Đề thi Đánh giá năng lực ĐHQG Hà Nội form 2026 có đáp án (Đề số 13)
8 người thi tuần này 4.6 8 lượt thi 151 câu hỏi 120 phút
Bạn cần đăng ký gói VIP ( giá chỉ từ 199K ) để làm bài, xem đáp án và lời giải chi tiết không giới hạn.
🔥 Học sinh cũng đã học
Đề thi Đánh giá năng lực ĐHQG Hà Nội form 2026 có đáp án (Đề số 11)
Đề thi Đánh giá năng lực ĐHQG Hà Nội form 2026 có đáp án (Đề số 10)
Đề thi Đánh giá năng lực ĐHQG Hà Nội form 2025 có đáp án (Đề 41)
Đề thi Đánh giá năng lực ĐHQG Hà Nội form 2026 có đáp án (Đề số 9)
Đề thi Đánh giá năng lực ĐHQG Hà Nội form 2026 có đáp án (Đề số 8)
Đề thi Đánh giá năng lực ĐHQG Hà Nội form 2025 có đáp án (Đề 40)
Đề thi Đánh giá năng lực ĐHQG Hà Nội form 2026 có đáp án (Đề số 7)
Đề thi Đánh giá năng lực ĐHQG Hà Nội form 2026 có đáp án (Đề số 6)
Danh sách câu hỏi:
Lời giải
Sử dụng điều kiện đồng phẳng của ba vectơ.
Giải chi tiết:
Ta có \[[\vec a,\vec b] = (3;{\mkern 1mu} - 3;{\mkern 1mu} 3),\] nên \[[\vec a,\vec b] \cdot \vec c = 3x - 3 \cdot 3x + 3(x + 2) = 0 \Leftrightarrow - 3x + 6 = 0 \Leftrightarrow x = 2.\]
Vậy \(x = 2.\)
Đáp án cần chọn là: D
Lời giải
Giải chi tiết:
Phương trình \(3\sin 2x + 1 = 0\) tương đương với \(\sin 2x = \frac{{ - 1}}{3}\) do vậy ta nhận được hai điểm biểu diễn hai họ nghiệm phân biệt. Bên cạnh đó, do chu kì của \(\sin 2x\) là \(\pi \)nên ta lấy đối xứng các điểm đã có qua gốc tọa độ, nhận được thêm hai điểm biểu diễn các họ nghiệm nữa.
Câu 3
A. Đồ thị hàm số có tiệm cận xiên.
B. Đồ thị hàm số có hai tiệm cận đứng.
C.Đồ thị hàm số có tổng cộng ba đường tiệm cận.
Lời giải
Giải chi tiết:
Dễ thấy hàm số là hàm phân thức, bậc của tử thức bằng với bậc của mẫu thức nên đồ thị hàm số không có tiệm cận xiên.
Hàm số đã cho không xác định tại hai điểm \(x = 2\) và \(x = \frac{1}{2}\) ta tính các giới hạn bên như sau:
\(\mathop {\lim }\limits_{x \to {2^ + }} \frac{{{x^2} - 5x + 6}}{{2{x^2} - 5x + 2}} = \mathop {\lim }\limits_{x \to {2^ + }} \frac{{x - 3}}{{2x - 1}} = - \frac{1}{3},\mathop {\lim }\limits_{x \to {2^ - }} \frac{{{x^2} - 5x + 6}}{{2{x^2} - 5x + 2}} = \mathop {\lim }\limits_{x \to {2^ - }} \frac{{x - 3}}{{2x - 1}} = - \frac{1}{3},\mathop {\lim }\limits_{x \to {{\frac{1}{2}}^ + }} \frac{{{x^2} - 5x + 6}}{{2{x^2} - 5x + 2}} = - \infty .\)
Khi đó đồ thị hàm số có duy nhất một tiệm cận đứng \(x = \frac{1}{2}.\)
\({\rm{Ta c\'o }}\mathop {\lim }\limits_{x \to + \infty } y = \mathop {\lim }\limits_{x \to - \infty } y = \frac{1}{2},{\rm{ }}\)nên đồ thị hàm số có tiệm cận ngang \({\rm{ }}y = \frac{1}{2}.\)
Đáp án cần chọn là: D
Câu 4
A. \(\left[ {\frac{1}{3}; + \infty } \right).\)\(\)
B. \(\left( {\frac{1}{3}; + \infty } \right).\)
C.\(\left( { - 2;\frac{1}{3}} \right).\)
Lời giải
Giải chi tiết:
Tập xác định \(x > \frac{1}{3}\)
Ta có \({\log _{\frac{1}{3}}}(x + 2) < {\log _{\frac{1}{9}}}(3x - 1) \Leftrightarrow {\log _{\frac{1}{3}}}(x + 2) < \frac{1}{2}{\log _{\frac{1}{3}}}(3x - 1) \Leftrightarrow x + 2 > \sqrt {3x - 1} \Leftrightarrow x \ge \frac{1}{3}\)
Kết hợp ĐKXĐ ta có: \(x > \frac{1}{3}\)
Vậy tập nghiệm là \(\left( {\frac{1}{3}; + \infty } \right)\)
Đáp án cần chọn là: B
Câu 5
A.\(m > 2\sqrt 2 .\)
B. \(m < - 2\sqrt 2 .\)
C.\( - 2\sqrt 2 < m < 2\sqrt 2 .\)
Lời giải
Bạn cần đăng ký gói VIP ( giá chỉ từ 199K ) để làm bài, xem đáp án và lời giải chi tiết không giới hạn.
Lời giải
Bạn cần đăng ký gói VIP ( giá chỉ từ 199K ) để làm bài, xem đáp án và lời giải chi tiết không giới hạn.
Lời giải
Bạn cần đăng ký gói VIP ( giá chỉ từ 199K ) để làm bài, xem đáp án và lời giải chi tiết không giới hạn.
Lời giải
Bạn cần đăng ký gói VIP ( giá chỉ từ 199K ) để làm bài, xem đáp án và lời giải chi tiết không giới hạn.
Câu 10
A.\(820000.\)
B. \(760000.\)
C. \(100000.\)
Lời giải
Bạn cần đăng ký gói VIP ( giá chỉ từ 199K ) để làm bài, xem đáp án và lời giải chi tiết không giới hạn.
Câu 11
A. \(m > 1.\)
B. \(m \ge 1.\)
C. \(m < 1.\)
Lời giải
Bạn cần đăng ký gói VIP ( giá chỉ từ 199K ) để làm bài, xem đáp án và lời giải chi tiết không giới hạn.
Câu 12
A. \(\frac{{5\sqrt 3 }}{2}m.\)
B. \(\frac{{5\sqrt 2 }}{2}m.\)
C.\(\frac{{5\sqrt 2 }}{3}m.\)
Lời giải
Bạn cần đăng ký gói VIP ( giá chỉ từ 199K ) để làm bài, xem đáp án và lời giải chi tiết không giới hạn.
Lời giải
Bạn cần đăng ký gói VIP ( giá chỉ từ 199K ) để làm bài, xem đáp án và lời giải chi tiết không giới hạn.
Câu 14
A. \(2\sin x.\)
B. \(2\cos x.\)
D. \( - 2\cot x.\)
Lời giải
Bạn cần đăng ký gói VIP ( giá chỉ từ 199K ) để làm bài, xem đáp án và lời giải chi tiết không giới hạn.
Câu 15
A.\(\)\(\frac{{110}}{3}.\)
B. \(\frac{{110}}{3}\pi .\)
C.\(\frac{{406}}{3}.\)
Lời giải
Bạn cần đăng ký gói VIP ( giá chỉ từ 199K ) để làm bài, xem đáp án và lời giải chi tiết không giới hạn.
Câu 16
A.\(\;\)\(\frac{1}{3}.\)
B.\(\;\)\(\frac{3}{5}.\)
C.\(\frac{3}{4}.\)
Lời giải
Bạn cần đăng ký gói VIP ( giá chỉ từ 199K ) để làm bài, xem đáp án và lời giải chi tiết không giới hạn.
Câu 17
A. \(136\)tháng.
B. \(137\)tháng.
C. \(138\)tháng.
Lời giải
Bạn cần đăng ký gói VIP ( giá chỉ từ 199K ) để làm bài, xem đáp án và lời giải chi tiết không giới hạn.
Câu 18
A. \(80640.\)
B. \(13440.\)
C. \(322560.\)
Lời giải
Bạn cần đăng ký gói VIP ( giá chỉ từ 199K ) để làm bài, xem đáp án và lời giải chi tiết không giới hạn.
Lời giải
Bạn cần đăng ký gói VIP ( giá chỉ từ 199K ) để làm bài, xem đáp án và lời giải chi tiết không giới hạn.
Lời giải
Bạn cần đăng ký gói VIP ( giá chỉ từ 199K ) để làm bài, xem đáp án và lời giải chi tiết không giới hạn.
Câu 21
A. \(1260.\)
B. \(40320.\)
C. \(120.\)
Lời giải
Bạn cần đăng ký gói VIP ( giá chỉ từ 199K ) để làm bài, xem đáp án và lời giải chi tiết không giới hạn.
Lời giải
Bạn cần đăng ký gói VIP ( giá chỉ từ 199K ) để làm bài, xem đáp án và lời giải chi tiết không giới hạn.
Câu 23
A. \(13{\rm{(m/s)}}.\)
B. \(15{\rm{(m/s)}}.\)
C. \(16{\rm{(m/s)}}.\)
Lời giải
Bạn cần đăng ký gói VIP ( giá chỉ từ 199K ) để làm bài, xem đáp án và lời giải chi tiết không giới hạn.
Lời giải
Bạn cần đăng ký gói VIP ( giá chỉ từ 199K ) để làm bài, xem đáp án và lời giải chi tiết không giới hạn.
Lời giải
Bạn cần đăng ký gói VIP ( giá chỉ từ 199K ) để làm bài, xem đáp án và lời giải chi tiết không giới hạn.
Câu 26
A. \(1.\)
B. \(4.\)
C. \(5.\)
Lời giải
Bạn cần đăng ký gói VIP ( giá chỉ từ 199K ) để làm bài, xem đáp án và lời giải chi tiết không giới hạn.
Câu 27
A. \(5.\)
B.\(\sqrt 5 {\rm{ }}\).
C. \(15.\)
Lời giải
Bạn cần đăng ký gói VIP ( giá chỉ từ 199K ) để làm bài, xem đáp án và lời giải chi tiết không giới hạn.
Lời giải
Bạn cần đăng ký gói VIP ( giá chỉ từ 199K ) để làm bài, xem đáp án và lời giải chi tiết không giới hạn.
Câu 29
A.\(\vec a \cdot \vec b = 0.\)
B.\(\left( {\vec a + \frac{1}{2}\vec b} \right) \cdot \left( {\vec b + \frac{1}{2}\vec a} \right) = 0.\)
C.\(\left( { - \vec a + 2\vec b} \right) \cdot \left( {2\vec a - \vec b} \right) = 0.\)
Lời giải
Bạn cần đăng ký gói VIP ( giá chỉ từ 199K ) để làm bài, xem đáp án và lời giải chi tiết không giới hạn.
Câu 30
A.\(\frac{{x - 1}}{7} = \frac{{y - 2}}{{ - 1}} = \frac{{z - 3}}{{10}}.\)
B. \(\frac{{x - 1}}{4} = \frac{{y - 2}}{{13}} = \frac{{z - 3}}{5}.\)
C.\(\frac{{x - 1}}{2} = \frac{{y - 2}}{{ - 3}} = \frac{{z - 3}}{{ - 1}}.\)
Lời giải
Bạn cần đăng ký gói VIP ( giá chỉ từ 199K ) để làm bài, xem đáp án và lời giải chi tiết không giới hạn.
Câu 31
A. \(\left( {3;4;2} \right).\)
B. \(\left( { - 1;0;4} \right).\)
C. \(\left( {1;2;0} \right).\)
Lời giải
Bạn cần đăng ký gói VIP ( giá chỉ từ 199K ) để làm bài, xem đáp án và lời giải chi tiết không giới hạn.
Lời giải
Bạn cần đăng ký gói VIP ( giá chỉ từ 199K ) để làm bài, xem đáp án và lời giải chi tiết không giới hạn.
Câu 33
A. \(\frac{{\sqrt {22} }}{{11}}a.\)
B. \(\frac{{2\sqrt {22} }}{{11}}a.\)
C.\(\frac{{3\sqrt {22} }}{{11}}a.\)
Lời giải
Bạn cần đăng ký gói VIP ( giá chỉ từ 199K ) để làm bài, xem đáp án và lời giải chi tiết không giới hạn.
Câu 34
A. \(\frac{a}{2}\)
B. \(a\)
C.\(\frac{{3a}}{2}\)
Lời giải
Bạn cần đăng ký gói VIP ( giá chỉ từ 199K ) để làm bài, xem đáp án và lời giải chi tiết không giới hạn.
Lời giải
Bạn cần đăng ký gói VIP ( giá chỉ từ 199K ) để làm bài, xem đáp án và lời giải chi tiết không giới hạn.
Câu 36
A. \(\)\(\frac{{5\sqrt 3 }}{{36}}{a^3}.\)
B. \(\frac{{5\sqrt 3 }}{{12}}{a^3}.\)
C.\(\frac{{\sqrt 3 }}{{36}}{a^3}.\)
Lời giải
Bạn cần đăng ký gói VIP ( giá chỉ từ 199K ) để làm bài, xem đáp án và lời giải chi tiết không giới hạn.
Lời giải
Bạn cần đăng ký gói VIP ( giá chỉ từ 199K ) để làm bài, xem đáp án và lời giải chi tiết không giới hạn.
Lời giải
Bạn cần đăng ký gói VIP ( giá chỉ từ 199K ) để làm bài, xem đáp án và lời giải chi tiết không giới hạn.
Câu 39
A. \(0,1\% .\)
B. \(0,19\% .\)
C. \(0,2\% .\)
Lời giải
Bạn cần đăng ký gói VIP ( giá chỉ từ 199K ) để làm bài, xem đáp án và lời giải chi tiết không giới hạn.
Câu 40
A. \(0,53.\)
B. \(0,175.\)
C. \(0,1.\)
Lời giải
Bạn cần đăng ký gói VIP ( giá chỉ từ 199K ) để làm bài, xem đáp án và lời giải chi tiết không giới hạn.
Lời giải
Bạn cần đăng ký gói VIP ( giá chỉ từ 199K ) để làm bài, xem đáp án và lời giải chi tiết không giới hạn.
Lời giải
Bạn cần đăng ký gói VIP ( giá chỉ từ 199K ) để làm bài, xem đáp án và lời giải chi tiết không giới hạn.
Lời giải
Bạn cần đăng ký gói VIP ( giá chỉ từ 199K ) để làm bài, xem đáp án và lời giải chi tiết không giới hạn.
Lời giải
Bạn cần đăng ký gói VIP ( giá chỉ từ 199K ) để làm bài, xem đáp án và lời giải chi tiết không giới hạn.
Lời giải
Bạn cần đăng ký gói VIP ( giá chỉ từ 199K ) để làm bài, xem đáp án và lời giải chi tiết không giới hạn.
Lời giải
Bạn cần đăng ký gói VIP ( giá chỉ từ 199K ) để làm bài, xem đáp án và lời giải chi tiết không giới hạn.
Lời giải
Bạn cần đăng ký gói VIP ( giá chỉ từ 199K ) để làm bài, xem đáp án và lời giải chi tiết không giới hạn.
Lời giải
Bạn cần đăng ký gói VIP ( giá chỉ từ 199K ) để làm bài, xem đáp án và lời giải chi tiết không giới hạn.
Lời giải
Bạn cần đăng ký gói VIP ( giá chỉ từ 199K ) để làm bài, xem đáp án và lời giải chi tiết không giới hạn.
Câu 50
A. Anh ấy, người bạn thân của tôi, đã đi du học.
B. Tôi đi học.
C. Trời mưa to.
Lời giải
Bạn cần đăng ký gói VIP ( giá chỉ từ 199K ) để làm bài, xem đáp án và lời giải chi tiết không giới hạn.
Câu 51
A. Vì trời mưa nên tôi ở nhà.
B. Tuy trời mưa nhưng tôi vẫn đi học.
C. Mặc dù cố gắng nên tôi thất bại.
Lời giải
Bạn cần đăng ký gói VIP ( giá chỉ từ 199K ) để làm bài, xem đáp án và lời giải chi tiết không giới hạn.
Câu 52
A. chim bồ câu / xung đột
B. chim đại bàng / hòa giải
Lời giải
Bạn cần đăng ký gói VIP ( giá chỉ từ 199K ) để làm bài, xem đáp án và lời giải chi tiết không giới hạn.
Câu 53
A. suy sụp / lãng phí
B. thích nghi / quản lý
C. né tránh / kéo dài
Lời giải
Bạn cần đăng ký gói VIP ( giá chỉ từ 199K ) để làm bài, xem đáp án và lời giải chi tiết không giới hạn.
Lời giải
Bạn cần đăng ký gói VIP ( giá chỉ từ 199K ) để làm bài, xem đáp án và lời giải chi tiết không giới hạn.
Câu 55
A. gia tăng
B. nghiêm trọng
Lời giải
Bạn cần đăng ký gói VIP ( giá chỉ từ 199K ) để làm bài, xem đáp án và lời giải chi tiết không giới hạn.
Câu 56
A. luyện tập
B. bền bỉ
C. đáng thất vọng
Lời giải
Bạn cần đăng ký gói VIP ( giá chỉ từ 199K ) để làm bài, xem đáp án và lời giải chi tiết không giới hạn.
Lời giải
Bạn cần đăng ký gói VIP ( giá chỉ từ 199K ) để làm bài, xem đáp án và lời giải chi tiết không giới hạn.
Câu 58
A. mở rộng
B. phong phú
C. thực tiễn
Lời giải
Bạn cần đăng ký gói VIP ( giá chỉ từ 199K ) để làm bài, xem đáp án và lời giải chi tiết không giới hạn.
Câu 59
A. Lời khẳng định về công lao to lớn của Bác.
B. Sự đau xót trước việc Bác ra đi.
C. Tình yêu thương cao cả của Bác đối với mọi người.
Lời giải
Bạn cần đăng ký gói VIP ( giá chỉ từ 199K ) để làm bài, xem đáp án và lời giải chi tiết không giới hạn.
Câu 60
A. Dòng cảm xúc trước con người/ cuộc sống.
B. Loài ong mất rất nhiều công sức để tạo ra một giọt mật.
C. Sự tương đồng của loài ong và con người.
Lời giải
Bạn cần đăng ký gói VIP ( giá chỉ từ 199K ) để làm bài, xem đáp án và lời giải chi tiết không giới hạn.
Câu 61
A. Bon chen và khổ ải
B. Bạc bẽo và mong manh
C. Khôn ranh và lừa dối
Lời giải
Bạn cần đăng ký gói VIP ( giá chỉ từ 199K ) để làm bài, xem đáp án và lời giải chi tiết không giới hạn.
Câu 62
A. Thoang thoảng
B. Mờ nhạt
C. Nồng nàn
Lời giải
Bạn cần đăng ký gói VIP ( giá chỉ từ 199K ) để làm bài, xem đáp án và lời giải chi tiết không giới hạn.
Câu 63
A. Quan hệ vợ chồng do trời định sẵn
B. Gánh nặng phải chịu
C. Kì kèo, kêu ca phàn nàn một cách khó chịu
Lời giải
Bạn cần đăng ký gói VIP ( giá chỉ từ 199K ) để làm bài, xem đáp án và lời giải chi tiết không giới hạn.
Câu 64
A. So sánh
B. Nhân hoá
D. Ẩn dụ
Lời giải
Bạn cần đăng ký gói VIP ( giá chỉ từ 199K ) để làm bài, xem đáp án và lời giải chi tiết không giới hạn.
Câu 65
A. Đầu óc thiếu minh mẫn
B. Suy nghĩ tiêu cực
C. Làm những điều bốc đồng, cảm tính
Lời giải
Bạn cần đăng ký gói VIP ( giá chỉ từ 199K ) để làm bài, xem đáp án và lời giải chi tiết không giới hạn.
Câu 66
A. Phép đối, ẩn dụ
B. Phép điệp, ẩn dụ
C. Nhân hóa, phép điệp
Lời giải
Bạn cần đăng ký gói VIP ( giá chỉ từ 199K ) để làm bài, xem đáp án và lời giải chi tiết không giới hạn.
Câu 67
Đọc đoạn trích và trả lời câu hỏi dưới đây.
Ngày ấy, từ mặt trận Quảng Trị, tôi lái xe đưa chỉ huy sư đoàn ra họp Bộ tư lệnh đang đóng ở rìa thủ đô. Khi chúng tôi ra tới nơi, thành phố đang ngất trời bom đạn. Đây thực sự là cuộc đụng đầu sống mái, một trận quyết chiến vì lẽ mất còn. Giữa huống cảnh chung nước sôi lửa bỏng như thế, chẳng dám màng gì một chuyến về quê, tôi chỉ xin được rảo vào phố để rải non chục lá thư của anh em đồng đội người Hà Nội đã gửi gắm. Tôi muốn trao thư tận tay các gia đình, để có thể nhận được ngay hồi âm mang ngược vào đơn vị cho lính ta sướng. Lựa ngày Nô-en, cấp trên thuận cho tranh thủ. Hạn đến 0 giờ phải trở về trình diện.
Tôi vào thành phố, dưới mưa chiều. Mưa phùn mùa đông buồn bã. Mái nhà, lòng đường, vòm cây một mầu thẫm ướt. Xe cộ phóng rất nhanh, người đi bộ gấp bước. Mặc dù không biết phố nào vào với phố nào, lại ôm trong mình những chín lá thư, nhưng thoạt đầu tôi nghĩ không việc gì phải lo. Chỉ cần hỏi tới một địa chỉ, rồi từ đấy lần lượt nhờ người ở địa chỉ trước đưa mình đến địa chỉ sau. Không dè, rốt cuộc, cả chín lá thư tôi đều phải lùa vào phòng qua khe cửa. Ngày hôm ấy, dường như cả Hà Nội đã khoá trái cửa, bỏ nhà đấy mà đi.
(Bảo Ninh, trích Khắc dấu mạn thuyền, dẫn theo https://isach.info)
Dòng nào nêu đúng cảm nhận về khung cảnh Hà Nội trong câu văn sau: “Thành phố, dưới mưa chiều. Mưa phùn mùa đông buồn bã. Mái nhà, lòng đường, vòm cây một mầu thẫm ướt. Xe cộ phóng rất nhanh, người đi bộ gấp bước.”?
Đọc đoạn trích và trả lời câu hỏi dưới đây.
Ngày ấy, từ mặt trận Quảng Trị, tôi lái xe đưa chỉ huy sư đoàn ra họp Bộ tư lệnh đang đóng ở rìa thủ đô. Khi chúng tôi ra tới nơi, thành phố đang ngất trời bom đạn. Đây thực sự là cuộc đụng đầu sống mái, một trận quyết chiến vì lẽ mất còn. Giữa huống cảnh chung nước sôi lửa bỏng như thế, chẳng dám màng gì một chuyến về quê, tôi chỉ xin được rảo vào phố để rải non chục lá thư của anh em đồng đội người Hà Nội đã gửi gắm. Tôi muốn trao thư tận tay các gia đình, để có thể nhận được ngay hồi âm mang ngược vào đơn vị cho lính ta sướng. Lựa ngày Nô-en, cấp trên thuận cho tranh thủ. Hạn đến 0 giờ phải trở về trình diện.
Tôi vào thành phố, dưới mưa chiều. Mưa phùn mùa đông buồn bã. Mái nhà, lòng đường, vòm cây một mầu thẫm ướt. Xe cộ phóng rất nhanh, người đi bộ gấp bước. Mặc dù không biết phố nào vào với phố nào, lại ôm trong mình những chín lá thư, nhưng thoạt đầu tôi nghĩ không việc gì phải lo. Chỉ cần hỏi tới một địa chỉ, rồi từ đấy lần lượt nhờ người ở địa chỉ trước đưa mình đến địa chỉ sau. Không dè, rốt cuộc, cả chín lá thư tôi đều phải lùa vào phòng qua khe cửa. Ngày hôm ấy, dường như cả Hà Nội đã khoá trái cửa, bỏ nhà đấy mà đi.
(Bảo Ninh, trích Khắc dấu mạn thuyền, dẫn theo https://isach.info)
Dòng nào nêu đúng cảm nhận về khung cảnh Hà Nội trong câu văn sau: “Thành phố, dưới mưa chiều. Mưa phùn mùa đông buồn bã. Mái nhà, lòng đường, vòm cây một mầu thẫm ướt. Xe cộ phóng rất nhanh, người đi bộ gấp bước.”?
A. Khung cảnh tĩnh lặng, đượm buồn, người đi vội vã
B. Khung cảnh đẹp, lãng mạn, phố xá tấp nập.
C. Bức tranh Hà Nội vào buổi chiều nên thơ, lãng mạn
Lời giải
Bạn cần đăng ký gói VIP ( giá chỉ từ 199K ) để làm bài, xem đáp án và lời giải chi tiết không giới hạn.
Lời giải
Bạn cần đăng ký gói VIP ( giá chỉ từ 199K ) để làm bài, xem đáp án và lời giải chi tiết không giới hạn.
Câu 69
A. 13 s.
B. 20 s.
C. 31 s.
Lời giải
Bạn cần đăng ký gói VIP ( giá chỉ từ 199K ) để làm bài, xem đáp án và lời giải chi tiết không giới hạn.
Lời giải
Bạn cần đăng ký gói VIP ( giá chỉ từ 199K ) để làm bài, xem đáp án và lời giải chi tiết không giới hạn.
Lời giải
Bạn cần đăng ký gói VIP ( giá chỉ từ 199K ) để làm bài, xem đáp án và lời giải chi tiết không giới hạn.
Lời giải
Bạn cần đăng ký gói VIP ( giá chỉ từ 199K ) để làm bài, xem đáp án và lời giải chi tiết không giới hạn.
Câu 73
A. q1 > 0, q2 > 0
B. q1 > 0, q2 < 0
C. q1 < 0, q2 > 0
Lời giải
Bạn cần đăng ký gói VIP ( giá chỉ từ 199K ) để làm bài, xem đáp án và lời giải chi tiết không giới hạn.
Lời giải
Bạn cần đăng ký gói VIP ( giá chỉ từ 199K ) để làm bài, xem đáp án và lời giải chi tiết không giới hạn.
Câu 75
A. 5,57. 10-9 Ω m
B. 1,21. 10-5 Ω m
C. 2,23. 10-8 Ω m
Lời giải
Bạn cần đăng ký gói VIP ( giá chỉ từ 199K ) để làm bài, xem đáp án và lời giải chi tiết không giới hạn.
Câu 76
A. 4,375 m/s.
B. 4,375 mm/s.
C. 4,375.10− 6 m/s
Lời giải
Bạn cần đăng ký gói VIP ( giá chỉ từ 199K ) để làm bài, xem đáp án và lời giải chi tiết không giới hạn.
Câu 77
A. 273 K
B. 0∘C
C. 546 K
Lời giải
Bạn cần đăng ký gói VIP ( giá chỉ từ 199K ) để làm bài, xem đáp án và lời giải chi tiết không giới hạn.
Câu 78
A. thể tích khí bên trong phổi tăng lên, làm phổi bị phồng lên
B. thể tích khí bên trong phổi giảm đi, làm phổi bị xẹp xuống
C. bình oxygen bị tắc nghẽn
Lời giải
Bạn cần đăng ký gói VIP ( giá chỉ từ 199K ) để làm bài, xem đáp án và lời giải chi tiết không giới hạn.
Câu 79
A. Giảm một nửa
B. Tăng gấp đôi
C. Tăng bốn lần
Lời giải
Bạn cần đăng ký gói VIP ( giá chỉ từ 199K ) để làm bài, xem đáp án và lời giải chi tiết không giới hạn.
Lời giải
Bạn cần đăng ký gói VIP ( giá chỉ từ 199K ) để làm bài, xem đáp án và lời giải chi tiết không giới hạn.
Câu 81
A. Ném hòn đá (C) đi, cầm hòn đá (A) trong tay, bỏ hòn đá (B) vào túi quần.
B. Ném hòn đá (A) đi, cầm hòn đá (B) trong tay, bỏ hòn đá (C) vào túi quần.
C. Ném hòn đá (C) đi, cầm hòn đá (B) trong tay, bỏ hòn đá (A) vào túi quần.
Lời giải
Bạn cần đăng ký gói VIP ( giá chỉ từ 199K ) để làm bài, xem đáp án và lời giải chi tiết không giới hạn.
Câu 82
A. 4792 năm.
B. 4937 năm.
D. 4913 năm.
Lời giải
Bạn cần đăng ký gói VIP ( giá chỉ từ 199K ) để làm bài, xem đáp án và lời giải chi tiết không giới hạn.
Câu 83
A. Ion sulfate và ion chloride.
B. Ion nitrate và ion carbonate.
C. Ion magnesium và ion calcium.
Lời giải
Bạn cần đăng ký gói VIP ( giá chỉ từ 199K ) để làm bài, xem đáp án và lời giải chi tiết không giới hạn.
Câu 84
A. Tăng nồng độ ammonia.
B. Tăng áp suất chung.
C. Tăng nhiệt độ.
Lời giải
Bạn cần đăng ký gói VIP ( giá chỉ từ 199K ) để làm bài, xem đáp án và lời giải chi tiết không giới hạn.
Câu 85
A. đồng đẳng.
B. đồng phân cấu tạo.
C. đồng phân hình học.
Lời giải
Bạn cần đăng ký gói VIP ( giá chỉ từ 199K ) để làm bài, xem đáp án và lời giải chi tiết không giới hạn.
Câu 86
A. Pin Galvani có anode bằng Pb, cathode bằng Fe.
B. Ở anode xảy ra quá trình Pb2+ + 2e → Pb.
C. Sức điện động của pin là 0,31 V.
Lời giải
Bạn cần đăng ký gói VIP ( giá chỉ từ 199K ) để làm bài, xem đáp án và lời giải chi tiết không giới hạn.
Câu 87
A. (d) và (a).
Β. (a) và (b).
C. (b) và (c).
Lời giải
Bạn cần đăng ký gói VIP ( giá chỉ từ 199K ) để làm bài, xem đáp án và lời giải chi tiết không giới hạn.
Câu 88
A. X là hợp chất hữu cơ đa chức.
B. X thuộc loại carbohydrate.
C. Z có tính chất của polyalcohol.
Lời giải
Bạn cần đăng ký gói VIP ( giá chỉ từ 199K ) để làm bài, xem đáp án và lời giải chi tiết không giới hạn.
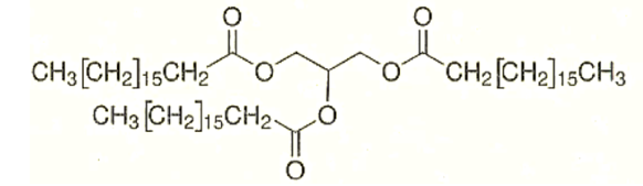
Câu 89
A. Phân tử X có tỉ lệ số nguyên tử carbon và hydrogen là 1 : 2.
B. X là carboxylic acid no, đơn chức, có công thức phân tử C5H10O2.
C. Ở điều kiện đun nóng, X phản ứng với NaOH với tỉ lệ mol là 1 : 1.
Lời giải
Bạn cần đăng ký gói VIP ( giá chỉ từ 199K ) để làm bài, xem đáp án và lời giải chi tiết không giới hạn.
Lời giải
Bạn cần đăng ký gói VIP ( giá chỉ từ 199K ) để làm bài, xem đáp án và lời giải chi tiết không giới hạn.
Lời giải
Bạn cần đăng ký gói VIP ( giá chỉ từ 199K ) để làm bài, xem đáp án và lời giải chi tiết không giới hạn.
Lời giải
Bạn cần đăng ký gói VIP ( giá chỉ từ 199K ) để làm bài, xem đáp án và lời giải chi tiết không giới hạn.
Câu 93
A. Acetic acid.
B. Methyl formate.
C. Acetone.
Lời giải
Bạn cần đăng ký gói VIP ( giá chỉ từ 199K ) để làm bài, xem đáp án và lời giải chi tiết không giới hạn.
Lời giải
Bạn cần đăng ký gói VIP ( giá chỉ từ 199K ) để làm bài, xem đáp án và lời giải chi tiết không giới hạn.
Lời giải
Bạn cần đăng ký gói VIP ( giá chỉ từ 199K ) để làm bài, xem đáp án và lời giải chi tiết không giới hạn.
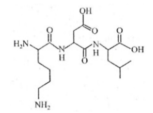
Câu 96
A. X có amino acid đầu N là lysine, đầu C là valine.
B. Trong môi trường kiềm, X không có phản ứng màu biuret.
C. X có chứa 3 liên kết peptide.
Lời giải
Bạn cần đăng ký gói VIP ( giá chỉ từ 199K ) để làm bài, xem đáp án và lời giải chi tiết không giới hạn.
Câu 97
A. H2NCH2CONHCH(CH3)COOH.
B. H2NCH2CH2CONHCH(CH3)COOH.
C. H2NCH2CONHCH2CH2COOH.
Lời giải
Bạn cần đăng ký gói VIP ( giá chỉ từ 199K ) để làm bài, xem đáp án và lời giải chi tiết không giới hạn.
Câu 98
A. Lưới nội chất trơn
B. Ribosome
C. Ty thể
Lời giải
Bạn cần đăng ký gói VIP ( giá chỉ từ 199K ) để làm bài, xem đáp án và lời giải chi tiết không giới hạn.
Câu 100
A. (I), (II)
B. (III), (IV)
C. (I), (IV)
Lời giải
Bạn cần đăng ký gói VIP ( giá chỉ từ 199K ) để làm bài, xem đáp án và lời giải chi tiết không giới hạn.
Câu 101
A. Hội chứng Down.
B. Hội chứng Klinefelter.
Lời giải
Bạn cần đăng ký gói VIP ( giá chỉ từ 199K ) để làm bài, xem đáp án và lời giải chi tiết không giới hạn.
Câu 102
A. so sánh dấu vấn tay của anh A với dấu vân tay của ông B.
B. so sánh kiểu gene của anh A với kiểu gene của ông B.
C. so sánh chỉ số DNA của anh A với chỉ số DNA của ông B.
Lời giải
Bạn cần đăng ký gói VIP ( giá chỉ từ 199K ) để làm bài, xem đáp án và lời giải chi tiết không giới hạn.
Câu 103
A. Sơ đồ 1
B. Sơ đồ 2
C. Sơ đồ 1 và 3
Lời giải
Bạn cần đăng ký gói VIP ( giá chỉ từ 199K ) để làm bài, xem đáp án và lời giải chi tiết không giới hạn.
Lời giải
Bạn cần đăng ký gói VIP ( giá chỉ từ 199K ) để làm bài, xem đáp án và lời giải chi tiết không giới hạn.
Câu 105
A. Điều kiện sống của chúng quá khắc nghiệt do vậy chúng là các loại cây phát triển chậm khi so sánh với các loài thực vật khác.
B. Là thực vật C3 nên khả năng đồng hóa Carbon nhanh, tốt hơn thực vật CAM.
C. Là thực vật C4 nên khả năng đồng hóa Carbon chậm hơn.
Lời giải
Bạn cần đăng ký gói VIP ( giá chỉ từ 199K ) để làm bài, xem đáp án và lời giải chi tiết không giới hạn.
Câu 106
A. Lưới thức ăn này gồm 7 bậc dimh dưỡng.
B. Cú là động vật ăn nhiều loại thức ăn nhất.
C. Nếu thỏ diệt vong thì ít nhất 3 loài diệt vong theo.
Lời giải
Bạn cần đăng ký gói VIP ( giá chỉ từ 199K ) để làm bài, xem đáp án và lời giải chi tiết không giới hạn.
Câu 107
A. Tỉ lệ giao phối cùng loài thấp hơn giao phối khác loài.
B. Tỉ lệ giao phối cùng và khác vùng địa lí không có chênh lệch lớn.
C. Trở ngại sinh sản giữa các quần thể ổn định khi không có trở ngại địa lí.
Lời giải
Bạn cần đăng ký gói VIP ( giá chỉ từ 199K ) để làm bài, xem đáp án và lời giải chi tiết không giới hạn.
Câu 108
A. Xác suất để người III-2 mang gene bệnh là 0,33.
B. Người nam II-2 chắc chắn mang allele gây bệnh.
C. Người III-2 mang allele gây bệnh do bố truyền cho.
Lời giải
Bạn cần đăng ký gói VIP ( giá chỉ từ 199K ) để làm bài, xem đáp án và lời giải chi tiết không giới hạn.
Câu 109
A. Loài ưu thế.
B. Loài đặc trưng.
Lời giải
Bạn cần đăng ký gói VIP ( giá chỉ từ 199K ) để làm bài, xem đáp án và lời giải chi tiết không giới hạn.
Lời giải
Bạn cần đăng ký gói VIP ( giá chỉ từ 199K ) để làm bài, xem đáp án và lời giải chi tiết không giới hạn.
Câu 111
A. Giảm sự cạnh tranh giữa 2 loài.
B. Tăng hàm lượng oxygen trong nước nhờ sự quang hợp của rong.
C. Rong làm nguồn thức ăn cho cá.
Lời giải
Bạn cần đăng ký gói VIP ( giá chỉ từ 199K ) để làm bài, xem đáp án và lời giải chi tiết không giới hạn.
Đoạn văn 2
Đo chỉ số BMI của một số người trưởng thành trong một nhóm dân cư, ta thu được bảng số liệu:

Lời giải
Bạn cần đăng ký gói VIP ( giá chỉ từ 199K ) để làm bài, xem đáp án và lời giải chi tiết không giới hạn.
Lời giải
Bạn cần đăng ký gói VIP ( giá chỉ từ 199K ) để làm bài, xem đáp án và lời giải chi tiết không giới hạn.
Đoạn văn 3
Văn bản:
“Cuộc sống giống như việc đạp xe. Để giữ thăng bằng, bạn phải tiếp tục di chuyển.” – Albert Einstein
Lời giải
Bạn cần đăng ký gói VIP ( giá chỉ từ 199K ) để làm bài, xem đáp án và lời giải chi tiết không giới hạn.
Lời giải
Bạn cần đăng ký gói VIP ( giá chỉ từ 199K ) để làm bài, xem đáp án và lời giải chi tiết không giới hạn.
Câu 116
A. Khuyên nên tập thể dục
B. Sống phải vận động
C. Muốn thành công phải không ngừng cố gắng
Lời giải
Bạn cần đăng ký gói VIP ( giá chỉ từ 199K ) để làm bài, xem đáp án và lời giải chi tiết không giới hạn.
Câu 117
A. Nghĩa gốc
B. Nghĩa chuyển
C. Nghĩa tường minh
Lời giải
Bạn cần đăng ký gói VIP ( giá chỉ từ 199K ) để làm bài, xem đáp án và lời giải chi tiết không giới hạn.
Câu 118
A. Sống chậm lại
B. Không được bỏ cuộc
C. Hãy học vật lí
Lời giải
Bạn cần đăng ký gói VIP ( giá chỉ từ 199K ) để làm bài, xem đáp án và lời giải chi tiết không giới hạn.
Đoạn văn 4
Đọc đoạn trích dưới đây và trả lời các câu hỏi 66 đến 70.
(1) Vậy nguyên nhân nào dẫn đến bệnh dại?
Bệnh dại là thứ bệnh không thể dự đoán được. Các giai đoạn nhiễm bệnh bao gồm giai đoạn ủ bệnh có phạm vi từ vài ngày đến vài tháng, với các triệu chứng ban đầu giống cúm, một giai đoạn tác động nhiều đến thần kinh, hôn mê và sau đó là chết. Các triệu chứng chung ở giai đoạn sớm ở người, như mệt mỏi, sốt, buồn nôn, thường không cụ thể. Các triệu chứng thần kinh có thể gồm sự hung hăng, hỗn loạn, khó nuốt và bị tê liệt.
Phần lớn những người bị nhiễm bệnh dại đều do động vật cắn. Những con đường lây nhiễm ít phổ biến hơn là tiếp xúc với các màng nhầy của mắt, mũi hay miệng. Một khi virus nhảy vào cơ thể con người, nó có thể bắt đầu sao chép trong mô cơ hoặc sau đó đi trực tiếp vào não. Một khi nó lan sang các nội quan khác, người bệnh thường chết vì viêm não.
(2) Các trường hợp mắc bệnh dại có gia tăng?
Tỉ lệ mắc bệnh dại ở động vật biến thiên hằng năm. Trong suốt năm 2021, 54 khu vực pháp lý của Mỹ cho biết có 3.663 động vật nhiễm dại, suy giảm 18,2% so với năm trước. Các quốc gia có thu nhập thấp và trung bình, cụ thể từ đại dịch COVID-19, đã phải chịu cảnh đứt đoạn chủng ngừa bệnh dại trên động vật do tình hình đại dịch ảnh hưởng đến việc sản xuất vaccine và khả năng tiếp cận vaccine cũng như làm gia tăng số lượng các loài động vật hoang dã.
Các trường hợp mắc bệnh dại đã gia tăng ở nhiều quốc gia do những nhân tố sinh học và kinh tế xã hội. Ví dụ, ở Trung Quốc, các trường hợp mắc bệnh dại liên quan đến dân số đô thị và các trung tâm vận chuyển. Sự gần gũi một loài động vật nhạy cảm với một cộng đồng đang có dịch bệnh thì nguy cơ lây lan càng cao.
Sự gia tăng của nhiệt độ do biến đổi khí hậu có liên quan đến sự gia tăng của lan truyền bệnh dại bởi vì những thay đổi trong phạm vi sống của động vật. Ví dụ, ở những vùng ấm, sự liên quan về phân bố và sự thừa mứa các ổ mầm bệnh, như các loài động vật nhiệt đới như dơi quỷ, có thể gia tăng. Mức nhiệt gia tăng ở Bắc cực có thể làm gia tăng tần suất cáo Bắc cực và cáo đỏ tương tác với nhau và dẫn đến các dịch bệnh.
(Thanh Hương tổng hợp, Tại sao bệnh dại không dự đoán được và có thể gây chết người?, Tạp chí Tia sáng, ngày 29/02/2024)
Câu 119
A. Virus tồn tại ngoài môi trường rất lâu
B. Triệu chứng đầu giống các bệnh thông thường
C. Người bệnh luôn không có biểu hiện
Lời giải
Bạn cần đăng ký gói VIP ( giá chỉ từ 199K ) để làm bài, xem đáp án và lời giải chi tiết không giới hạn.
Câu 120
A. Lây chủ yếu qua tiếp xúc không khí
B. Lây chủ yếu qua động vật cắn
C. Lây qua thực phẩm
Lời giải
Bạn cần đăng ký gói VIP ( giá chỉ từ 199K ) để làm bài, xem đáp án và lời giải chi tiết không giới hạn.
Câu 121
A. Khí hậu không ảnh hưởng đến dịch bệnh
B. Biến đổi khí hậu làm virus tự suy yếu
C. Thay đổi môi trường sống làm tăng tương tác giữa loài mang mầm bệnh
Lời giải
Bạn cần đăng ký gói VIP ( giá chỉ từ 199K ) để làm bài, xem đáp án và lời giải chi tiết không giới hạn.
Câu 122
A. Tăng dân số toàn cầu
B. Gián đoạn tiêm vaccine do đại dịch
C. Thiếu nghiên cứu khoa học
Lời giải
Bạn cần đăng ký gói VIP ( giá chỉ từ 199K ) để làm bài, xem đáp án và lời giải chi tiết không giới hạn.
Câu 123
A. Bệnh dại hoàn toàn do yếu tố tự nhiên
B. Bệnh dại chịu tác động tổng hợp của yếu tố sinh học và xã hội
C. Bệnh dại chỉ phổ biến ở nước nghèo
Lời giải
Bạn cần đăng ký gói VIP ( giá chỉ từ 199K ) để làm bài, xem đáp án và lời giải chi tiết không giới hạn.
Đoạn văn 5
Đọc đoạn trích dưới đây và trả lời các câu hỏi 71 đến 75.
Theo Sở Văn hóa, Thể thao và Du lịch tỉnh, qua rà soát các yếu tố về lịch sử hình thành, quy trình chế biến cùng những giá trị văn hóa đặc trưng của nghề nước mắm truyền thống Phan Thiết và đối chiếu với hệ thống tư liệu kiểm kê di sản văn hóa phi vật thể cho thấy nghề này cơ bản đáp ứng đầy đủ các tiêu chí và điều kiện triển khai.
Do đó, Sở Văn hóa, Thể thao và Du lịch đề xuất UBND tỉnh cho chủ trương giao đơn vị làm đầu mối chủ trì, phối hợp với các cơ quan, đơn vị liên quan triển khai các bước, quy trình cần thiết nhằm hoàn thiện hồ sơ khoa học “nghề nước mắm truyền thống Phan Thiết”. Sau khi hoàn tất, hồ sơ sẽ được tham mưu trình Bộ Văn hóa, Thể thao và Du lịch xem xét trong năm 2026.
Nghề làm nước mắm Phan Thiết có khoảng 300 năm gắn bó cùng cư dân ven biển Nam Trung Bộ. Trải qua nhiều thế hệ, nghề nước mắm không chỉ tạo sinh kế cho người dân mà còn góp phần hình thành bản sắc văn hóa đặc trưng của vùng đất Phan Thiết.
Hiện trên địa bàn có hơn 200 cơ sở tham gia sản xuất, kinh doanh nước mắm. Mỗi năm, các cơ sở này cung ứng ra thị trường hàng chục triệu lít nước mắm các loại. Dù vẫn duy trì quy trình chế biến theo phương pháp truyền thống, song mỗi cơ sở lại có những bí quyết riêng trong khâu chọn nguyên liệu và pha chế, tạo nên hương vị đặc trưng cho từng sản phẩm.
Riêng Hiệp hội nước mắm Phan Thiết hiện có 48 hội viên, gồm 5 công ty cổ phần, 29 công ty trách nhiệm hữu hạn, 1 doanh nghiệp tư nhân và 13 cơ sở sản xuất. Đây được xem là lực lượng nòng cốt trong việc gìn giữ, phát huy giá trị nghề truyền thống, đồng thời thúc đẩy phát triển sản xuất gắn với bảo tồn di sản văn hóa.
Việc lập hồ sơ đề nghị công nhận nghề nước mắm truyền thống Phan Thiết là Di sản văn hóa phi vật thể quốc gia được kỳ vọng sẽ góp phần bảo tồn giá trị văn hóa đặc sắc thương hiệu nước mắm Phan Thiết trên thị trường trong nước và quốc tế.
(Xuân Ngọc, Đề xuất nghề nước mắm Phan Thiết là Di sản văn hóa phi vật thể quốc gia, dẫn theo vietnam.net)
Câu 124
A. Làm nổi bật bề dày truyền thống
B. Chứng minh quy mô kinh tế
C. Phê phán sản xuất công nghiệp
Lời giải
Bạn cần đăng ký gói VIP ( giá chỉ từ 199K ) để làm bài, xem đáp án và lời giải chi tiết không giới hạn.
Câu 125
A. Chứng minh nghề đang suy thoái
B. Tăng tính thuyết phục khách quan
C. So sánh với ngành khác
Lời giải
Bạn cần đăng ký gói VIP ( giá chỉ từ 199K ) để làm bài, xem đáp án và lời giải chi tiết không giới hạn.
Câu 126
A. Sản xuất công nghiệp hóa
B. Thiếu thống nhất chất lượng
C. Kết hợp truyền thống và sáng tạo
Lời giải
Bạn cần đăng ký gói VIP ( giá chỉ từ 199K ) để làm bài, xem đáp án và lời giải chi tiết không giới hạn.
Câu 127
A. Tăng giá bán
B. Tạo độc quyền
C. Bảo tồn và phát huy giá trị văn hóa
Lời giải
Bạn cần đăng ký gói VIP ( giá chỉ từ 199K ) để làm bài, xem đáp án và lời giải chi tiết không giới hạn.
Câu 128
A. Đối lập
B. Phụ thuộc một chiều
C. Gắn bó song hành
Lời giải
Bạn cần đăng ký gói VIP ( giá chỉ từ 199K ) để làm bài, xem đáp án và lời giải chi tiết không giới hạn.
Đoạn văn 6
Đọc đoạn trích dưới đây và trả lời các câu hỏi 86 đến 90.
Các trợ lý AI như ChatGPT hay Gemini đang trở thành trung gian mặc định giữa người dùng và Internet. Người dùng hỏi AI mọi thứ, từ cách sửa máy rửa bát đến viết email khó. Tuy nhiên, rủi ro lớn nhất là AI có thể nghe rất hữu ích ngay cả khi nó đang nói sai.
AI không "biết" sự việc theo cách con người hiểu. Nó chỉ dự đoán câu trả lời dựa trên khuôn mẫu dữ liệu. Do đó, nó có thể xuất sắc trong việc tóm tắt nhưng lại sai lệch hoàn toàn về các chi tiết cơ bản như ngày tháng, trích dẫn hay kiến thức y khoa.
Nguy hiểm hơn, sự phản hồi tức thì và giọng điệu thân thiện, không phán xét của chatbot tạo ra "bẫy niềm tin", khiến não bộ người dùng tiếp nhận thông tin mà thiếu sự đề phòng.
Để sử dụng AI có trách nhiệm, hãy áp dụng 5 quy tắc sau:
1. Dùng AI để tạo cấu trúc, không phải tìm chân lý
AI rất giỏi trong việc sắp xếp những suy nghĩ lộn xộn thành văn bản có hệ thống. Hãy dùng nó để lập dàn ý, tạo danh sách kiểm tra (checklist), tóm tắt ghi chú hoặc lên lịch trình du lịch.
Tuy nhiên, đừng coi AI là nguồn chân lý cuối cùng. Nguyên tắc đơn giản: Nếu một sai sót có thể khiến bạn mất tiền, ảnh hưởng sức khỏe, uy tín hoặc các mối quan hệ, hãy luôn kiểm chứng lại thông tin.
2. Yêu cầu AI "trình bày bài giải"
Một trong những cách tốt nhất để giảm thiểu ảo giác (hallucinations - việc AI tự bịa ra thông tin) là buộc nó phải minh bạch. Hãy sử dụng các câu lệnh (prompts) như: "Bạn đang dựa trên những giả định nào", "Liệt kê các nguồn thông tin cho câu trả lời này", "Đưa ra câu trả lời kèm theo mức độ không chắc chắn".
Ngay cả khi không thể trích dẫn hoàn hảo, AI thường sẽ tiết lộ khi nó đang "đoán mò".
3. Coi kết quả chỉ là bản nháp đầu tiên
AI có thể giúp bạn đi được hơn nửa chặng đường rất nhanh, nhưng phần còn lại cần sự can thiệp của con người về ngữ cảnh, gu thẩm mỹ và độ chính xác. Điều này đặc biệt đúng với đơn xin việc, bài tập, đánh giá hiệu suất hay các email nhạy cảm. Người dùng thông minh không nhờ AI suy nghĩ thay, mà dùng nó để suy nghĩ nhanh hơn.
4. Không giao phó quyền phán xét
AI có thể giúp cân nhắc các lựa chọn hoặc phân tích ưu nhược điểm, nhưng nó không nên là người đưa ra quyết định cuối cùng. Nếu bạn thấy mình đang nghĩ "AI bảo đây là lựa chọn tốt nhất nên tôi sẽ làm theo" hoặc "AI khuyên tôi nên nghỉ việc", hãy dừng lại. Đó không phải là năng suất, đó là sự "ủy quyền cảm xúc" đầy rủi ro.
5. Bảo mật thông tin cá nhân tuyệt đối
Vì giao diện chatbot tạo cảm giác an toàn, người dùng thường dễ dàng chia sẻ thông tin quá mức. Để giảm thiểu rủi ro, tuyệt đối không nhập các thông tin sau vào chatbot: số tài khoản, mật khẩu, chi tiết hồ sơ bệnh án, thông tin pháp lý riêng tư.
Những "vùng cấm" khi dùng AI
Trong một số trường hợp, hãy chỉ coi AI là công cụ động não (brainstorming), tuyệt đối không dùng làm chuyên gia tư vấn. Trong y tế, không sử dụng chatbot để chẩn đoán hay kê đơn; không tin tưởng AI trong tư vấn hợp đồng hay tranh chấp; không dùng AI để quyết định đầu tư hay xử lý thuế.
Tương lai của AI không chỉ nằm ở các mô hình thông minh hơn, mà ở cách người dùng ra quyết định khôn ngoan hơn. Hãy tin vào quy trình kiểm chứng, đừng tin vào "tính cách" của chatbot.
(Theo Tom's Guide)
(Du Lam, 5 nguyên tắc vàng khi dùng AI để không bị 'dắt mũi', theo vietnam.net)
Câu 129
A. Mất kết nối internet
B. Suy giảm tư duy phản biện và sáng tạo
C. Tốn nhiều chi phí
Lời giải
Bạn cần đăng ký gói VIP ( giá chỉ từ 199K ) để làm bài, xem đáp án và lời giải chi tiết không giới hạn.
Câu 130
A. Không chia sẻ thông tin cá nhân
B. Không để AI thay thế hoàn toàn vai trò con người trong quyết định cá nhân
C. Không dùng AI viết văn
Lời giải
Bạn cần đăng ký gói VIP ( giá chỉ từ 199K ) để làm bài, xem đáp án và lời giải chi tiết không giới hạn.
Câu 131
A. Phải kiểm chứng thông tin
B. Phải trả phí
C. Phải dùng hàng ngày
Lời giải
Bạn cần đăng ký gói VIP ( giá chỉ từ 199K ) để làm bài, xem đáp án và lời giải chi tiết không giới hạn.
Câu 132
A. Phủ nhận hoàn toàn
B. Khách quan, cảnh báo nhưng không cực đoan
C. Ca ngợi tuyệt đối
Lời giải
Bạn cần đăng ký gói VIP ( giá chỉ từ 199K ) để làm bài, xem đáp án và lời giải chi tiết không giới hạn.
Câu 133
A. AI nên thay thế giáo viên
B. Con người phải làm chủ công nghệ
C. Không nên dùng AI
Lời giải
Bạn cần đăng ký gói VIP ( giá chỉ từ 199K ) để làm bài, xem đáp án và lời giải chi tiết không giới hạn.
Đoạn văn 7
Đọc đoạn trích sau đây và trả lời các câu hỏi từ câu 91 đến câu 95:
[…] Trước đó, nhóm của Zhang cũng đã công bố về tục nhổ răng của người Việt cổ như một nghi lễ đánh dấu tuổi trưởng thành và là chỉ dấu cho thấy sự giao thoa văn hóa với làn sóng di cư từ phương Bắc xuống Đông Nam Á. Những nghiên cứu hóa học hiện đại về các di cốt người Việt cổ giúp mở cánh cửa cho chúng ta hiểu nhiều hơn về tổ tiên mình, từ di cư cho đến bản sắc văn hóa, quan niệm về chuẩn mực vẻ đẹp.
Theo Piyawit Moonkham, nhà khảo cổ học môi trường tại Đại học Chiang Mai (Thái Lan), nghiên cứu này mở rộng đáng kể hiểu biết của chúng ta về phong tục nhuộm răng.
"Nó cho thấy phong tục này có thể từng phổ biến, quan trọng trong các cộng đồng dân cư tiền sử và sơ sử, chứ không phải bị che giấu, cấm đoán hay bị cho là gây hại [cho răng] như cách xã hội ngày nay nhìn nhận".
Shannon Tushingham, nhà khảo cổ học nhân chủng tại Viện Hàn lâm Khoa học California (Mỹ), người không tham gia nghiên cứu, chia sẻ trên Science rằng kết quả này cho thấy ý nghĩa văn hóa sâu sắc của một thực hành lâu nay thường bị hiểu sai và thậm chí bị văn hóa phương Tây chê bai.
Trước đây, các nhà sử học đã ghi nhận ở nhiều vùng thuộc châu Á, châu Phi, châu Đại Dương và châu Mỹ, người xưa từng nhuộm răng thành màu đen hoặc sẫm màu vì nhiều lý do khác nhau.
Có nơi xem đây là một nghi thức "thành đinh" đánh dấu tuổi trưởng thành. Thanh thiếu niên khi đến tuổi cập kê (khoảng 13-16 tuổi) sẽ bắt đầu nhuộm răng. Người nào không nhuộm răng sẽ bị cho là người không đứng đắn.
Có nơi làm vậy để khẳng định mình là người, phân biệt với động vật hoặc yêu quái. Răng trắng bị coi là răng ma, răng thú.
Một phần lý do nhuộm răng đến từ nhu cầu thẩm mỹ. Ở các vùng ăn trầu như Việt Nam và các nước Đông Nam Á khác, răng thường bị xỉn màu. Thay vì để răng loang lổ, người xưa nhuộm đen để màu răng đều và bóng.
Hàm răng đen nhánh khi ấy được xem là duyên dáng, lịch sự, đi vào ca dao, thơ ca.
Mình về có nhớ ta chăng?
Ta về ta nhớ hàm răng mình cười.
Năm quan mua lấy miệng cười,
Mười quan chẳng tiếc, tiếc người răng đen.
hay
Lấy chồng cho đáng tấm chồng,
Bõ công trang điểm má hồng răng đen.
Vào những dịp quan trọng như lễ Tết, lễ hỏi hay lễ cưới, người ta thường nhuộm lại răng cho đen bóng như mới. Một hàm răng đen khi ấy không chỉ là chuyện làm đẹp, mà còn thể hiện sự chỉn chu và tôn trọng những sự kiện trọng đại trong đời.
Đến thời kỳ hiện đại, người Việt va đập với văn minh phương Tây, chuẩn mực cái đẹp thay đổi. Tục lệ này bị các tiêu chuẩn vẻ đẹp hiện đại hay theo chủ nghĩa lấy châu Âu làm trung tâm coi thường như một "hố đen thăm thẳm trong miệng", và dần biến mất khỏi đời sống văn hóa người Việt hiện đại.
Trong cuốn Việt Nam Phong tục, Phan Kế Bính có nhận xét về sự thay đổi này: "Đàn ông răng trắng thì chẳng sao, chớ đàn bà nhà tử tế bây giờ mà răng trắng thì coi khí ngộ một đôi chút. Nhưng lâu dần cũng phải quen mắt, có lẽ quen mắt rồi thì trắng lại đẹp hơn đen nhiều".
Mặc dù hình ảnh răng đen đã biến mất trong xã hội Việt Nam hiện đại, nhưng ấn tượng về phong tục này vẫn còn trong ký ức của nhiều người trẻ - nhất là khi nhớ về ông bà, cha mẹ, về lịch sử văn hóa dân tộc.
Mới đây, một nhóm bạn trẻ ở Hà Nội đã thực hiện bộ ảnh tái hiện chợ Tết thời bao cấp, nhuộm răng đen để nhập vai vào không khí của một thời đã qua.
Có lẽ, đó là một cách để người trẻ đối thoại với quá khứ, để hiểu vì sao tổ tiên mình từng coi đó là đẹp, là chuẩn mực, là đáng tự hào, để biết mình đến từ đâu.
(Theo Trang Linh, trích 2.000 năm bản sắc răng đen: Khoa học nối truyền thuyết và sử liệu, dẫn theo Tạp chí Tia sáng)
Câu 134
A. Thẩm mỹ truyền thống
B. Điều trị y khoa
C. Bắt buộc pháp lý
Lời giải
Bạn cần đăng ký gói VIP ( giá chỉ từ 199K ) để làm bài, xem đáp án và lời giải chi tiết không giới hạn.
Câu 135
A. Chứng minh tính khoa học của phong tục
B. Phê phán người xưa
C. So sánh với hiện đại
Lời giải
Bạn cần đăng ký gói VIP ( giá chỉ từ 199K ) để làm bài, xem đáp án và lời giải chi tiết không giới hạn.
Câu 136
A. Văn hóa không bao giờ thay đổi
B. Ảnh hưởng của giao lưu và thẩm mỹ hiện đại
C. Người Việt từ bỏ truyền thống
Lời giải
Bạn cần đăng ký gói VIP ( giá chỉ từ 199K ) để làm bài, xem đáp án và lời giải chi tiết không giới hạn.
Câu 137
A. Tự sự – biểu cảm
B. Miêu tả – nghị luận
C. Thuyết minh – nghị luận
Lời giải
Bạn cần đăng ký gói VIP ( giá chỉ từ 199K ) để làm bài, xem đáp án và lời giải chi tiết không giới hạn.
Câu 138
A. Cần khôi phục tục răng đen
B. Mọi phong tục đều lạc hậu
C. Cần nhìn nhận văn hóa truyền thống bằng cái nhìn khoa học và khách quan
Lời giải
Bạn cần đăng ký gói VIP ( giá chỉ từ 199K ) để làm bài, xem đáp án và lời giải chi tiết không giới hạn.
Đoạn văn 8
Đọc bài viết sau đây và trả lời các câu hỏi từ câu 96 đến câu 100:
(1) Cỏ dại quen nắng mưa
Làm sao mà giết được
Tới mùa nước dâng
Cỏ thường ngập trước
Sau ngày nước rút
Cỏ mọc đầu tiên…
(2) Trong cuộc đời bình yên tựa nghìn xưa
Gần gũi nhất vẫn là cây lúa
Trưa nắng khát ước về vườn quả
Lúc xa nhà nhớ một dáng mây
Một dòng sông, ngọn núi, rừng cây
Một làn khói, một mùi hương trong gió…
Có mấy ai nhớ về ngọn cỏ
Mọc vô tình trên lối ta đi
Dẫu nhỏ nhoi không đáng nhớ làm chi
Không nghĩ đến nhưng mà vẫn có.
(Xuân Quỳnh, Cỏ dại, dẫn theo thivien.net)
Câu 139
A. Sự tầm thường
B. Sức sống mãnh liệt, thầm lặng
C. Sự yếu đuối
Lời giải
Bạn cần đăng ký gói VIP ( giá chỉ từ 199K ) để làm bài, xem đáp án và lời giải chi tiết không giới hạn.
Lời giải
Bạn cần đăng ký gói VIP ( giá chỉ từ 199K ) để làm bài, xem đáp án và lời giải chi tiết không giới hạn.
Câu 141
A. Hào hùng
B. Nhẹ nhàng, suy tư
C. Châm biếm
Lời giải
Bạn cần đăng ký gói VIP ( giá chỉ từ 199K ) để làm bài, xem đáp án và lời giải chi tiết không giới hạn.
Câu 142
A. Sự chịu đựng và thích nghi
B. Sự đau khổ
C. May mắn
Lời giải
Bạn cần đăng ký gói VIP ( giá chỉ từ 199K ) để làm bài, xem đáp án và lời giải chi tiết không giới hạn.
Câu 143
A. Tôn vinh thiên nhiên
B. Ca ngợi vẻ đẹp lớn lao
C. Đề cao giá trị bền bỉ, thầm lặng trong đời sống
Lời giải
Bạn cần đăng ký gói VIP ( giá chỉ từ 199K ) để làm bài, xem đáp án và lời giải chi tiết không giới hạn.
Đoạn văn 9
Sử dụng các thông tin cung cấp dưới đây và trả lời các câu hỏi từ 115 đến 117
Thú nhồi bông lớn nhất thế giới là một con rắn dài 420 m do những trẻ em Na Uy tạo ra. Giả sử con rắn được đặt trong công viên như hình bên, có dạng hai đường thẳng tạo với nhau một góc 105°, với mỗi đường có độ dài 210 m. Phương và Phát chạy đua trên con rắn mà các em tạo ra. Phương chạy trực tiếp từ đuôi của con rắn đến đầu rắn, và Phát cũng khởi hành từ cùng một thời điểm và cũng vị trí nhưng di chuyển dọc theo con rắn

Câu 144
A. 20 s
B. 17 s
C. 67 s
Lời giải
Bạn cần đăng ký gói VIP ( giá chỉ từ 199K ) để làm bài, xem đáp án và lời giải chi tiết không giới hạn.
Câu 145
Lời giải
Bạn cần đăng ký gói VIP ( giá chỉ từ 199K ) để làm bài, xem đáp án và lời giải chi tiết không giới hạn.
Câu 146
A. 4,84 m/s
B. 2,45 m/s
C. 3,67 m/s
Lời giải
Bạn cần đăng ký gói VIP ( giá chỉ từ 199K ) để làm bài, xem đáp án và lời giải chi tiết không giới hạn.
Đoạn văn 10
Độ cứng toàn phần là tổng nồng độ mol của các ion Ca2+ và Mg2+ được tính theo đơn vị mol/L hoặc mmol/L hoặc mg CaCO3 (giả thiết rằng 1 mol Mg2+ hay 1 mol Ca2+ tương đương với 1 mol CaCO3). Theo phân loại của Cục Khảo sát Địa chất Hoa Kỳ, nước được chia thành các loại sau:

Câu 147
A. Nước mềm.
B. Nước tương đối cứng.
C. Nước cứng.
Lời giải
Bạn cần đăng ký gói VIP ( giá chỉ từ 199K ) để làm bài, xem đáp án và lời giải chi tiết không giới hạn.
Lời giải
Bạn cần đăng ký gói VIP ( giá chỉ từ 199K ) để làm bài, xem đáp án và lời giải chi tiết không giới hạn.
Đoạn văn 11
Thalassemia là một nhóm bệnh huyết học di truyền do sự thiếu hụt tổng hợp một hoặc nhiều chuỗi polypeptide trong cấu trúc globin của huyết sắc tố (Hb). Hai thể chính là α-thalassemia (thiếu hụt chuỗi α-globin) và β-thalassemia (thiếu hụt chuỗi β-globin). Bệnh di truyền theo quy luật di truyền lặn trên nhiễm sắc thể thường. Người mang gene bệnh (thể ẩn) thường không có triệu chứng lâm sàng nhưng có thể truyền gene cho thế hệ sau. Khi cả vợ và chồng đều là người mang gene bệnh, mỗi lần sinh con sẽ có 25% cơ hội con bị bệnh mức độ nặng (phải truyền máu suốt đời), 50% cơ hội con là người mang gene bệnh giống bố mẹ và 25% cơ hội con hoàn toàn khỏe mạnh. Tại Việt Nam, tỉ lệ mang gene bệnh ở dân tộc Kinh là khoảng 2-4%, nhưng ở một số dân tộc ít người vùng miền núi, tỉ lệ này có thể lên tới 20-40%.
Câu 149
A. 1/4.
B. 1/9.
C. 4/9.
Lời giải
Bạn cần đăng ký gói VIP ( giá chỉ từ 199K ) để làm bài, xem đáp án và lời giải chi tiết không giới hạn.
Câu 150
A. Đây là dạng đột biến thay thế một cặp nucleotide (T-A bằng A-T).
B. Cấu trúc bậc 1 của chuỗi polypeptide bị thay đổi tại một vị trí amino aicd.
C. Đột biến này làm thay đổi khung đọc của gene kể từ điểm đột biến trở về sau.
Lời giải
Bạn cần đăng ký gói VIP ( giá chỉ từ 199K ) để làm bài, xem đáp án và lời giải chi tiết không giới hạn.
Câu 151
A. Chọc ối ngay khi người vợ mang thai để kiểm tra kiểu gene của thai nhi.
B. Chỉ định người chồng làm xét nghiệm phân tích huyết sắc tố và xét nghiệm đột biến gene.
C. Khẳng định cặp vợ chồng chắc chắn sẽ sinh ra con khỏe mạnh vì người chồng không có triệu chứng.
Lời giải
Bạn cần đăng ký gói VIP ( giá chỉ từ 199K ) để làm bài, xem đáp án và lời giải chi tiết không giới hạn.


























