VIP ( giá chỉ từ 199K ) để làm bài, xem đáp án và lời giải chi tiết không giới hạn.
Câu 229
Lời giải
Bạn cần đăng ký gói VIP ( giá chỉ từ 199K ) để làm bài, xem đáp án và lời giải chi tiết không giới hạn.
Câu 230
Lời giải
Bạn cần đăng ký gói VIP ( giá chỉ từ 199K ) để làm bài, xem đáp án và lời giải chi tiết không giới hạn.
Đoạn văn 13
Norwich is the capital of East Anglia, an area on the east coast of England which is famous for its natural beauty and impressive architecture. Norwich is a wonderful city to explore and is popular with tourists all year round.
Norwich is not a city of luxurious hotels, but it has a good selection of reasonably priced places to stay in, both in the city centre and further out. The Beeches Hotel, for example, next to the cathedral, has a beautiful Victorian garden. Comfortable accommodations costs £65 for two nights’ bed and breakfast per person. Norwich is famous for its magnificent cathedral. The cathedral has a summer programme of music and events which is open to the general public. One event, “Fire from heaven”, is a drama and musical performance with fireworks, a laser light show and a carnival with local people dressed in colourful costumes.
Norwich is also home to the Sainsbury Centre for Visual Arts, a world-class collection of international art in a building at the University of East Anglia. This is well worth a visit and there is a lovely canteen with an excellent selection of hot and cold snacks. It also specializes in vegetarian food. In addition, the city has a new professional theatre, the Playhouse, on the River Wensum. The city’s annual international arts festival is from 10 to 20 October.
Finally, if you fancy a complete break from the stresses of everyday life, you could hire a boat and spend a few days cruising along the river of the famous Norfolk Broads National Park. In our environmentally friendly age, the emphasis has moved forwards the quiet enjoyment of nature and wildlife. You can hire a boat, big or small, for an hour or two or even up to a week or two. This makes a perfect day out or holiday for people of all ages.
(Adopted from “Succeed in Cambridge English Preliminary” by Andrew Betsis and Lawrence Mamas)
Câu 231
Lời giải
Bạn cần đăng ký gói VIP ( giá chỉ từ 199K ) để làm bài, xem đáp án và lời giải chi tiết không giới hạn.
Câu 232
Lời giải
Bạn cần đăng ký gói VIP ( giá chỉ từ 199K ) để làm bài, xem đáp án và lời giải chi tiết không giới hạn.
Câu 233
Lời giải
Bạn cần đăng ký gói VIP ( giá chỉ từ 199K ) để làm bài, xem đáp án và lời giải chi tiết không giới hạn.
Câu 234
Lời giải
Bạn cần đăng ký gói VIP ( giá chỉ từ 199K ) để làm bài, xem đáp án và lời giải chi tiết không giới hạn.
Câu 235
Lời giải
Bạn cần đăng ký gói VIP ( giá chỉ từ 199K ) để làm bài, xem đáp án và lời giải chi tiết không giới hạn.



















