Bộ 45 đề thi Đánh giá năng lực ĐHQG Hà Nội form 2025 có đáp án (Đề 1)
924 người thi tuần này 4.6 1.3 K lượt thi 235 câu hỏi 120 phút
Bạn cần đăng ký gói VIP ( giá chỉ từ 199K ) để làm bài, xem đáp án và lời giải chi tiết không giới hạn.
🔥 Học sinh cũng đã học
Bộ 45 đề thi Đánh giá năng lực ĐHQG Hà Nội form 2025 có đáp án (Đề 45)
Bộ 45 đề thi Đánh giá năng lực ĐHQG Hà Nội form 2025 có đáp án (Đề 44)
Bộ 45 đề thi Đánh giá năng lực ĐHQG Hà Nội form 2025 có đáp án (Đề 43)
Bộ 45 đề thi Đánh giá năng lực ĐHQG Hà Nội form 2025 có đáp án (Đề 42)
Bộ 45 đề thi Đánh giá năng lực ĐHQG Hà Nội form 2025 có đáp án (Đề 41)
Bộ 45 đề thi Đánh giá năng lực ĐHQG Hà Nội form 2025 có đáp án (Đề 40)
Bộ 45 đề thi Đánh giá năng lực ĐHQG Hà Nội form 2025 có đáp án (Đề 39)
Bộ 45 đề thi Đánh giá năng lực ĐHQG Hà Nội form 2025 có đáp án (Đề 38)
Danh sách câu hỏi:
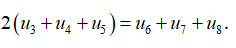
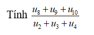
Câu 1
Lời giải
Đáp án đúng là A
Phương pháp giải
Áp dụng kiến thức về đạo hàm tại 1 điểm của hàm số
Lời giải
Ta có: \({y^\prime } = \left\{ {\begin{array}{*{20}{l}}{1,\,\,khi:x \ge 0}\\{ - 1,\,\,khi:x < 0}\end{array}} \right.\)
Do \(\left\{ {\begin{array}{*{20}{l}}{y_{\left( {{0^ + }} \right)}^\prime = 1}\\{y_{\left( {{0^ - }} \right)}^\prime = - 1}\end{array}} \right.\)
\( \Rightarrow \) Hàm số không có đạo hàm tại \(x = 0\). Chọn A
Câu 2
Lời giải
Phương pháp giải
Áp dụng công thức tính số trung bình cộng của mẫu số liệu không ghép nhóm.
Lời giải
Số trung bình cộng thời gian chạy của học sinh là:
\(\bar x = \frac{{8,3.2 + 8,4.3 + 8,5.9 + 8,7.5 + 8,8.1}}{{20}} = 8,53.\)
Lời giải
Đáp án đúng là "5/2"
Phương pháp giải
Hàm số \(A.\sin (ax + b)\,(A.a \ne 0)\) là một hàm số tuần hoàn chu kì \(T = \frac{{2\pi }}{{|a|}}\)
Lời giải
\(y = \sin \left( {\frac{2}{5}x} \right).\cos \left( {\frac{2}{5}x} \right) = \frac{1}{2}\sin \left( {\frac{4}{5}x} \right)\)
Hàm số trên có chu kì là \(T = \frac{{2\pi }}{{|a|}} = \frac{{2\pi }}{{\frac{4}{5}}} = \frac{{5\pi }}{2}\)
Lời giải
Đáp án đúng là C
Phương pháp giải
Lời giải
Số đường tiệm cận ngang: 1
Số đường tiệm cận đứng: 1
Tổng số đường tiệm cận ngang và tiệm cận đứng: 2. Chọn C.
Câu 5
Lời giải
Đáp án đúng là C
Phương pháp giải
Coi \(x\) là tham số.
Lời giải
\(F(t) = \int t xdt = x\int t dt = x.\frac{{{t^2}}}{2} + C\)
Lời giải
Bạn cần đăng ký gói VIP ( giá chỉ từ 199K ) để làm bài, xem đáp án và lời giải chi tiết không giới hạn.
Lời giải
Bạn cần đăng ký gói VIP ( giá chỉ từ 199K ) để làm bài, xem đáp án và lời giải chi tiết không giới hạn.
Câu 8
Lời giải
Bạn cần đăng ký gói VIP ( giá chỉ từ 199K ) để làm bài, xem đáp án và lời giải chi tiết không giới hạn.
Câu 9
Lời giải
Bạn cần đăng ký gói VIP ( giá chỉ từ 199K ) để làm bài, xem đáp án và lời giải chi tiết không giới hạn.
Câu 10
Lời giải
Bạn cần đăng ký gói VIP ( giá chỉ từ 199K ) để làm bài, xem đáp án và lời giải chi tiết không giới hạn.
Câu 11
Lời giải
Bạn cần đăng ký gói VIP ( giá chỉ từ 199K ) để làm bài, xem đáp án và lời giải chi tiết không giới hạn.
Câu 12
Lời giải
Bạn cần đăng ký gói VIP ( giá chỉ từ 199K ) để làm bài, xem đáp án và lời giải chi tiết không giới hạn.
Câu 13
Lời giải
Bạn cần đăng ký gói VIP ( giá chỉ từ 199K ) để làm bài, xem đáp án và lời giải chi tiết không giới hạn.
Lời giải
Bạn cần đăng ký gói VIP ( giá chỉ từ 199K ) để làm bài, xem đáp án và lời giải chi tiết không giới hạn.
Câu 15
Lời giải
Bạn cần đăng ký gói VIP ( giá chỉ từ 199K ) để làm bài, xem đáp án và lời giải chi tiết không giới hạn.
Lời giải
Bạn cần đăng ký gói VIP ( giá chỉ từ 199K ) để làm bài, xem đáp án và lời giải chi tiết không giới hạn.
Câu 17
Lời giải
Bạn cần đăng ký gói VIP ( giá chỉ từ 199K ) để làm bài, xem đáp án và lời giải chi tiết không giới hạn.
Câu 18
Lời giải
Bạn cần đăng ký gói VIP ( giá chỉ từ 199K ) để làm bài, xem đáp án và lời giải chi tiết không giới hạn.
Câu 19
Lời giải
Bạn cần đăng ký gói VIP ( giá chỉ từ 199K ) để làm bài, xem đáp án và lời giải chi tiết không giới hạn.
Câu 20
Lời giải
Bạn cần đăng ký gói VIP ( giá chỉ từ 199K ) để làm bài, xem đáp án và lời giải chi tiết không giới hạn.
Câu 21
Lời giải
Bạn cần đăng ký gói VIP ( giá chỉ từ 199K ) để làm bài, xem đáp án và lời giải chi tiết không giới hạn.
Câu 22
Lời giải
Bạn cần đăng ký gói VIP ( giá chỉ từ 199K ) để làm bài, xem đáp án và lời giải chi tiết không giới hạn.
Lời giải
Bạn cần đăng ký gói VIP ( giá chỉ từ 199K ) để làm bài, xem đáp án và lời giải chi tiết không giới hạn.
Câu 24
Lời giải
Bạn cần đăng ký gói VIP ( giá chỉ từ 199K ) để làm bài, xem đáp án và lời giải chi tiết không giới hạn.
Lời giải
Bạn cần đăng ký gói VIP ( giá chỉ từ 199K ) để làm bài, xem đáp án và lời giải chi tiết không giới hạn.
Câu 26
Lời giải
Bạn cần đăng ký gói VIP ( giá chỉ từ 199K ) để làm bài, xem đáp án và lời giải chi tiết không giới hạn.
Lời giải
Bạn cần đăng ký gói VIP ( giá chỉ từ 199K ) để làm bài, xem đáp án và lời giải chi tiết không giới hạn.
Câu 28
Lời giải
Bạn cần đăng ký gói VIP ( giá chỉ từ 199K ) để làm bài, xem đáp án và lời giải chi tiết không giới hạn.
Lời giải
Bạn cần đăng ký gói VIP ( giá chỉ từ 199K ) để làm bài, xem đáp án và lời giải chi tiết không giới hạn.
Lời giải
Bạn cần đăng ký gói VIP ( giá chỉ từ 199K ) để làm bài, xem đáp án và lời giải chi tiết không giới hạn.
Câu 31
Lời giải
Bạn cần đăng ký gói VIP ( giá chỉ từ 199K ) để làm bài, xem đáp án và lời giải chi tiết không giới hạn.
Lời giải
Bạn cần đăng ký gói VIP ( giá chỉ từ 199K ) để làm bài, xem đáp án và lời giải chi tiết không giới hạn.
Câu 33
Lời giải
Bạn cần đăng ký gói VIP ( giá chỉ từ 199K ) để làm bài, xem đáp án và lời giải chi tiết không giới hạn.
Lời giải
Bạn cần đăng ký gói VIP ( giá chỉ từ 199K ) để làm bài, xem đáp án và lời giải chi tiết không giới hạn.
Câu 35
Lời giải
Bạn cần đăng ký gói VIP ( giá chỉ từ 199K ) để làm bài, xem đáp án và lời giải chi tiết không giới hạn.
Lời giải
Bạn cần đăng ký gói VIP ( giá chỉ từ 199K ) để làm bài, xem đáp án và lời giải chi tiết không giới hạn.
Câu 37
Lời giải
Bạn cần đăng ký gói VIP ( giá chỉ từ 199K ) để làm bài, xem đáp án và lời giải chi tiết không giới hạn.
Câu 38
Lời giải
Bạn cần đăng ký gói VIP ( giá chỉ từ 199K ) để làm bài, xem đáp án và lời giải chi tiết không giới hạn.
Câu 39
C. 0,32 .
Lời giải
Bạn cần đăng ký gói VIP ( giá chỉ từ 199K ) để làm bài, xem đáp án và lời giải chi tiết không giới hạn.
Lời giải
Bạn cần đăng ký gói VIP ( giá chỉ từ 199K ) để làm bài, xem đáp án và lời giải chi tiết không giới hạn.
Câu 41
Lời giải
Bạn cần đăng ký gói VIP ( giá chỉ từ 199K ) để làm bài, xem đáp án và lời giải chi tiết không giới hạn.
Câu 42
Lời giải
Bạn cần đăng ký gói VIP ( giá chỉ từ 199K ) để làm bài, xem đáp án và lời giải chi tiết không giới hạn.
Câu 43
Lời giải
Bạn cần đăng ký gói VIP ( giá chỉ từ 199K ) để làm bài, xem đáp án và lời giải chi tiết không giới hạn.
Lời giải
Bạn cần đăng ký gói VIP ( giá chỉ từ 199K ) để làm bài, xem đáp án và lời giải chi tiết không giới hạn.
Câu 45
Lời giải
Bạn cần đăng ký gói VIP ( giá chỉ từ 199K ) để làm bài, xem đáp án và lời giải chi tiết không giới hạn.
Lời giải
Bạn cần đăng ký gói VIP ( giá chỉ từ 199K ) để làm bài, xem đáp án và lời giải chi tiết không giới hạn.
Lời giải
Bạn cần đăng ký gói VIP ( giá chỉ từ 199K ) để làm bài, xem đáp án và lời giải chi tiết không giới hạn.
Câu 48
Lời giải
Bạn cần đăng ký gói VIP ( giá chỉ từ 199K ) để làm bài, xem đáp án và lời giải chi tiết không giới hạn.
Câu 49
Lời giải
Bạn cần đăng ký gói VIP ( giá chỉ từ 199K ) để làm bài, xem đáp án và lời giải chi tiết không giới hạn.
Câu 50
Lời giải
Bạn cần đăng ký gói VIP ( giá chỉ từ 199K ) để làm bài, xem đáp án và lời giải chi tiết không giới hạn.
Câu 51
Lời giải
Bạn cần đăng ký gói VIP ( giá chỉ từ 199K ) để làm bài, xem đáp án và lời giải chi tiết không giới hạn.
Câu 52
Lời giải
Bạn cần đăng ký gói VIP ( giá chỉ từ 199K ) để làm bài, xem đáp án và lời giải chi tiết không giới hạn.
Câu 53
Lời giải
Bạn cần đăng ký gói VIP ( giá chỉ từ 199K ) để làm bài, xem đáp án và lời giải chi tiết không giới hạn.
Câu 54
Lời giải
Bạn cần đăng ký gói VIP ( giá chỉ từ 199K ) để làm bài, xem đáp án và lời giải chi tiết không giới hạn.
Câu 55
Lời giải
Bạn cần đăng ký gói VIP ( giá chỉ từ 199K ) để làm bài, xem đáp án và lời giải chi tiết không giới hạn.
Câu 56
Lời giải
Bạn cần đăng ký gói VIP ( giá chỉ từ 199K ) để làm bài, xem đáp án và lời giải chi tiết không giới hạn.
Câu 57
Lời giải
Bạn cần đăng ký gói VIP ( giá chỉ từ 199K ) để làm bài, xem đáp án và lời giải chi tiết không giới hạn.
Câu 58
Lời giải
Bạn cần đăng ký gói VIP ( giá chỉ từ 199K ) để làm bài, xem đáp án và lời giải chi tiết không giới hạn.
Câu 59
Lời giải
Bạn cần đăng ký gói VIP ( giá chỉ từ 199K ) để làm bài, xem đáp án và lời giải chi tiết không giới hạn.
Câu 60
Lời giải
Bạn cần đăng ký gói VIP ( giá chỉ từ 199K ) để làm bài, xem đáp án và lời giải chi tiết không giới hạn.
Câu 61
Lời giải
Bạn cần đăng ký gói VIP ( giá chỉ từ 199K ) để làm bài, xem đáp án và lời giải chi tiết không giới hạn.
Câu 62
Lời giải
Bạn cần đăng ký gói VIP ( giá chỉ từ 199K ) để làm bài, xem đáp án và lời giải chi tiết không giới hạn.
Câu 63
Lời giải
Bạn cần đăng ký gói VIP ( giá chỉ từ 199K ) để làm bài, xem đáp án và lời giải chi tiết không giới hạn.
Câu 64
A. Lời khẳng định về công lao to lớn của Bác.
Lời giải
Bạn cần đăng ký gói VIP ( giá chỉ từ 199K ) để làm bài, xem đáp án và lời giải chi tiết không giới hạn.
Câu 65
A. Dòng cảm xúc trước con người/ cuộc sống.
Lời giải
Bạn cần đăng ký gói VIP ( giá chỉ từ 199K ) để làm bài, xem đáp án và lời giải chi tiết không giới hạn.
Câu 66
Lời giải
Bạn cần đăng ký gói VIP ( giá chỉ từ 199K ) để làm bài, xem đáp án và lời giải chi tiết không giới hạn.
Câu 67
Lời giải
Bạn cần đăng ký gói VIP ( giá chỉ từ 199K ) để làm bài, xem đáp án và lời giải chi tiết không giới hạn.
Câu 68
Lời giải
Bạn cần đăng ký gói VIP ( giá chỉ từ 199K ) để làm bài, xem đáp án và lời giải chi tiết không giới hạn.
Câu 69
Lời giải
Bạn cần đăng ký gói VIP ( giá chỉ từ 199K ) để làm bài, xem đáp án và lời giải chi tiết không giới hạn.
Câu 70
Lời giải
Bạn cần đăng ký gói VIP ( giá chỉ từ 199K ) để làm bài, xem đáp án và lời giải chi tiết không giới hạn.
Câu 71
Lời giải
Bạn cần đăng ký gói VIP ( giá chỉ từ 199K ) để làm bài, xem đáp án và lời giải chi tiết không giới hạn.
Câu 72
C. Bức tranh Hà Nội vào buổi chiều nên thơ, lãng mạn
Lời giải
Bạn cần đăng ký gói VIP ( giá chỉ từ 199K ) để làm bài, xem đáp án và lời giải chi tiết không giới hạn.
Lời giải
Bạn cần đăng ký gói VIP ( giá chỉ từ 199K ) để làm bài, xem đáp án và lời giải chi tiết không giới hạn.
Câu 74
b. Người kể chuyện bày tỏ thái độ vồn vã, lo lắng đối với người đàn bà
Lời giải
Bạn cần đăng ký gói VIP ( giá chỉ từ 199K ) để làm bài, xem đáp án và lời giải chi tiết không giới hạn.
Lời giải
Bạn cần đăng ký gói VIP ( giá chỉ từ 199K ) để làm bài, xem đáp án và lời giải chi tiết không giới hạn.
Câu 76
Lời giải
Bạn cần đăng ký gói VIP ( giá chỉ từ 199K ) để làm bài, xem đáp án và lời giải chi tiết không giới hạn.
Lời giải
Bạn cần đăng ký gói VIP ( giá chỉ từ 199K ) để làm bài, xem đáp án và lời giải chi tiết không giới hạn.
Câu 78
Lời giải
Bạn cần đăng ký gói VIP ( giá chỉ từ 199K ) để làm bài, xem đáp án và lời giải chi tiết không giới hạn.
Lời giải
Bạn cần đăng ký gói VIP ( giá chỉ từ 199K ) để làm bài, xem đáp án và lời giải chi tiết không giới hạn.
Câu 80
Lời giải
Bạn cần đăng ký gói VIP ( giá chỉ từ 199K ) để làm bài, xem đáp án và lời giải chi tiết không giới hạn.
Lời giải
Bạn cần đăng ký gói VIP ( giá chỉ từ 199K ) để làm bài, xem đáp án và lời giải chi tiết không giới hạn.
Câu 82
Lời giải
Bạn cần đăng ký gói VIP ( giá chỉ từ 199K ) để làm bài, xem đáp án và lời giải chi tiết không giới hạn.
Câu 83
Lời giải
Bạn cần đăng ký gói VIP ( giá chỉ từ 199K ) để làm bài, xem đáp án và lời giải chi tiết không giới hạn.
Lời giải
Bạn cần đăng ký gói VIP ( giá chỉ từ 199K ) để làm bài, xem đáp án và lời giải chi tiết không giới hạn.
Câu 85
Lời giải
Bạn cần đăng ký gói VIP ( giá chỉ từ 199K ) để làm bài, xem đáp án và lời giải chi tiết không giới hạn.
Câu 86
Lời giải
Bạn cần đăng ký gói VIP ( giá chỉ từ 199K ) để làm bài, xem đáp án và lời giải chi tiết không giới hạn.
Lời giải
Bạn cần đăng ký gói VIP ( giá chỉ từ 199K ) để làm bài, xem đáp án và lời giải chi tiết không giới hạn.
Lời giải
Bạn cần đăng ký gói VIP ( giá chỉ từ 199K ) để làm bài, xem đáp án và lời giải chi tiết không giới hạn.
Câu 89
Lời giải
Bạn cần đăng ký gói VIP ( giá chỉ từ 199K ) để làm bài, xem đáp án và lời giải chi tiết không giới hạn.
Câu 90
Lời giải
Bạn cần đăng ký gói VIP ( giá chỉ từ 199K ) để làm bài, xem đáp án và lời giải chi tiết không giới hạn.
Câu 91
Lời giải
Bạn cần đăng ký gói VIP ( giá chỉ từ 199K ) để làm bài, xem đáp án và lời giải chi tiết không giới hạn.
Câu 92
Lời giải
Bạn cần đăng ký gói VIP ( giá chỉ từ 199K ) để làm bài, xem đáp án và lời giải chi tiết không giới hạn.
Lời giải
Bạn cần đăng ký gói VIP ( giá chỉ từ 199K ) để làm bài, xem đáp án và lời giải chi tiết không giới hạn.
Câu 94
Lời giải
Bạn cần đăng ký gói VIP ( giá chỉ từ 199K ) để làm bài, xem đáp án và lời giải chi tiết không giới hạn.
Câu 95
Lời giải
Bạn cần đăng ký gói VIP ( giá chỉ từ 199K ) để làm bài, xem đáp án và lời giải chi tiết không giới hạn.
Câu 96
Lời giải
Bạn cần đăng ký gói VIP ( giá chỉ từ 199K ) để làm bài, xem đáp án và lời giải chi tiết không giới hạn.
Câu 97
Lời giải
Bạn cần đăng ký gói VIP ( giá chỉ từ 199K ) để làm bài, xem đáp án và lời giải chi tiết không giới hạn.
Câu 98
Lời giải
Bạn cần đăng ký gói VIP ( giá chỉ từ 199K ) để làm bài, xem đáp án và lời giải chi tiết không giới hạn.
Câu 99
Lời giải
Bạn cần đăng ký gói VIP ( giá chỉ từ 199K ) để làm bài, xem đáp án và lời giải chi tiết không giới hạn.
Câu 100
Lời giải
Bạn cần đăng ký gói VIP ( giá chỉ từ 199K ) để làm bài, xem đáp án và lời giải chi tiết không giới hạn.
Lời giải
Bạn cần đăng ký gói VIP ( giá chỉ từ 199K ) để làm bài, xem đáp án và lời giải chi tiết không giới hạn.
Câu 102
Lời giải
Bạn cần đăng ký gói VIP ( giá chỉ từ 199K ) để làm bài, xem đáp án và lời giải chi tiết không giới hạn.
Câu 103
Lời giải
Bạn cần đăng ký gói VIP ( giá chỉ từ 199K ) để làm bài, xem đáp án và lời giải chi tiết không giới hạn.
Lời giải
Bạn cần đăng ký gói VIP ( giá chỉ từ 199K ) để làm bài, xem đáp án và lời giải chi tiết không giới hạn.
Câu 105
Lời giải
Bạn cần đăng ký gói VIP ( giá chỉ từ 199K ) để làm bài, xem đáp án và lời giải chi tiết không giới hạn.
Câu 106
C. Pha cân bằng và cuối pha lũy thừa.
Lời giải
Bạn cần đăng ký gói VIP ( giá chỉ từ 199K ) để làm bài, xem đáp án và lời giải chi tiết không giới hạn.
Lời giải
Bạn cần đăng ký gói VIP ( giá chỉ từ 199K ) để làm bài, xem đáp án và lời giải chi tiết không giới hạn.
Câu 108
Lời giải
Bạn cần đăng ký gói VIP ( giá chỉ từ 199K ) để làm bài, xem đáp án và lời giải chi tiết không giới hạn.
Lời giải
Bạn cần đăng ký gói VIP ( giá chỉ từ 199K ) để làm bài, xem đáp án và lời giải chi tiết không giới hạn.
Lời giải
Bạn cần đăng ký gói VIP ( giá chỉ từ 199K ) để làm bài, xem đáp án và lời giải chi tiết không giới hạn.
Lời giải
Bạn cần đăng ký gói VIP ( giá chỉ từ 199K ) để làm bài, xem đáp án và lời giải chi tiết không giới hạn.
Câu 112
Lời giải
Bạn cần đăng ký gói VIP ( giá chỉ từ 199K ) để làm bài, xem đáp án và lời giải chi tiết không giới hạn.
Lời giải
Bạn cần đăng ký gói VIP ( giá chỉ từ 199K ) để làm bài, xem đáp án và lời giải chi tiết không giới hạn.
Câu 114
C. Có số lượng lớn trong tế bào.
Lời giải
Bạn cần đăng ký gói VIP ( giá chỉ từ 199K ) để làm bài, xem đáp án và lời giải chi tiết không giới hạn.
Câu 115
Lời giải
Bạn cần đăng ký gói VIP ( giá chỉ từ 199K ) để làm bài, xem đáp án và lời giải chi tiết không giới hạn.
Câu 116
A. Hô hấp tạo ra năng lượng ATP, cung cấp hoạt động sống cho cơ thể thực vật.
Lời giải
Bạn cần đăng ký gói VIP ( giá chỉ từ 199K ) để làm bài, xem đáp án và lời giải chi tiết không giới hạn.
Câu 117
C. 3 → 5 → 2 → 1→ 4 → 6
Lời giải
Bạn cần đăng ký gói VIP ( giá chỉ từ 199K ) để làm bài, xem đáp án và lời giải chi tiết không giới hạn.
Lời giải
Bạn cần đăng ký gói VIP ( giá chỉ từ 199K ) để làm bài, xem đáp án và lời giải chi tiết không giới hạn.
Câu 119
Lời giải
Bạn cần đăng ký gói VIP ( giá chỉ từ 199K ) để làm bài, xem đáp án và lời giải chi tiết không giới hạn.
Câu 120
Lời giải
Bạn cần đăng ký gói VIP ( giá chỉ từ 199K ) để làm bài, xem đáp án và lời giải chi tiết không giới hạn.
Câu 121
Lời giải
Bạn cần đăng ký gói VIP ( giá chỉ từ 199K ) để làm bài, xem đáp án và lời giải chi tiết không giới hạn.
Câu 122
Lời giải
Bạn cần đăng ký gói VIP ( giá chỉ từ 199K ) để làm bài, xem đáp án và lời giải chi tiết không giới hạn.
Câu 123
Lời giải
Bạn cần đăng ký gói VIP ( giá chỉ từ 199K ) để làm bài, xem đáp án và lời giải chi tiết không giới hạn.
Câu 124
Lời giải
Bạn cần đăng ký gói VIP ( giá chỉ từ 199K ) để làm bài, xem đáp án và lời giải chi tiết không giới hạn.
Câu 125
Lời giải
Bạn cần đăng ký gói VIP ( giá chỉ từ 199K ) để làm bài, xem đáp án và lời giải chi tiết không giới hạn.
Câu 126
Lời giải
Bạn cần đăng ký gói VIP ( giá chỉ từ 199K ) để làm bài, xem đáp án và lời giải chi tiết không giới hạn.
Câu 127
Lời giải
Bạn cần đăng ký gói VIP ( giá chỉ từ 199K ) để làm bài, xem đáp án và lời giải chi tiết không giới hạn.
Câu 128
Lời giải
Bạn cần đăng ký gói VIP ( giá chỉ từ 199K ) để làm bài, xem đáp án và lời giải chi tiết không giới hạn.
Câu 129
Lời giải
Bạn cần đăng ký gói VIP ( giá chỉ từ 199K ) để làm bài, xem đáp án và lời giải chi tiết không giới hạn.
Câu 130
Lời giải
Bạn cần đăng ký gói VIP ( giá chỉ từ 199K ) để làm bài, xem đáp án và lời giải chi tiết không giới hạn.
Câu 131
Lời giải
Bạn cần đăng ký gói VIP ( giá chỉ từ 199K ) để làm bài, xem đáp án và lời giải chi tiết không giới hạn.
Câu 132
Lời giải
Bạn cần đăng ký gói VIP ( giá chỉ từ 199K ) để làm bài, xem đáp án và lời giải chi tiết không giới hạn.
Câu 133
C. Quỹ Tiền tệ quốc tế (IMF).
Lời giải
Bạn cần đăng ký gói VIP ( giá chỉ từ 199K ) để làm bài, xem đáp án và lời giải chi tiết không giới hạn.
Câu 134
Lời giải
Bạn cần đăng ký gói VIP ( giá chỉ từ 199K ) để làm bài, xem đáp án và lời giải chi tiết không giới hạn.
Câu 135
Lời giải
Bạn cần đăng ký gói VIP ( giá chỉ từ 199K ) để làm bài, xem đáp án và lời giải chi tiết không giới hạn.
Câu 136
Lời giải
Bạn cần đăng ký gói VIP ( giá chỉ từ 199K ) để làm bài, xem đáp án và lời giải chi tiết không giới hạn.
Câu 137
Lời giải
Bạn cần đăng ký gói VIP ( giá chỉ từ 199K ) để làm bài, xem đáp án và lời giải chi tiết không giới hạn.
Câu 138
Lời giải
Bạn cần đăng ký gói VIP ( giá chỉ từ 199K ) để làm bài, xem đáp án và lời giải chi tiết không giới hạn.
Câu 139
Lời giải
Bạn cần đăng ký gói VIP ( giá chỉ từ 199K ) để làm bài, xem đáp án và lời giải chi tiết không giới hạn.
Câu 140
Lời giải
Bạn cần đăng ký gói VIP ( giá chỉ từ 199K ) để làm bài, xem đáp án và lời giải chi tiết không giới hạn.
Câu 141
Lời giải
Bạn cần đăng ký gói VIP ( giá chỉ từ 199K ) để làm bài, xem đáp án và lời giải chi tiết không giới hạn.
Câu 142
Lời giải
Bạn cần đăng ký gói VIP ( giá chỉ từ 199K ) để làm bài, xem đáp án và lời giải chi tiết không giới hạn.
Câu 143
Lời giải
Bạn cần đăng ký gói VIP ( giá chỉ từ 199K ) để làm bài, xem đáp án và lời giải chi tiết không giới hạn.
Câu 144
Lời giải
Bạn cần đăng ký gói VIP ( giá chỉ từ 199K ) để làm bài, xem đáp án và lời giải chi tiết không giới hạn.
Câu 145
Lời giải
Bạn cần đăng ký gói VIP ( giá chỉ từ 199K ) để làm bài, xem đáp án và lời giải chi tiết không giới hạn.
Câu 146
Lời giải
Bạn cần đăng ký gói VIP ( giá chỉ từ 199K ) để làm bài, xem đáp án và lời giải chi tiết không giới hạn.
Câu 147
Lời giải
Bạn cần đăng ký gói VIP ( giá chỉ từ 199K ) để làm bài, xem đáp án và lời giải chi tiết không giới hạn.
Câu 148
Lời giải
Bạn cần đăng ký gói VIP ( giá chỉ từ 199K ) để làm bài, xem đáp án và lời giải chi tiết không giới hạn.
Câu 149
Lời giải
Bạn cần đăng ký gói VIP ( giá chỉ từ 199K ) để làm bài, xem đáp án và lời giải chi tiết không giới hạn.
Câu 150
Lời giải
Bạn cần đăng ký gói VIP ( giá chỉ từ 199K ) để làm bài, xem đáp án và lời giải chi tiết không giới hạn.
Câu 151
Lời giải
Bạn cần đăng ký gói VIP ( giá chỉ từ 199K ) để làm bài, xem đáp án và lời giải chi tiết không giới hạn.
Câu 152
Lời giải
Bạn cần đăng ký gói VIP ( giá chỉ từ 199K ) để làm bài, xem đáp án và lời giải chi tiết không giới hạn.
Câu 153
Lời giải
Bạn cần đăng ký gói VIP ( giá chỉ từ 199K ) để làm bài, xem đáp án và lời giải chi tiết không giới hạn.
Câu 154
B. keep in mind
Lời giải
Bạn cần đăng ký gói VIP ( giá chỉ từ 199K ) để làm bài, xem đáp án và lời giải chi tiết không giới hạn.
Câu 155
Lời giải
Bạn cần đăng ký gói VIP ( giá chỉ từ 199K ) để làm bài, xem đáp án và lời giải chi tiết không giới hạn.
Câu 156
Lời giải
Bạn cần đăng ký gói VIP ( giá chỉ từ 199K ) để làm bài, xem đáp án và lời giải chi tiết không giới hạn.
Câu 157
Lời giải
Bạn cần đăng ký gói VIP ( giá chỉ từ 199K ) để làm bài, xem đáp án và lời giải chi tiết không giới hạn.
Câu 158
Lời giải
Bạn cần đăng ký gói VIP ( giá chỉ từ 199K ) để làm bài, xem đáp án và lời giải chi tiết không giới hạn.
Câu 159
B. Thank you. It's very kind of you!
Lời giải
Bạn cần đăng ký gói VIP ( giá chỉ từ 199K ) để làm bài, xem đáp án và lời giải chi tiết không giới hạn.
Câu 160
Lời giải
Bạn cần đăng ký gói VIP ( giá chỉ từ 199K ) để làm bài, xem đáp án và lời giải chi tiết không giới hạn.
Câu 161
Lời giải
Bạn cần đăng ký gói VIP ( giá chỉ từ 199K ) để làm bài, xem đáp án và lời giải chi tiết không giới hạn.
Câu 162
Lời giải
Bạn cần đăng ký gói VIP ( giá chỉ từ 199K ) để làm bài, xem đáp án và lời giải chi tiết không giới hạn.
Câu 163
Lời giải
Bạn cần đăng ký gói VIP ( giá chỉ từ 199K ) để làm bài, xem đáp án và lời giải chi tiết không giới hạn.
Câu 164
C. b-a-c-d
Lời giải
Bạn cần đăng ký gói VIP ( giá chỉ từ 199K ) để làm bài, xem đáp án và lời giải chi tiết không giới hạn.
Câu 165
Lời giải
Bạn cần đăng ký gói VIP ( giá chỉ từ 199K ) để làm bài, xem đáp án và lời giải chi tiết không giới hạn.
Câu 166
Lời giải
Bạn cần đăng ký gói VIP ( giá chỉ từ 199K ) để làm bài, xem đáp án và lời giải chi tiết không giới hạn.
Câu 167
Lời giải
Bạn cần đăng ký gói VIP ( giá chỉ từ 199K ) để làm bài, xem đáp án và lời giải chi tiết không giới hạn.
Câu 168
B. The decision to give everyone a bonus was made by the increase in the company’s profits.
Lời giải
Bạn cần đăng ký gói VIP ( giá chỉ từ 199K ) để làm bài, xem đáp án và lời giải chi tiết không giới hạn.
Câu 169
Lời giải
Bạn cần đăng ký gói VIP ( giá chỉ từ 199K ) để làm bài, xem đáp án và lời giải chi tiết không giới hạn.
Câu 170
C. After the final whistle, the players enthusiastically gathered outside the field to organize their celebration for winning the championship.
Lời giải
Bạn cần đăng ký gói VIP ( giá chỉ từ 199K ) để làm bài, xem đáp án và lời giải chi tiết không giới hạn.
Câu 171
Lời giải
Bạn cần đăng ký gói VIP ( giá chỉ từ 199K ) để làm bài, xem đáp án và lời giải chi tiết không giới hạn.
Câu 172
Lời giải
Bạn cần đăng ký gói VIP ( giá chỉ từ 199K ) để làm bài, xem đáp án và lời giải chi tiết không giới hạn.
Câu 173
Lời giải
Bạn cần đăng ký gói VIP ( giá chỉ từ 199K ) để làm bài, xem đáp án và lời giải chi tiết không giới hạn.
Câu 174
C. After many years of effort, he was able to fulfill his goal of becoming a published author.
Lời giải
Bạn cần đăng ký gói VIP ( giá chỉ từ 199K ) để làm bài, xem đáp án và lời giải chi tiết không giới hạn.
Câu 175
Lời giải
Bạn cần đăng ký gói VIP ( giá chỉ từ 199K ) để làm bài, xem đáp án và lời giải chi tiết không giới hạn.
Câu 176
B. Can someone else do it first?
Lời giải
Bạn cần đăng ký gói VIP ( giá chỉ từ 199K ) để làm bài, xem đáp án và lời giải chi tiết không giới hạn.
Câu 177
Lời giải
Bạn cần đăng ký gói VIP ( giá chỉ từ 199K ) để làm bài, xem đáp án và lời giải chi tiết không giới hạn.
Câu 178
Lời giải
Bạn cần đăng ký gói VIP ( giá chỉ từ 199K ) để làm bài, xem đáp án và lời giải chi tiết không giới hạn.
Câu 179
Lời giải
Bạn cần đăng ký gói VIP ( giá chỉ từ 199K ) để làm bài, xem đáp án và lời giải chi tiết không giới hạn.
Câu 180
B. James takes on the role of team leader in a new project. He makes a plan, conducts thorough research, and assigns tasks to team members before running the project.
Lời giải
Bạn cần đăng ký gói VIP ( giá chỉ từ 199K ) để làm bài, xem đáp án và lời giải chi tiết không giới hạn.
Đoạn văn 3
Số lượng của một loại vi khuẩn X trong một phòng thí nghiệm được biểu diễn theo công thức \(S(t) = A.{e^{rt}}\), trong đó A là số lượng vi khuẩn tại thời điểm chọn mốc thời gian, r là tỉ lệ tăng trưởng (r > 0), t là thời gian tăng trưởng (tính theo đơn vị là giờ). Lúc 6 giờ sáng, số lượng vi khuẩn X là 150 con. Sau 3 giờ, số lượng vi khuẩn X là 450 con.
Câu 181
Lời giải
Bạn cần đăng ký gói VIP ( giá chỉ từ 199K ) để làm bài, xem đáp án và lời giải chi tiết không giới hạn.
Câu 182
Lời giải
Bạn cần đăng ký gói VIP ( giá chỉ từ 199K ) để làm bài, xem đáp án và lời giải chi tiết không giới hạn.
Câu 183
Lời giải
Bạn cần đăng ký gói VIP ( giá chỉ từ 199K ) để làm bài, xem đáp án và lời giải chi tiết không giới hạn.
Đoạn văn 1
(1) Vậy nguyên nhân nào dẫn đến bệnh dại?
Bệnh dại là thứ bệnh không thể dự đoán được. Các giai đoạn nhiễm bệnh bao gồm giai đoạn ủ bệnh có phạm vi từ vài ngày đến vài tháng, với các triệu chứng ban đầu giống cúm, một giai đoạn tác động nhiều đến thần kinh, hôn mê và sau đó là chết. Các triệu chứng chung ở giai đoạn sớm ở người, như mệt mỏi, sốt, buồn nôn, thường không cụ thể. Các triệu chứng thần kinh có thể gồm sự hung hăng, hỗn loạn, khó nuốt và bị tê liệt.
Phần lớn những người bị nhiễm bệnh dại đều do động vật cắn. Những con đường lây nhiễm ít phổ biến hơn là tiếp xúc với các màng nhầy của mắt, mũi hay miệng. Một khi virus nhảy vào cơ thể con người, nó có thể bắt đầu sao chép trong mô cơ hoặc sau đó đi trực tiếp vào não. Một khi nó lan sang các nội quan khác, người bệnh thường chết vì viêm não.
(2) Các trường hợp mắc bệnh dại có gia tăng?
Tỉ lệ mắc bệnh dại ở động vật biến thiên hằng năm. Trong suốt năm 2021, 54 khu vực pháp lý của Mỹ cho biết có 3.663 động vật nhiễm dại, suy giảm 18,2% so với năm trước. Các quốc gia có thu nhập thấp và trung bình, cụ thể từ đại dịch COVID-19, đã phải chịu cảnh đứt đoạn chủng ngừa bệnh dại trên động vật do tình hình đại dịch ảnh hưởng đến việc sản xuất vaccine và khả năng tiếp cận vaccine cũng như làm gia tăng số lượng các loài động vật hoang dã.
Các trường hợp mắc bệnh dại đã gia tăng ở nhiều quốc gia do những nhân tố sinh học và kinh tế xã hội. Ví dụ, ở Trung Quốc, các trường hợp mắc bệnh dại liên quan đến dân số đô thị và các trung tâm vận chuyển. Sự gần gũi một loài động vật nhạy cảm với một cộng đồng đang có dịch bệnh thì nguy cơ lây lan càng cao.
Sự gia tăng của nhiệt độ do biến đổi khí hậu có liên quan đến sự gia tăng của lan truyền bệnh dại bởi vì những thay đổi trong phạm vi sống của động vật. Ví dụ, ở những vùng ấm, sự liên quan về phân bố và sự thừa mứa các ổ mầm bệnh, như các loài động vật nhiệt đới như dơi quỷ, có thể gia tăng. Mức nhiệt gia tăng ở Bắc cực có thể làm gia tăng tần suất cáo Bắc cực và cáo đỏ tương tác với nhau và dẫn đến các dịch bệnh.
(Thanh Hương tổng hợp, Tại sao bệnh dại không dự đoán được và có thể gây chết người?, Tạp chí Tia sáng, ngày 29/02/2024)
Câu 184
Lời giải
Bạn cần đăng ký gói VIP ( giá chỉ từ 199K ) để làm bài, xem đáp án và lời giải chi tiết không giới hạn.
Câu 185
Lời giải
Bạn cần đăng ký gói VIP ( giá chỉ từ 199K ) để làm bài, xem đáp án và lời giải chi tiết không giới hạn.
Câu 186
Lời giải
Bạn cần đăng ký gói VIP ( giá chỉ từ 199K ) để làm bài, xem đáp án và lời giải chi tiết không giới hạn.
Câu 187
Lời giải
Bạn cần đăng ký gói VIP ( giá chỉ từ 199K ) để làm bài, xem đáp án và lời giải chi tiết không giới hạn.
Đoạn văn 2
(1) Tiền thân của cái bát có lẽ do con người dùng vỏ hoa quả như vỏ quả dừa và vỏ trai, sò để đựng thức ăn, sau đó có thể làm những chiếc bát bằng gỗ, cuối cùng cái bát ra đời [...]. Cái bát thuyền trong các mộ thời Hán có dạng như một lòng bàn tay, có hai cạnh để cầm và nó cũng giống như hình một chiếc thuyền thúng. Tuy nhiên, trừ cái bát thuyền ra, mọi cái bát khác đều có thể tích cơ bản là hai lòng bàn tay chụm lại, mà con người đã từng làm như thế để uống nước. Đó chính là chiếc bát ăn cơm thông thường ngày nay. Song, hình như con người lại không ưa một sự mô phỏng thuần tuý như thế, những chiếc bát men đen, men ngọc thời Lý và những chiếc bát đàn thời Hậu Lê lại có dạng loe miệng và thót đáy như một cái nón, khả năng vuốt bàn xoay hình nón cũng dễ hơn vuốt hình tròn cong đều từ chân lên thành. Cái bát cong đều như thế có trong gốm hoa lam thời Trần và chúng có chân rất cao. Một cải tiến nữa kết hợp giữa bát hình nón và bát chân cao sinh ra cái bát chiết yêu duyên dáng thế kỉ XVIII – XIX.
(2) Đồ gốm gia dụng thời Lý – Trần quá thanh nhã khiến chúng ta không thể tưởng tượng rằng có thời con người sống cao sang như thế, nếu như đồ gốm phản ánh sự sử dụng và món ăn chúng chứa đựng. Những chiếc chậu, những chiếc âu mà hôm nay chúng ta nâng niu như cổ vật quý hiếm thì ngày xưa chúng chỉ được để rửa ráy chân tay mà thôi. Ở nông thôn, những gia đình trung bình đều có một chạn bát đĩa thường dụng và một vài rổ bát đĩa cất trong buồng dùng khi có cỗ bàn. Bát ăn cơm, bát chiết yêu, ang và âu, đĩa lòng nông vài cỡ, đũa cả, đũa ăn, muôi bằng gỗ, còn thìa thì hầu như không có, và thế là đủ cho một bữa ăn gia đình, tối bắc chống nhỏ ra sân đặt mâm cơm lên, mọi người ngồi xung quanh bằng ghế đẩu. Những đồ gốm này thường có men trắng đục, trắng xanh, ít hoa văn, mỏng manh, dễ vỡ, cấu tạo đơn sơ, chất lượng đất không tỉnh, nhưng giá rẻ. [...] Ngay từ cuối thời Trần, làng Bát Tràng đã sản xuất những loại gốm gia dụng men lam như thế, một số đồ đẹp dâng cho triều đình, còn lại, bán ra cho dân. Từ sau thế kỉ XV, xu hướng đồ dân gian và cung đình ngày càng tách biệt, thậm chí triều đình còn mở những lò riêng hoặc đặt những lô hàng riêng có đề chữ Nội phủ, hơn nữa là sang Trung Hoa đặt mua đồ gốm sứ cho hoàng triều. [...] Dân thành thị cũng có xu hướng dùng đồ gốm gia dụng Trung Hoa và Nội phủ, tạo ra sự phân biệt giữa nông thôn và thành thị trong thị trường đồ gốm.
(Phan Cẩm Thượng, Đồ gốm gia dụng của người Việt, in trong Văn minh vật chất của người Việt, NXB Thế giới, Hà Nội, 2018)
Câu 188
A. Văn bản nghị luận
Lời giải
Bạn cần đăng ký gói VIP ( giá chỉ từ 199K ) để làm bài, xem đáp án và lời giải chi tiết không giới hạn.
Câu 189
Lời giải
Bạn cần đăng ký gói VIP ( giá chỉ từ 199K ) để làm bài, xem đáp án và lời giải chi tiết không giới hạn.
Câu 190
b. Xu hướng dùng đồ gốm nước ngoài.
Lời giải
Bạn cần đăng ký gói VIP ( giá chỉ từ 199K ) để làm bài, xem đáp án và lời giải chi tiết không giới hạn.
Câu 191
Lời giải
Bạn cần đăng ký gói VIP ( giá chỉ từ 199K ) để làm bài, xem đáp án và lời giải chi tiết không giới hạn.
Câu 192
Lời giải
Bạn cần đăng ký gói VIP ( giá chỉ từ 199K ) để làm bài, xem đáp án và lời giải chi tiết không giới hạn.
Đoạn văn 4
Một nhóm nghiên cứu quốc tế, do các nhà khoa học ở ĐH bang Penn dẫn dắt, sử dụng thiết bị NIRSpec ở JWST, một phần của khảo sát RUBIES, đã nhận diện được ba thiên thể bí ẩn của vũ trụ sớm, vào khoảng 600 đến 800 triệu năm sau Big Bang, khi vũ trụ này mới chỉ bằng 5% độ tuổi hiện nay. Họ loan báo phát hiện của mình trên tạp chí Astrophysical Journal Letters.
Các nhà nghiên cứu rất ngạc nhiên khi khám phá ra các dấu hiệu của các lỗ đen siêu khối lượng ở các thiên thể đó, ước tính lớn hơn 100 đến 1.000 lần so với lỗ đen siêu khối lượng của dải Ngân hà của chúng ta. Người ta không chờ đợi điều này trong những mô hình hiện tại về sự tăng trưởng của thiên hà và sự hình thành của lỗ đen siêu khối lượng, vốn chỉ cho thấy các thiên hà và các lỗ đen của nó phát triển cùng nhau qua hàng tỉ năm trong lịch sử vũ trụ.
“Các lỗ đen siêu khối lượng thông thường đều kết cặp với các thiên hà”, Leja nói. “Chúng lớn lên cùng nhau và cùng trải qua mọi sự kiện lớn trong đời cùng nhau. Nhưng tại đây, chúng tôi có một lỗ đen trưởng thành hoàn toàn tồn tại bên ngoài cái gọi là một thiên hà trẻ. Điều này thực sự không có ý nghĩa bởi chúng phải lớn lên cùng nhau hoặc ít nhất đó là điều chúng tôi vẫn nghĩ”.
Leja giải thích, nếu bạn lấy Ngân hà và nén lại bằng kích thước các thiên hà họ tìm thấy, ngôi sao gần nhất hầu như có thể là hệ mặt trời của chúng ta. Lỗ đen siêu khối lượng của Ngân hà, vốn cách xa khoảng 26.000 năm ánh sáng, có thể chỉ còn cách trái đất 26 năm ánh sáng và hiển thị rõ trên bầu trời như một cột ánh sáng khổng lồ.
“Những thiên hà sớm có thể dày đặc sao – các ngôi sao phải được hình thành theo một cách mà chúng ta chưa bao giờ thấy, trong những điều kiện mà chúng ta chưa bao giờ chờ đợi trong suốt một thời kỳ nhưng chúng ta chưa từng thấy chúng”, Leja nói. “Và dù do nguyên nhân nào thì vũ trụ này đã dừng ghi nhận sự xuất hiện của những thiên thể như chúng sau một vài tỉ năm. Chúng là những thiên thể độc đáo của vũ trụ sớm”.
(Thanh Phương tổng hợp, Tranh luận về những thiên thể nhỏ phát sáng ở vũ trụ sớm, Tạp chí Tia sáng, ngày 04/07/2024)
Câu 193
Lời giải
Bạn cần đăng ký gói VIP ( giá chỉ từ 199K ) để làm bài, xem đáp án và lời giải chi tiết không giới hạn.
Câu 194
Lời giải
Bạn cần đăng ký gói VIP ( giá chỉ từ 199K ) để làm bài, xem đáp án và lời giải chi tiết không giới hạn.
Câu 195
Lời giải
Bạn cần đăng ký gói VIP ( giá chỉ từ 199K ) để làm bài, xem đáp án và lời giải chi tiết không giới hạn.
Câu 196
Lời giải
Bạn cần đăng ký gói VIP ( giá chỉ từ 199K ) để làm bài, xem đáp án và lời giải chi tiết không giới hạn.
Câu 197
Lời giải
Bạn cần đăng ký gói VIP ( giá chỉ từ 199K ) để làm bài, xem đáp án và lời giải chi tiết không giới hạn.
Đoạn văn 5
(1) Con kinh nhỏ nằm vắt qua một cánh đồng rộng. Và khi chúng tôi quyết định dừng lại, mùa hạn hung hãn dường như cũng gom hết nắng đổ xuống nơi này. Những cây lúa chết non trên đồng, thân đã khô cong như tàn nhang chưa rụng, nắm vào bàn tay là nát vụn. Cha tôi tháo cái khung tre chắn dưới sàn ghe, bầy vịt lúc nhúc chen ra, cuống quýt, nháo nhào quẫy ngụp xuống mặt nước váng phèn. Một lớp phèn mới, vàng sẫm quánh lại trên bộ lông của những con vịt đói, nhớp nháp bám trên vai Điền khi nó trầm mình bơi đi cắm cọc, giăng lưới rào bầy vịt lại. Tôi bưng cái cà ràng lên bờ, nhóm củi. Rồi ngọn lửa hoi hót thở dưới nồi cơm đã lên tim, người đàn bà vẫn còn nằm trên ghe. [...]
(2) Họ giằng ném, họ quăng quật chị trên cái nền vương vãi trấu. Vai nữ chính, một người đàn bà xốc xếch đã lạc giọng, đôi lúc lả đi vì ghen tuông và kiệt sức. Nhưng đám đông rạo rực chung quanh đã vực tinh thần chị ta dậy, họ dùng chân đá với vào cái thân xác tả tơi kia bằng vẻ hằn học, hả hê, quên phứt vụ lúa thất bát cháy khô trên đồng, quên nỗi lo đói no giữa mùa giáp hạt. Cuộc vui hẳn sẽ dài, nếu như không có một ý tưởng mới nảy ra trong cơn phấn khích. Họ dùng dao phay chặt mái tóc dày kia, dục dặc, hì hục như phạt một nắm cỏ cứng và khô. Khi đuôi tóc dứt lìa, được tự do, chị vùng dậy, lao nhanh xuống ghe chúng tôi như một tiếng thét, lăn qua chân tôi, đến chỗ cha, làm đổ những bao trấu cha vừa mới xếp. Đám người ngơ ngác mấy giây để chấp nhận việc con mồi bỏ chạy. Tôi mất mấy giây để háo hức thấy mình nghĩa hiệp như Lục Vân Tiên, tôi lồm cồm xô ghe dạt khỏi bờ, sợ hãi và sung sướng, tôi cầm sào chống thục mạng ra giữa sông, mắt không rời đám người đang tràn ra mé bờ chực lao xuống, nhảy nhót điên cuồng. [...]
(3) Suốt một quãng đường, chị không hề thay đổi thế nằm, im lìm, lạnh ngắt như người chết. Trong ghe chỉ trôi mênh mang những tiếng rên khi dài, khi ngắn, khi thiu thỉu buồn xo, lúc nghe như tiếng nấc nghẹn ngào… Nhờ vậy mà chúng tôi biết chị còn sống, để đi với chúng tôi gần hết con sông Bìm Bịp, đến cánh đồng hoang vắng này. Điền hơi lo lắng khi nghe chị vẫn còn rên rỉ, nghĩ là chị đã đói, nó hối tôi nấu cơm mau. Nó thấy tiếc vì trên ghe chỉ còn mấy con khô sặt mặn chát, “tui nuốt còn không vô, nói chi…”
(Nguyễn Ngọc Tư, Cánh đồng bất tận, NXB Trẻ, Thành phố Hồ Chí Minh, 2014)
Câu 198
Lời giải
Bạn cần đăng ký gói VIP ( giá chỉ từ 199K ) để làm bài, xem đáp án và lời giải chi tiết không giới hạn.
Câu 199
b. Sử dụng câu tỉnh lược
Lời giải
Bạn cần đăng ký gói VIP ( giá chỉ từ 199K ) để làm bài, xem đáp án và lời giải chi tiết không giới hạn.
Câu 200
b. Từ điểm hiện của hiện tại, người kể chuyện hồi cố về quá khứ
Lời giải
Bạn cần đăng ký gói VIP ( giá chỉ từ 199K ) để làm bài, xem đáp án và lời giải chi tiết không giới hạn.
Câu 201
Lời giải
Bạn cần đăng ký gói VIP ( giá chỉ từ 199K ) để làm bài, xem đáp án và lời giải chi tiết không giới hạn.
Đoạn văn 6
Cỏ dại quen nắng mưa
Làm sao mà giết được
Tới mùa nước dâng
Cỏ thường ngập trước
Sau ngày nước rút
Cỏ mọc đầu tiên…
Trong cuộc đời bình yên tựa nghìn xưa
Gần gũi nhất vẫn là cây lúa
Trưa nắng khát ước về vườn quả
Lúc xa nhà nhớ một dáng mây
Một dòng sông, ngọn núi, rừng cây
Một làn khói, một mùi hương trong gió…
Có mấy ai nhớ về ngọn cỏ
Mọc vô tình trên lối ta đi
Dẫu nhỏ nhoi không đáng nhớ làm chi
Không nghĩ đến nhưng mà vẫn có.
(Xuân Quỳnh, Cỏ dại, dẫn theo thivien.net)
Lời giải
Bạn cần đăng ký gói VIP ( giá chỉ từ 199K ) để làm bài, xem đáp án và lời giải chi tiết không giới hạn.
Câu 203
C. Cỏ dại phải chịu nhiều thời tiết khắc nghiệt
Lời giải
Bạn cần đăng ký gói VIP ( giá chỉ từ 199K ) để làm bài, xem đáp án và lời giải chi tiết không giới hạn.
Câu 204
Lời giải
Bạn cần đăng ký gói VIP ( giá chỉ từ 199K ) để làm bài, xem đáp án và lời giải chi tiết không giới hạn.
Câu 205
Lời giải
Bạn cần đăng ký gói VIP ( giá chỉ từ 199K ) để làm bài, xem đáp án và lời giải chi tiết không giới hạn.
Câu 206
Lời giải
Bạn cần đăng ký gói VIP ( giá chỉ từ 199K ) để làm bài, xem đáp án và lời giải chi tiết không giới hạn.
Đoạn văn 7
Vôi sống có hiều ứng dụng như: sản xuất vật liệu xây dựng, vật liệu chịu nhiệt, khử chua đất trồng, tẩy uế, sát trùng, xử lý nước thải. Lò nung vôi trong công nghiệp được mô tả trong hình vẽ sau:

Phản ứng phân hủy đá vôi để tạo ra vôi sống là một phản ứng cần được thực hiện ở nhiệt độ cao. Cụ thể đá vôi cần được đưa tới nhiệt độ khoảng 900oC để quá trình nhiệt phân có thể diễn ra. Kết quả là thu được vôi sống CaO và khí CO2. Ở các lò nung vôi công nghiệp, quá trình kiểm soát phát thải ô nhiễm được thực hiện chặt chẽ hơn. Sau một thời gian nhất định, người ta nạp nguyên liệu (đá vôi, than) vào lò; vôi sống được lấy ra qua cửa ở đáy lò; khí CO2 được thu qua cửa phía trên cửa lò và được dùng để sản xuất muối cacbonat, nước đá khô. Khí CO2 liên tục được rút ra khỏi lò tránh quá trình tái tạo lại đá vôi diễn ra.
Biết rằng:
- Nhiệt hình thành chuẩn của các đá vôi, vôi sống và khí carbonic lần lượt là −1207,6 kJ/mol; −634,9 kJ/mol và −393,5 kJ/mol.
- Đá vôi chỉ chứa CaCO3 và giả sử không có hợp chất nào khác.
Lời giải
Bạn cần đăng ký gói VIP ( giá chỉ từ 199K ) để làm bài, xem đáp án và lời giải chi tiết không giới hạn.
Câu 208
Lời giải
Bạn cần đăng ký gói VIP ( giá chỉ từ 199K ) để làm bài, xem đáp án và lời giải chi tiết không giới hạn.
Câu 209
Lời giải
Bạn cần đăng ký gói VIP ( giá chỉ từ 199K ) để làm bài, xem đáp án và lời giải chi tiết không giới hạn.
Đoạn văn 8
Giới hạn sinh thái là giới hạn chịu đựng của sinh vật đối với một nhân tố sinh thái nhất định của môi trường, trong đó sinh vật có thể tồn tại và phát triển ổn định theo thời gian, nằm ngoài giới hạn sinh thái thì sinh vật không tồn tại được.
Trong giới hạn sinh thái có điểm giới hạn trên (max), điểm giới hạn dưới (min), khoảng cực thuận (khoảng thuận lợi) và các khoảng chống chịu. Vượt ra ngoài các điểm giới hạn, sinh vật sẽ chết.

Hình 1. Sơ đồ giới hạn sinh thái về nhiệt của 3 loài sinh vật.
Những loài có giới hạn sinh thái rộng với nhiều nhân tố thì có vùng phân bố rộng, những loài có giới hạn sinh thái hẹp đối với nhiều nhân tố thì có vùng phân bố hẹp. Ở cơ thể còn non hoặc cơ thể trưởng thành nhưng trạng thái sinh lí thay đổi, giới hạn sinh thái đối với nhiều nhân tố bị thu hẹp.
Câu 210
Lời giải
Bạn cần đăng ký gói VIP ( giá chỉ từ 199K ) để làm bài, xem đáp án và lời giải chi tiết không giới hạn.
Câu 211
Lời giải
Bạn cần đăng ký gói VIP ( giá chỉ từ 199K ) để làm bài, xem đáp án và lời giải chi tiết không giới hạn.
Câu 212
Lời giải
Bạn cần đăng ký gói VIP ( giá chỉ từ 199K ) để làm bài, xem đáp án và lời giải chi tiết không giới hạn.
Đoạn văn 9
Năm 1949, các nước phương Tây đã thành lập Liên minh quân sự Bắc Đại Tây Dương (NATO), tiếp đó học phục hồi và tái vũ trang Tây Đức, cuối cùng cũng kết nạp Tây Đức vào NATO, đe dọa nghiêm trọng đến an ninh của Liên Xô và các nước xã hội chủ nghĩa khác. Khi các nước phương Tây phê chuẩn Hiệp ước Luân Đôn và Pari tháng 5/1955 (về việc Tây Đức gia nhập NATO), Liên Xô đã tuyên bố hủy bỏ các Hiệp ước đồng minh đã kí với Anh năm 1942 và với Pháp năm 1944. Tiếp đó, Liên Xô và các nước chủ nghĩa Đông Âu (gồm A-ba-ni, Ba Lan, Bun-ga-ri, Hung-ga-ri CHDC Đức, Ru-ma-ni và Tiệp Khắc) đã tiến hành cuộc họp khẩn cấp tại Vác-sa-va từ ngày11-14/5/1955. CHND Trung Hoa cũng tham gia với tư cách là quan sát viên. Các nước đã kí Hiệp ước hữu nghị, hợp tác và giúp đỡ lẫn nhau” (còn gọi là Hiệp ước Vác-sa-va). Phù hợp với Hiến chương Liên hợp quốc, các thành viên Hiệp ước cam kết không dùng vũ lực trong quan hệ quốc tế và giải quyết các vấn đề tranh chấp bằng biện pháp hòa bình; tuyên bố sẵn sàng tham gia mọi hoạt động quốc tế nhằm tìm kiếm các biện pháp tích cực để bảo vệ hòa bình và an ninh thế giới, để cắt giảm vũ khí và cấm các loại vũ khí giết người hàng loạt.
(Theo giáo trình lịch sử quan hệ quốc tế 1945-1990, trang 36)
Câu 213
Lời giải
Bạn cần đăng ký gói VIP ( giá chỉ từ 199K ) để làm bài, xem đáp án và lời giải chi tiết không giới hạn.
Câu 214
Lời giải
Bạn cần đăng ký gói VIP ( giá chỉ từ 199K ) để làm bài, xem đáp án và lời giải chi tiết không giới hạn.
Câu 215
Lời giải
Bạn cần đăng ký gói VIP ( giá chỉ từ 199K ) để làm bài, xem đáp án và lời giải chi tiết không giới hạn.
Đoạn văn 10
- Ngày 5-6-1911, từ bến cảng Nhà Rồng, Nguyễn Tất Thành (sau này là Chủ tịch Hồ Chí Minh) rời Tổ quốc ra đi tìm đường cứu nước với thân phận người đầu bếp mang tên Văn Ba trên con tàu Amiral Latouche Tréville (tàu Đô đốc Latouche Tréville) rời cảng Sài Gòn đi Marseille. Đây là một trong 6 con tàu cỡ lớn chuyên chạy tuyến Pháp – Đông Dương của hãng Năm Sao.
Sau này, khi được hỏi về chuyến đi ngày 5-6-1911, Bác đã trả lời một nhà báo Nga như sau: “Khi tôi độ mười ba tuổi, lần đầu tiên tôi được nghe ba chữ Pháp Tự do, Bình đẳng, Bác ái... Tôi rất muốn làm quen với nền văn minh Pháp, muốn tìm xem những gì ẩn giấu đằng sau những chữ ấy”. Trả lời một nhà văn Mỹ cũng về câu hỏi này, Người nói: “Nhân dân Việt Nam trong đó có ông cụ thân sinh ra tôi, lúc này thường tự hỏi nhau ai sẽ là người giúp mình thoát khỏi ách thống trị của Pháp. Người này nghĩ là Anh, có người lại cho là Mỹ. Tôi thấy phải đi ra nước ngoài xem cho rõ. Sau khi xem xét họ làm ăn ra sao, tôi sẽ trở về giúp đồng bào tôi”.
- Năm 1953, để cung cấp tài liệu học tập cho cán bộ, đảng viên, Chủ tịch Hồ Chí Minh viết 50 bài báo giới thiệu có hệ thống những kiến thức chính trị phổ thông, những đạo lý cách mạng cơ bản, đăng trên nhiều số báo của Báo Cứu quốc với bút danh Đ.X. Loạt bài sau này được xuất bản thành sách với tiêu đề “Thường thức chính trị”. Trong loạt bài đã đăng, bài “Chính sách kinh tế của Đảng và Chính phủ” đăng ngày 5-6-1953.
- Ngày 5-6-1968, Bác gửi thư khen cán bộ, chiến sĩ đảo Cồn Cỏ do có thành tích chiến đấu dũng cảm, bắn rơi 4 máy bay Mỹ trong ngày 31-5-1968. Bác nhắc cán bộ, chiến sĩ đảo phải tăng cường đoàn kết, luôn nâng cao cảnh giác, không ngừng tập luyện, sẵn sàng chiến đấu, kiên quyết đập tan mọi âm mưu, thủ đoạn của địch, giành nhiều thắng lợi to lớn hơn nữa. Cuối thư Bác gửi tặng 2 câu thơ:
“Cồn Cỏ nở đầy hoa thắng trận,
Đánh cho tan xác giặc Hoa Kỳ”.
(Sách Chủ tịch Hồ Chí Minh ngày này năm xưa, NXB Chính trị Quốc gia - Sự thật, 2010 và Hồ Chí Minh toàn tập, NXB Chính trị Quốc gia - Sự thật, 2011).
Câu 216
Lời giải
Bạn cần đăng ký gói VIP ( giá chỉ từ 199K ) để làm bài, xem đáp án và lời giải chi tiết không giới hạn.
Câu 217
Lời giải
Bạn cần đăng ký gói VIP ( giá chỉ từ 199K ) để làm bài, xem đáp án và lời giải chi tiết không giới hạn.
Câu 218
B. Võ Nguyên Giáp.
Lời giải
Bạn cần đăng ký gói VIP ( giá chỉ từ 199K ) để làm bài, xem đáp án và lời giải chi tiết không giới hạn.
Đoạn văn 11
Dựa vào bản đồ dưới đây (Atlat Địa lí Việt Nam, Nxb Giáo dục Việt Nam, 2024) và kiến thức đã học, trả lời các câu hỏi dưới đây

Câu 219
Lời giải
Bạn cần đăng ký gói VIP ( giá chỉ từ 199K ) để làm bài, xem đáp án và lời giải chi tiết không giới hạn.
Câu 220
Lời giải
Bạn cần đăng ký gói VIP ( giá chỉ từ 199K ) để làm bài, xem đáp án và lời giải chi tiết không giới hạn.
Câu 221
Lời giải
Bạn cần đăng ký gói VIP ( giá chỉ từ 199K ) để làm bài, xem đáp án và lời giải chi tiết không giới hạn.
Đoạn văn 12
There are more than one billion cows in the world, and cow farming is a large source of methane emissions. This colorless and odorless gas (631) ____ at warming the earth.
Farmers and companies are developing solutions for (632) _____. In Canada and Brazil, farmers started adding a special ingredient to their animals' feed to reduce cows' methane production. In New Zealand, scientists are working on a vaccine which can cut methane emissions. Rather than stopping methane emissions, a UK company has designed face masks to catch the gas (633) ______.
The masks will allow cows to continue their normal diet but will turn methane into CO2 and water. They can fit comfortably on the cow's head and can be adjusted to different head sizes. Sensors on the masks can notice when methane comes out of the cow's mouth and provide the percentage of the gas (634)_____. This information can also be useful for farmers who can use it to (635) __________ the early signs of disease. For example, if a cow eats less, but produces more methane than usual, it may have a health problem.
It is predicted that the need for beef and dairy products will go up in the coming years. The company developing the methane-catching masks hopes that farmers will start using their invention, which will slow down global warming.
Câu 222
Lời giải
Bạn cần đăng ký gói VIP ( giá chỉ từ 199K ) để làm bài, xem đáp án và lời giải chi tiết không giới hạn.
Câu 223
B. to be decreasing cows' methane emissions.
Lời giải
Bạn cần đăng ký gói VIP ( giá chỉ từ 199K ) để làm bài, xem đáp án và lời giải chi tiết không giới hạn.
Câu 224
Lời giải
Bạn cần đăng ký gói VIP ( giá chỉ từ 199K ) để làm bài, xem đáp án và lời giải chi tiết không giới hạn.
Câu 225
Lời giải
Bạn cần đăng ký gói VIP ( giá chỉ từ 199K ) để làm bài, xem đáp án và lời giải chi tiết không giới hạn.
Lời giải
Bạn cần đăng ký gói VIP ( giá chỉ từ 199K ) để làm bài, xem đáp án và lời giải chi tiết không giới hạn.
Đoạn văn 13
Many of the most damaging and life-threating types of weather-torrential rains, severe thunderstorms, and tornadoes-begin quickly, strike suddenly, and dissipate rapidly, devastating small regions while leaving neighboring areas untouched. One such event, a tornado, struck the northeastern section of Edmonton, Alberta, in July 1987. Total damages from the tornado exceeded $250 million, the highest ever for any Canadian storm. Conventional computer models of the atmosphere have limited value in predicting short-live local storms like the Edmonton tornado, because the available weather data are generally not detailed enough to allow computers to discern the subtle atmospheric changes that precede these storms. In most nations, for example, weather balloon observations are taken just once every twelve hours at locations typically separated by hundreds of miles. With such limited data, conventional forecasting models do a much better job predicting general weather conditions over large regions than they do forecasting specific local events.
Until recently, the observation-intensive approach needed for accurate, very short range forecasts, or “Nowcasts”, was not feasible. The cost of equipping and operating many thousands of conventional weather stations was prohibitively high, and the difficulties involved in rapidly collecting and processing the raw weather data from such a network were insurmountable. Fortunately, scientific and technological advances have overcome most of these problems. Radar systems, automated weather instruments, and satellites are all capable of making detailed, nearly continuous observation over large regions at a relatively low cost. Communications satellites can transmit data around the world cheaply and instantaneously, and modern computers can quickly compile and analyzing this large volume of weather information. Meteorologists and computer scientists now work together to design computer programs and video equipment capable of transforming raw weather data into words, symbols, and vivid graphic displays that forecasters can interpret easily and quickly. As meteorologists have begun using these new technologies in weather forecasting offices, Nowcasting is becoming a reality.
Câu 227
Lời giải
Bạn cần đăng ký gói VIP ( giá chỉ từ 199K ) để làm bài, xem đáp án và lời giải chi tiết không giới hạn.
Lời giải
Bạn cần đăng ký gói VIP ( giá chỉ từ 199K ) để làm bài, xem đáp án và lời giải chi tiết không giới hạn.
Câu 229
Lời giải
Bạn cần đăng ký gói VIP ( giá chỉ từ 199K ) để làm bài, xem đáp án và lời giải chi tiết không giới hạn.
Câu 230
Lời giải
Bạn cần đăng ký gói VIP ( giá chỉ từ 199K ) để làm bài, xem đáp án và lời giải chi tiết không giới hạn.
Câu 231
Lời giải
Bạn cần đăng ký gói VIP ( giá chỉ từ 199K ) để làm bài, xem đáp án và lời giải chi tiết không giới hạn.
Đoạn văn 14
Cities develop as a result of functions that they can perform. Some functions result directly from the ingenuity of the citizenry, but most functions result from the needs of the local area and of the surrounding hinterland (the region that supplies goods to the city and to which the city furnishes services and other goods). Geographers often make a distinction between the situation and the site of a city. Situation refers to the general position in relation to the surrounding region, whereas site involves physical characteristics of the specific location. Situation is normally much more important to the continuing prosperity of a city. If a city is well situated in regard to its hinterland, its development is continuing prosperity of a city. If a city is well situated in regard to its hinterland, its development is much more likely to continue. Chicago, for example, possesses an almost unparalleled situation: it is located at the southern end of a huge lake that forces east-west transportation lines to be compressed into its vicinity, and at a meeting of significant land and water transport routes. It also overlooks what is one of the world’s finest large farming regions. These factors ensured that Chicago would become a great city regardless of the disadvantageous characteristics of the available site, such as being prone to flooding during thunderstorm activity.
Similarly, it can be argued that much of New York City’s importance stems from its early and continuing advantage of situation. Philadelphia and Boston both originated at about the same time as New York and shared New York’s location at the western end of one of the world’s most important oceanic trade routes, but only New York possesses an easy-access functional connection (the Hudson- Mohawk Lowland) to the vast Midwestern Hinterland. This account does not alone explain New York’s primacy, but it does include several important factors. Among the many aspects of situation that help to explain why some cities grow and others do not, original location on a navigable waterway seems particularly applicable. Of course, such characteristics as slope, drainage, power resources, river crossings, coastal shapes, and other physical characteristics help to determine city location, but such factors are normally more significant in early stages of city development than later.
Câu 232
Lời giải
Bạn cần đăng ký gói VIP ( giá chỉ từ 199K ) để làm bài, xem đáp án và lời giải chi tiết không giới hạn.
Câu 233
Lời giải
Bạn cần đăng ký gói VIP ( giá chỉ từ 199K ) để làm bài, xem đáp án và lời giải chi tiết không giới hạn.
Câu 234
B. age
Lời giải
Bạn cần đăng ký gói VIP ( giá chỉ từ 199K ) để làm bài, xem đáp án và lời giải chi tiết không giới hạn.
Câu 235
Lời giải
Bạn cần đăng ký gói VIP ( giá chỉ từ 199K ) để làm bài, xem đáp án và lời giải chi tiết không giới hạn.





































