Bộ 45 đề thi Đánh giá năng lực ĐHQG Hà Nội form 2025 có đáp án (Đề 26)
111 người thi tuần này 4.6 159 lượt thi 235 câu hỏi 120 phút
Bạn cần đăng ký gói VIP ( giá chỉ từ 199K ) để làm bài, xem đáp án và lời giải chi tiết không giới hạn.
🔥 Học sinh cũng đã học
Bộ 45 đề thi Đánh giá năng lực ĐHQG Hà Nội form 2025 có đáp án (Đề 45)
Bộ 45 đề thi Đánh giá năng lực ĐHQG Hà Nội form 2025 có đáp án (Đề 44)
Bộ 45 đề thi Đánh giá năng lực ĐHQG Hà Nội form 2025 có đáp án (Đề 43)
Bộ 45 đề thi Đánh giá năng lực ĐHQG Hà Nội form 2025 có đáp án (Đề 42)
Bộ 45 đề thi Đánh giá năng lực ĐHQG Hà Nội form 2025 có đáp án (Đề 41)
Bộ 45 đề thi Đánh giá năng lực ĐHQG Hà Nội form 2025 có đáp án (Đề 40)
Bộ 45 đề thi Đánh giá năng lực ĐHQG Hà Nội form 2025 có đáp án (Đề 39)
Bộ 45 đề thi Đánh giá năng lực ĐHQG Hà Nội form 2025 có đáp án (Đề 38)
Danh sách câu hỏi:
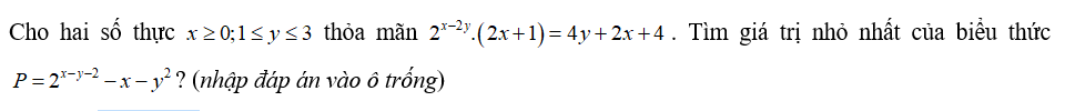
Câu 1
Lời giải
Đáp án đúng là B
Phương pháp giải
Giải bất phương trình bậc nhất hai ẩn.
Lời giải
Bất phương trình đã cho có vô số nghiệm
Câu 2
Lời giải
Đáp án đúng là C
Phương pháp giải
Giải hệ phương trình.
Lời giải
Gọi phương trình tổng quát của đường tròn là \({x^2} + {y^2} + 2ax + 2by + c = 0\) với \({a^2} + {b^2} - c > 0\)
Ta thay tọa độ ba điểm \(A,B,C\) vào phương trình tổng quát, khi đó ta có hệ phương trình
\(\left\{ {\begin{array}{*{20}{l}}{ - 4a - 2b + c = - 5}\\{ - 2a + 2b + c = - 2}\\{4a - 6b + c = - 13}\end{array} \Leftrightarrow \left\{ {\begin{array}{*{20}{l}}{a = \frac{{ - 1}}{2}}\\{b = 1}\\{c = - 5}\end{array}} \right.} \right.\)
Vậy phương trình đường tròn là \({x^2} + {y^2} + x - 2y - 5 = 0\)Câu 3
Lời giải
Đáp án đúng là A
Phương pháp giải
Sử dụng hệ thức lượng
Lời giải
Xét tam giác \(DAC\) ta có:
\({\rm{cos}}\widehat {ACD} = \frac{{DC}}{{AC}} \Rightarrow AC = \frac{{DC}}{{{\rm{cos}}\widehat {ACD}}} = \frac{{18}}{{{\rm{cos}}{{40}^ \circ }}} \approx 23,5\)
\(AD = CD.{\rm{tan}}\widehat {ACD} = 18.{\rm{tan}}{40^ \circ } \approx 15,1\)
\( \Rightarrow AE = AD + ED = AD + CF \approx 20,1\)
Trong tam giác \(DBC\) ta có \({\rm{cos}}\widehat {BCD} = \frac{{DC}}{{BC}} \Rightarrow BC = \frac{{DC}}{{{\rm{cos}}\widehat {BCD}}} = \frac{{18}}{{{\rm{cos}}{{50}^ \circ }}} \approx 28\)
Khi đó ta có \(AB = \sqrt {C{A^2} + C{B^2} - 2CA.CB.{\rm{cos}}\widehat {ACB}} \approx 6,34\)
Lời giải
Đáp án đúng là "54"
Phương pháp giải
Khai triển nhị thức.
Lời giải
Ta có \({(x + 3)^4} = {x^4} + 4{x^3}.3 + 6{x^2}{.3^2} + 4x{.3^3} + {3^4}\).
Vậy hệ số của số hạng chứa \({x^2}\) là \({6.3^2} = 54\)
Câu 5
Lời giải
Đáp án đúng là B
Phương pháp giải
Công thức tổ hợp, chỉnh hợp.
Lời giải
Điều kiện \(\left\{ {\begin{array}{*{20}{l}}{n \in {\mathbb{N}^{\rm{*}}}}\\{n \ge 2}\end{array}} \right.\).
Ta có
\(A_n^2 - C_n^2 = 4950 \Leftrightarrow \frac{{n!}}{{\left( {n - 2} \right)!}} - \frac{{n!}}{{2!\left( {n - 2} \right)!}} = 4950 \Leftrightarrow n.\left( {n - 1} \right) = 9900 \Leftrightarrow n = 100\).
Khi đó \(P = \frac{{n.C_{2n}^n}}{{C_{2n}^{n + 1}}} = \frac{{n.\left( {2n} \right)!}}{{n!.n!}}.\frac{{\left( {n + 1} \right)!.\left( {n - 1} \right)!}}{{\left( {2n} \right)!}} = n + 1\).
Vậy \(P = 101\).
Lời giải
Bạn cần đăng ký gói VIP ( giá chỉ từ 199K ) để làm bài, xem đáp án và lời giải chi tiết không giới hạn.
Câu 7
Lời giải
Bạn cần đăng ký gói VIP ( giá chỉ từ 199K ) để làm bài, xem đáp án và lời giải chi tiết không giới hạn.
Lời giải
Bạn cần đăng ký gói VIP ( giá chỉ từ 199K ) để làm bài, xem đáp án và lời giải chi tiết không giới hạn.
Lời giải
Bạn cần đăng ký gói VIP ( giá chỉ từ 199K ) để làm bài, xem đáp án và lời giải chi tiết không giới hạn.
Lời giải
Bạn cần đăng ký gói VIP ( giá chỉ từ 199K ) để làm bài, xem đáp án và lời giải chi tiết không giới hạn.
Câu 11
Lời giải
Bạn cần đăng ký gói VIP ( giá chỉ từ 199K ) để làm bài, xem đáp án và lời giải chi tiết không giới hạn.
Lời giải
Bạn cần đăng ký gói VIP ( giá chỉ từ 199K ) để làm bài, xem đáp án và lời giải chi tiết không giới hạn.
Câu 13
Lời giải
Bạn cần đăng ký gói VIP ( giá chỉ từ 199K ) để làm bài, xem đáp án và lời giải chi tiết không giới hạn.
Câu 14
Lời giải
Bạn cần đăng ký gói VIP ( giá chỉ từ 199K ) để làm bài, xem đáp án và lời giải chi tiết không giới hạn.
Câu 15
Lời giải
Bạn cần đăng ký gói VIP ( giá chỉ từ 199K ) để làm bài, xem đáp án và lời giải chi tiết không giới hạn.
Lời giải
Bạn cần đăng ký gói VIP ( giá chỉ từ 199K ) để làm bài, xem đáp án và lời giải chi tiết không giới hạn.
Câu 17
Lời giải
Bạn cần đăng ký gói VIP ( giá chỉ từ 199K ) để làm bài, xem đáp án và lời giải chi tiết không giới hạn.
Lời giải
Bạn cần đăng ký gói VIP ( giá chỉ từ 199K ) để làm bài, xem đáp án và lời giải chi tiết không giới hạn.
Câu 19
Lời giải
Bạn cần đăng ký gói VIP ( giá chỉ từ 199K ) để làm bài, xem đáp án và lời giải chi tiết không giới hạn.
Lời giải
Bạn cần đăng ký gói VIP ( giá chỉ từ 199K ) để làm bài, xem đáp án và lời giải chi tiết không giới hạn.
Câu 21
Lời giải
Bạn cần đăng ký gói VIP ( giá chỉ từ 199K ) để làm bài, xem đáp án và lời giải chi tiết không giới hạn.
Câu 22
Lời giải
Bạn cần đăng ký gói VIP ( giá chỉ từ 199K ) để làm bài, xem đáp án và lời giải chi tiết không giới hạn.
Câu 23
Lời giải
Bạn cần đăng ký gói VIP ( giá chỉ từ 199K ) để làm bài, xem đáp án và lời giải chi tiết không giới hạn.
Lời giải
Bạn cần đăng ký gói VIP ( giá chỉ từ 199K ) để làm bài, xem đáp án và lời giải chi tiết không giới hạn.
Câu 25
Lời giải
Bạn cần đăng ký gói VIP ( giá chỉ từ 199K ) để làm bài, xem đáp án và lời giải chi tiết không giới hạn.
Lời giải
Bạn cần đăng ký gói VIP ( giá chỉ từ 199K ) để làm bài, xem đáp án và lời giải chi tiết không giới hạn.
Câu 27
Lời giải
Bạn cần đăng ký gói VIP ( giá chỉ từ 199K ) để làm bài, xem đáp án và lời giải chi tiết không giới hạn.
Câu 28
Lời giải
Bạn cần đăng ký gói VIP ( giá chỉ từ 199K ) để làm bài, xem đáp án và lời giải chi tiết không giới hạn.
Câu 29
Lời giải
Bạn cần đăng ký gói VIP ( giá chỉ từ 199K ) để làm bài, xem đáp án và lời giải chi tiết không giới hạn.
Lời giải
Bạn cần đăng ký gói VIP ( giá chỉ từ 199K ) để làm bài, xem đáp án và lời giải chi tiết không giới hạn.
Lời giải
Bạn cần đăng ký gói VIP ( giá chỉ từ 199K ) để làm bài, xem đáp án và lời giải chi tiết không giới hạn.
Lời giải
Bạn cần đăng ký gói VIP ( giá chỉ từ 199K ) để làm bài, xem đáp án và lời giải chi tiết không giới hạn.
Câu 33
Lời giải
Bạn cần đăng ký gói VIP ( giá chỉ từ 199K ) để làm bài, xem đáp án và lời giải chi tiết không giới hạn.
Lời giải
Bạn cần đăng ký gói VIP ( giá chỉ từ 199K ) để làm bài, xem đáp án và lời giải chi tiết không giới hạn.
Câu 35
B. \(\mathop \smallint \nolimits^ f\left( x \right)dx = - {\rm{cos}}\left( {2x + 1} \right) + C\).
Lời giải
Bạn cần đăng ký gói VIP ( giá chỉ từ 199K ) để làm bài, xem đáp án và lời giải chi tiết không giới hạn.
Câu 36
Cho hàm số \(y = \left( {x - 3} \right)\left( {{x^2} - 4} \right)\) có đồ thị như hình vẽ dưới đây
Một trong bốn đồ thị dưới đây đồ thị nào là đồ thị của hàm số \(y = \left( {x - 3} \right)\left| {{x^2} - 4} \right|\).
![]() Hình 1. |
![]()
Hình 2. |
![]() Hình 3. |
![]() Hình 4. |
Lời giải
Bạn cần đăng ký gói VIP ( giá chỉ từ 199K ) để làm bài, xem đáp án và lời giải chi tiết không giới hạn.
Lời giải
Bạn cần đăng ký gói VIP ( giá chỉ từ 199K ) để làm bài, xem đáp án và lời giải chi tiết không giới hạn.
Câu 38
Lời giải
Bạn cần đăng ký gói VIP ( giá chỉ từ 199K ) để làm bài, xem đáp án và lời giải chi tiết không giới hạn.
Câu 39
Lời giải
Bạn cần đăng ký gói VIP ( giá chỉ từ 199K ) để làm bài, xem đáp án và lời giải chi tiết không giới hạn.
Câu 40
Lời giải
Bạn cần đăng ký gói VIP ( giá chỉ từ 199K ) để làm bài, xem đáp án và lời giải chi tiết không giới hạn.
Lời giải
Bạn cần đăng ký gói VIP ( giá chỉ từ 199K ) để làm bài, xem đáp án và lời giải chi tiết không giới hạn.
Câu 42
Lời giải
Bạn cần đăng ký gói VIP ( giá chỉ từ 199K ) để làm bài, xem đáp án và lời giải chi tiết không giới hạn.
Câu 43
Lời giải
Bạn cần đăng ký gói VIP ( giá chỉ từ 199K ) để làm bài, xem đáp án và lời giải chi tiết không giới hạn.
Câu 44
Lời giải
Bạn cần đăng ký gói VIP ( giá chỉ từ 199K ) để làm bài, xem đáp án và lời giải chi tiết không giới hạn.
Câu 45
Lời giải
Bạn cần đăng ký gói VIP ( giá chỉ từ 199K ) để làm bài, xem đáp án và lời giải chi tiết không giới hạn.
Câu 46
B. \(I\left( {2;1;2} \right)\) và \(R = 16\).
Lời giải
Bạn cần đăng ký gói VIP ( giá chỉ từ 199K ) để làm bài, xem đáp án và lời giải chi tiết không giới hạn.
Lời giải
Bạn cần đăng ký gói VIP ( giá chỉ từ 199K ) để làm bài, xem đáp án và lời giải chi tiết không giới hạn.
Câu 48
Lời giải
Bạn cần đăng ký gói VIP ( giá chỉ từ 199K ) để làm bài, xem đáp án và lời giải chi tiết không giới hạn.
Câu 49
Lời giải
Bạn cần đăng ký gói VIP ( giá chỉ từ 199K ) để làm bài, xem đáp án và lời giải chi tiết không giới hạn.
Câu 50
Lời giải
Bạn cần đăng ký gói VIP ( giá chỉ từ 199K ) để làm bài, xem đáp án và lời giải chi tiết không giới hạn.
Câu 51
Lời giải
Bạn cần đăng ký gói VIP ( giá chỉ từ 199K ) để làm bài, xem đáp án và lời giải chi tiết không giới hạn.
Câu 52
Lời giải
Bạn cần đăng ký gói VIP ( giá chỉ từ 199K ) để làm bài, xem đáp án và lời giải chi tiết không giới hạn.
Câu 53
Lời giải
Bạn cần đăng ký gói VIP ( giá chỉ từ 199K ) để làm bài, xem đáp án và lời giải chi tiết không giới hạn.
Câu 54
Lời giải
Bạn cần đăng ký gói VIP ( giá chỉ từ 199K ) để làm bài, xem đáp án và lời giải chi tiết không giới hạn.
Câu 55
B. Vì/ nên
Lời giải
Bạn cần đăng ký gói VIP ( giá chỉ từ 199K ) để làm bài, xem đáp án và lời giải chi tiết không giới hạn.
Câu 56
Lời giải
Bạn cần đăng ký gói VIP ( giá chỉ từ 199K ) để làm bài, xem đáp án và lời giải chi tiết không giới hạn.
Câu 57
Lời giải
Bạn cần đăng ký gói VIP ( giá chỉ từ 199K ) để làm bài, xem đáp án và lời giải chi tiết không giới hạn.
Câu 58
Lời giải
Bạn cần đăng ký gói VIP ( giá chỉ từ 199K ) để làm bài, xem đáp án và lời giải chi tiết không giới hạn.
Câu 59
Lời giải
Bạn cần đăng ký gói VIP ( giá chỉ từ 199K ) để làm bài, xem đáp án và lời giải chi tiết không giới hạn.
Lời giải
Bạn cần đăng ký gói VIP ( giá chỉ từ 199K ) để làm bài, xem đáp án và lời giải chi tiết không giới hạn.
Câu 61
Lời giải
Bạn cần đăng ký gói VIP ( giá chỉ từ 199K ) để làm bài, xem đáp án và lời giải chi tiết không giới hạn.
Câu 62
Lời giải
Bạn cần đăng ký gói VIP ( giá chỉ từ 199K ) để làm bài, xem đáp án và lời giải chi tiết không giới hạn.
Lời giải
Bạn cần đăng ký gói VIP ( giá chỉ từ 199K ) để làm bài, xem đáp án và lời giải chi tiết không giới hạn.
Câu 64
Lời giải
Bạn cần đăng ký gói VIP ( giá chỉ từ 199K ) để làm bài, xem đáp án và lời giải chi tiết không giới hạn.
Câu 65
Lời giải
Bạn cần đăng ký gói VIP ( giá chỉ từ 199K ) để làm bài, xem đáp án và lời giải chi tiết không giới hạn.
Câu 66
Lời giải
Bạn cần đăng ký gói VIP ( giá chỉ từ 199K ) để làm bài, xem đáp án và lời giải chi tiết không giới hạn.
Câu 67
Lời giải
Bạn cần đăng ký gói VIP ( giá chỉ từ 199K ) để làm bài, xem đáp án và lời giải chi tiết không giới hạn.
Câu 68
Lời giải
Bạn cần đăng ký gói VIP ( giá chỉ từ 199K ) để làm bài, xem đáp án và lời giải chi tiết không giới hạn.
Lời giải
Bạn cần đăng ký gói VIP ( giá chỉ từ 199K ) để làm bài, xem đáp án và lời giải chi tiết không giới hạn.
Câu 70
Lời giải
Bạn cần đăng ký gói VIP ( giá chỉ từ 199K ) để làm bài, xem đáp án và lời giải chi tiết không giới hạn.
Lời giải
Bạn cần đăng ký gói VIP ( giá chỉ từ 199K ) để làm bài, xem đáp án và lời giải chi tiết không giới hạn.
Câu 72
Lời giải
Bạn cần đăng ký gói VIP ( giá chỉ từ 199K ) để làm bài, xem đáp án và lời giải chi tiết không giới hạn.
Câu 73
Lời giải
Bạn cần đăng ký gói VIP ( giá chỉ từ 199K ) để làm bài, xem đáp án và lời giải chi tiết không giới hạn.
Lời giải
Bạn cần đăng ký gói VIP ( giá chỉ từ 199K ) để làm bài, xem đáp án và lời giải chi tiết không giới hạn.
Câu 75
Lời giải
Bạn cần đăng ký gói VIP ( giá chỉ từ 199K ) để làm bài, xem đáp án và lời giải chi tiết không giới hạn.
Lời giải
Bạn cần đăng ký gói VIP ( giá chỉ từ 199K ) để làm bài, xem đáp án và lời giải chi tiết không giới hạn.
Câu 77
Lời giải
Bạn cần đăng ký gói VIP ( giá chỉ từ 199K ) để làm bài, xem đáp án và lời giải chi tiết không giới hạn.
Lời giải
Bạn cần đăng ký gói VIP ( giá chỉ từ 199K ) để làm bài, xem đáp án và lời giải chi tiết không giới hạn.
Câu 79
Lời giải
Bạn cần đăng ký gói VIP ( giá chỉ từ 199K ) để làm bài, xem đáp án và lời giải chi tiết không giới hạn.
Câu 80
Lời giải
Bạn cần đăng ký gói VIP ( giá chỉ từ 199K ) để làm bài, xem đáp án và lời giải chi tiết không giới hạn.
Câu 81
Lời giải
Bạn cần đăng ký gói VIP ( giá chỉ từ 199K ) để làm bài, xem đáp án và lời giải chi tiết không giới hạn.
Câu 82
Lời giải
Bạn cần đăng ký gói VIP ( giá chỉ từ 199K ) để làm bài, xem đáp án và lời giải chi tiết không giới hạn.
Câu 83
Lời giải
Bạn cần đăng ký gói VIP ( giá chỉ từ 199K ) để làm bài, xem đáp án và lời giải chi tiết không giới hạn.
Câu 84
Lời giải
Bạn cần đăng ký gói VIP ( giá chỉ từ 199K ) để làm bài, xem đáp án và lời giải chi tiết không giới hạn.
Câu 85
Lời giải
Bạn cần đăng ký gói VIP ( giá chỉ từ 199K ) để làm bài, xem đáp án và lời giải chi tiết không giới hạn.
Câu 86
Lời giải
Bạn cần đăng ký gói VIP ( giá chỉ từ 199K ) để làm bài, xem đáp án và lời giải chi tiết không giới hạn.
Câu 87
Lời giải
Bạn cần đăng ký gói VIP ( giá chỉ từ 199K ) để làm bài, xem đáp án và lời giải chi tiết không giới hạn.
Câu 88
Lời giải
Bạn cần đăng ký gói VIP ( giá chỉ từ 199K ) để làm bài, xem đáp án và lời giải chi tiết không giới hạn.
Câu 89
Lời giải
Bạn cần đăng ký gói VIP ( giá chỉ từ 199K ) để làm bài, xem đáp án và lời giải chi tiết không giới hạn.
Câu 90
Lời giải
Bạn cần đăng ký gói VIP ( giá chỉ từ 199K ) để làm bài, xem đáp án và lời giải chi tiết không giới hạn.
Câu 91
Lời giải
Bạn cần đăng ký gói VIP ( giá chỉ từ 199K ) để làm bài, xem đáp án và lời giải chi tiết không giới hạn.
Câu 92
Lời giải
Bạn cần đăng ký gói VIP ( giá chỉ từ 199K ) để làm bài, xem đáp án và lời giải chi tiết không giới hạn.
Câu 93
Lời giải
Bạn cần đăng ký gói VIP ( giá chỉ từ 199K ) để làm bài, xem đáp án và lời giải chi tiết không giới hạn.
Câu 94
Lời giải
Bạn cần đăng ký gói VIP ( giá chỉ từ 199K ) để làm bài, xem đáp án và lời giải chi tiết không giới hạn.
Câu 95
Lời giải
Bạn cần đăng ký gói VIP ( giá chỉ từ 199K ) để làm bài, xem đáp án và lời giải chi tiết không giới hạn.
Câu 96
Lời giải
Bạn cần đăng ký gói VIP ( giá chỉ từ 199K ) để làm bài, xem đáp án và lời giải chi tiết không giới hạn.
Câu 97
Lời giải
Bạn cần đăng ký gói VIP ( giá chỉ từ 199K ) để làm bài, xem đáp án và lời giải chi tiết không giới hạn.
Câu 98
Lời giải
Bạn cần đăng ký gói VIP ( giá chỉ từ 199K ) để làm bài, xem đáp án và lời giải chi tiết không giới hạn.
Câu 99
Lời giải
Bạn cần đăng ký gói VIP ( giá chỉ từ 199K ) để làm bài, xem đáp án và lời giải chi tiết không giới hạn.
Lời giải
Bạn cần đăng ký gói VIP ( giá chỉ từ 199K ) để làm bài, xem đáp án và lời giải chi tiết không giới hạn.
Câu 101
Lời giải
Bạn cần đăng ký gói VIP ( giá chỉ từ 199K ) để làm bài, xem đáp án và lời giải chi tiết không giới hạn.
Câu 102
Lời giải
Bạn cần đăng ký gói VIP ( giá chỉ từ 199K ) để làm bài, xem đáp án và lời giải chi tiết không giới hạn.
Câu 103
Lời giải
Bạn cần đăng ký gói VIP ( giá chỉ từ 199K ) để làm bài, xem đáp án và lời giải chi tiết không giới hạn.
Câu 104
Lời giải
Bạn cần đăng ký gói VIP ( giá chỉ từ 199K ) để làm bài, xem đáp án và lời giải chi tiết không giới hạn.
Câu 105
Lời giải
Bạn cần đăng ký gói VIP ( giá chỉ từ 199K ) để làm bài, xem đáp án và lời giải chi tiết không giới hạn.
Câu 106
Lời giải
Bạn cần đăng ký gói VIP ( giá chỉ từ 199K ) để làm bài, xem đáp án và lời giải chi tiết không giới hạn.
Câu 107
Lời giải
Bạn cần đăng ký gói VIP ( giá chỉ từ 199K ) để làm bài, xem đáp án và lời giải chi tiết không giới hạn.
Câu 108
Lời giải
Bạn cần đăng ký gói VIP ( giá chỉ từ 199K ) để làm bài, xem đáp án và lời giải chi tiết không giới hạn.
Lời giải
Bạn cần đăng ký gói VIP ( giá chỉ từ 199K ) để làm bài, xem đáp án và lời giải chi tiết không giới hạn.
Câu 110
Lời giải
Bạn cần đăng ký gói VIP ( giá chỉ từ 199K ) để làm bài, xem đáp án và lời giải chi tiết không giới hạn.
Câu 111
Lời giải
Bạn cần đăng ký gói VIP ( giá chỉ từ 199K ) để làm bài, xem đáp án và lời giải chi tiết không giới hạn.
Câu 112
Lời giải
Bạn cần đăng ký gói VIP ( giá chỉ từ 199K ) để làm bài, xem đáp án và lời giải chi tiết không giới hạn.
Câu 113
Lời giải
Bạn cần đăng ký gói VIP ( giá chỉ từ 199K ) để làm bài, xem đáp án và lời giải chi tiết không giới hạn.
Câu 114
B. D → C → A → E.
Lời giải
Bạn cần đăng ký gói VIP ( giá chỉ từ 199K ) để làm bài, xem đáp án và lời giải chi tiết không giới hạn.
Câu 115
Lời giải
Bạn cần đăng ký gói VIP ( giá chỉ từ 199K ) để làm bài, xem đáp án và lời giải chi tiết không giới hạn.
Câu 116
Lời giải
Bạn cần đăng ký gói VIP ( giá chỉ từ 199K ) để làm bài, xem đáp án và lời giải chi tiết không giới hạn.
Câu 117
Lời giải
Bạn cần đăng ký gói VIP ( giá chỉ từ 199K ) để làm bài, xem đáp án và lời giải chi tiết không giới hạn.
Câu 118
Lời giải
Bạn cần đăng ký gói VIP ( giá chỉ từ 199K ) để làm bài, xem đáp án và lời giải chi tiết không giới hạn.
Câu 119
Lời giải
Bạn cần đăng ký gói VIP ( giá chỉ từ 199K ) để làm bài, xem đáp án và lời giải chi tiết không giới hạn.
Câu 120
Lời giải
Bạn cần đăng ký gói VIP ( giá chỉ từ 199K ) để làm bài, xem đáp án và lời giải chi tiết không giới hạn.
Câu 121
Lời giải
Bạn cần đăng ký gói VIP ( giá chỉ từ 199K ) để làm bài, xem đáp án và lời giải chi tiết không giới hạn.
Câu 122
Lời giải
Bạn cần đăng ký gói VIP ( giá chỉ từ 199K ) để làm bài, xem đáp án và lời giải chi tiết không giới hạn.
Câu 123
Lời giải
Bạn cần đăng ký gói VIP ( giá chỉ từ 199K ) để làm bài, xem đáp án và lời giải chi tiết không giới hạn.
Câu 124
Lời giải
Bạn cần đăng ký gói VIP ( giá chỉ từ 199K ) để làm bài, xem đáp án và lời giải chi tiết không giới hạn.
Câu 125
Lời giải
Bạn cần đăng ký gói VIP ( giá chỉ từ 199K ) để làm bài, xem đáp án và lời giải chi tiết không giới hạn.
Câu 126
B. Từ năm 1945 đến 1958.
Lời giải
Bạn cần đăng ký gói VIP ( giá chỉ từ 199K ) để làm bài, xem đáp án và lời giải chi tiết không giới hạn.
Câu 127
Lời giải
Bạn cần đăng ký gói VIP ( giá chỉ từ 199K ) để làm bài, xem đáp án và lời giải chi tiết không giới hạn.
Câu 128
Lời giải
Bạn cần đăng ký gói VIP ( giá chỉ từ 199K ) để làm bài, xem đáp án và lời giải chi tiết không giới hạn.
Câu 129
Lời giải
Bạn cần đăng ký gói VIP ( giá chỉ từ 199K ) để làm bài, xem đáp án và lời giải chi tiết không giới hạn.
Câu 130
Lời giải
Bạn cần đăng ký gói VIP ( giá chỉ từ 199K ) để làm bài, xem đáp án và lời giải chi tiết không giới hạn.
Câu 131
Lời giải
Bạn cần đăng ký gói VIP ( giá chỉ từ 199K ) để làm bài, xem đáp án và lời giải chi tiết không giới hạn.
Câu 132
Lời giải
Bạn cần đăng ký gói VIP ( giá chỉ từ 199K ) để làm bài, xem đáp án và lời giải chi tiết không giới hạn.
Câu 133
Lời giải
Bạn cần đăng ký gói VIP ( giá chỉ từ 199K ) để làm bài, xem đáp án và lời giải chi tiết không giới hạn.
Câu 134
Lời giải
Bạn cần đăng ký gói VIP ( giá chỉ từ 199K ) để làm bài, xem đáp án và lời giải chi tiết không giới hạn.
Câu 135
Lời giải
Bạn cần đăng ký gói VIP ( giá chỉ từ 199K ) để làm bài, xem đáp án và lời giải chi tiết không giới hạn.
Câu 136
Lời giải
Bạn cần đăng ký gói VIP ( giá chỉ từ 199K ) để làm bài, xem đáp án và lời giải chi tiết không giới hạn.
Câu 137
Lời giải
Bạn cần đăng ký gói VIP ( giá chỉ từ 199K ) để làm bài, xem đáp án và lời giải chi tiết không giới hạn.
Câu 138
Lời giải
Bạn cần đăng ký gói VIP ( giá chỉ từ 199K ) để làm bài, xem đáp án và lời giải chi tiết không giới hạn.
Câu 139
Sản lượng khai thác hải sản của Duyên hải Nam Trung Bộ tăng nhanh trong thời gian gần đây chủ yếu do
Sản lượng khai thác hải sản của Duyên hải Nam Trung Bộ tăng nhanh trong thời gian gần đây chủ yếu do
Lời giải
Bạn cần đăng ký gói VIP ( giá chỉ từ 199K ) để làm bài, xem đáp án và lời giải chi tiết không giới hạn.
Câu 140
Lời giải
Bạn cần đăng ký gói VIP ( giá chỉ từ 199K ) để làm bài, xem đáp án và lời giải chi tiết không giới hạn.
Câu 141
Lời giải
Bạn cần đăng ký gói VIP ( giá chỉ từ 199K ) để làm bài, xem đáp án và lời giải chi tiết không giới hạn.
Câu 142
Lời giải
Bạn cần đăng ký gói VIP ( giá chỉ từ 199K ) để làm bài, xem đáp án và lời giải chi tiết không giới hạn.
Câu 143
Lời giải
Bạn cần đăng ký gói VIP ( giá chỉ từ 199K ) để làm bài, xem đáp án và lời giải chi tiết không giới hạn.
Câu 144
Lời giải
Bạn cần đăng ký gói VIP ( giá chỉ từ 199K ) để làm bài, xem đáp án và lời giải chi tiết không giới hạn.
Câu 145
Lời giải
Bạn cần đăng ký gói VIP ( giá chỉ từ 199K ) để làm bài, xem đáp án và lời giải chi tiết không giới hạn.
Câu 146
Lời giải
Bạn cần đăng ký gói VIP ( giá chỉ từ 199K ) để làm bài, xem đáp án và lời giải chi tiết không giới hạn.
Câu 147
Lời giải
Bạn cần đăng ký gói VIP ( giá chỉ từ 199K ) để làm bài, xem đáp án và lời giải chi tiết không giới hạn.
Câu 148
Lời giải
Bạn cần đăng ký gói VIP ( giá chỉ từ 199K ) để làm bài, xem đáp án và lời giải chi tiết không giới hạn.
Câu 149
Lời giải
Bạn cần đăng ký gói VIP ( giá chỉ từ 199K ) để làm bài, xem đáp án và lời giải chi tiết không giới hạn.
Câu 150
Lời giải
Bạn cần đăng ký gói VIP ( giá chỉ từ 199K ) để làm bài, xem đáp án và lời giải chi tiết không giới hạn.
Câu 151
Lời giải
Bạn cần đăng ký gói VIP ( giá chỉ từ 199K ) để làm bài, xem đáp án và lời giải chi tiết không giới hạn.
Câu 152
Lời giải
Bạn cần đăng ký gói VIP ( giá chỉ từ 199K ) để làm bài, xem đáp án và lời giải chi tiết không giới hạn.
Câu 153
Lời giải
Bạn cần đăng ký gói VIP ( giá chỉ từ 199K ) để làm bài, xem đáp án và lời giải chi tiết không giới hạn.
Câu 154
Lời giải
Bạn cần đăng ký gói VIP ( giá chỉ từ 199K ) để làm bài, xem đáp án và lời giải chi tiết không giới hạn.
Câu 155
Lời giải
Bạn cần đăng ký gói VIP ( giá chỉ từ 199K ) để làm bài, xem đáp án và lời giải chi tiết không giới hạn.
Câu 156
Lời giải
Bạn cần đăng ký gói VIP ( giá chỉ từ 199K ) để làm bài, xem đáp án và lời giải chi tiết không giới hạn.
Câu 157
Lời giải
Bạn cần đăng ký gói VIP ( giá chỉ từ 199K ) để làm bài, xem đáp án và lời giải chi tiết không giới hạn.
Câu 158
Lời giải
Bạn cần đăng ký gói VIP ( giá chỉ từ 199K ) để làm bài, xem đáp án và lời giải chi tiết không giới hạn.
Câu 159
Lời giải
Bạn cần đăng ký gói VIP ( giá chỉ từ 199K ) để làm bài, xem đáp án và lời giải chi tiết không giới hạn.
Câu 160
Lời giải
Bạn cần đăng ký gói VIP ( giá chỉ từ 199K ) để làm bài, xem đáp án và lời giải chi tiết không giới hạn.
Câu 161
Lời giải
Bạn cần đăng ký gói VIP ( giá chỉ từ 199K ) để làm bài, xem đáp án và lời giải chi tiết không giới hạn.
Câu 162
Lời giải
Bạn cần đăng ký gói VIP ( giá chỉ từ 199K ) để làm bài, xem đáp án và lời giải chi tiết không giới hạn.
Câu 163
Lời giải
Bạn cần đăng ký gói VIP ( giá chỉ từ 199K ) để làm bài, xem đáp án và lời giải chi tiết không giới hạn.
Câu 164
Lời giải
Bạn cần đăng ký gói VIP ( giá chỉ từ 199K ) để làm bài, xem đáp án và lời giải chi tiết không giới hạn.
Câu 165
Lời giải
Bạn cần đăng ký gói VIP ( giá chỉ từ 199K ) để làm bài, xem đáp án và lời giải chi tiết không giới hạn.
Câu 166
Lời giải
Bạn cần đăng ký gói VIP ( giá chỉ từ 199K ) để làm bài, xem đáp án và lời giải chi tiết không giới hạn.
Câu 167
Lời giải
Bạn cần đăng ký gói VIP ( giá chỉ từ 199K ) để làm bài, xem đáp án và lời giải chi tiết không giới hạn.
Câu 168
Lời giải
Bạn cần đăng ký gói VIP ( giá chỉ từ 199K ) để làm bài, xem đáp án và lời giải chi tiết không giới hạn.
Câu 169
Lời giải
Bạn cần đăng ký gói VIP ( giá chỉ từ 199K ) để làm bài, xem đáp án và lời giải chi tiết không giới hạn.
Câu 170
Lời giải
Bạn cần đăng ký gói VIP ( giá chỉ từ 199K ) để làm bài, xem đáp án và lời giải chi tiết không giới hạn.
Câu 171
Lời giải
Bạn cần đăng ký gói VIP ( giá chỉ từ 199K ) để làm bài, xem đáp án và lời giải chi tiết không giới hạn.
Câu 172
Lời giải
Bạn cần đăng ký gói VIP ( giá chỉ từ 199K ) để làm bài, xem đáp án và lời giải chi tiết không giới hạn.
Câu 173
Lời giải
Bạn cần đăng ký gói VIP ( giá chỉ từ 199K ) để làm bài, xem đáp án và lời giải chi tiết không giới hạn.
Câu 174
Lời giải
Bạn cần đăng ký gói VIP ( giá chỉ từ 199K ) để làm bài, xem đáp án và lời giải chi tiết không giới hạn.
Câu 175
Lời giải
Bạn cần đăng ký gói VIP ( giá chỉ từ 199K ) để làm bài, xem đáp án và lời giải chi tiết không giới hạn.
Câu 176
Lời giải
Bạn cần đăng ký gói VIP ( giá chỉ từ 199K ) để làm bài, xem đáp án và lời giải chi tiết không giới hạn.
Câu 177
Lời giải
Bạn cần đăng ký gói VIP ( giá chỉ từ 199K ) để làm bài, xem đáp án và lời giải chi tiết không giới hạn.
Đoạn văn 1
Một thùng có các hộp loại \(I\) và loại II, trong đó có 2 hộp loại \(I\), mỗi hộp có 14 sản phẩm tốt và 2 sản phẩm lỗi, có 3 hộp loại \(II\), mỗi hộp có 8 sản phẩm tốt và 4 sản phẩm lỗi.
Lời giải
Bạn cần đăng ký gói VIP ( giá chỉ từ 199K ) để làm bài, xem đáp án và lời giải chi tiết không giới hạn.
Câu 179
Lời giải
Bạn cần đăng ký gói VIP ( giá chỉ từ 199K ) để làm bài, xem đáp án và lời giải chi tiết không giới hạn.
Câu 180
Lời giải
Bạn cần đăng ký gói VIP ( giá chỉ từ 199K ) để làm bài, xem đáp án và lời giải chi tiết không giới hạn.
Đoạn văn 2
Núi lửa hình thành khi đất đá nóng chảy được tạo ra ở lớp thứ 2 của lõi Trái Đất – lớp manti bên trên – và đi xuyên qua lớp vỏ. “Hầu hết hoạt động núi lửa ngầm đều có liên quan đến núi lửa hoạt động liên tục dọc theo các rặng núi giữa đại dương, nơi 2 mảng kiến tạo đang tách rời nhau”, ông Mather cho biết. Sự va chạm của 2 mảng cũng có thể gây ra núi lửa. Theo ông Helo, nếu cả 2 mảng kiến tạo đều nằm bên dưới đại dương thì núi lửa sẽ hình thành dưới nước. Theo thời gian, chúng có thể phát triển để tạo thành các đảo núi lửa. Hoạt động núi lửa bên trong một mảng kiến tạo đơn lẻ cũng có thể dẫn đến sự hình thành núi lửa. Điều này có thể xảy ra khi có một điểm nóng bên dưới một mảng đại dương, tạo ra một chuỗi đảo núi lửa giống như Hawaii.
Tác động của đợt phun trào của núi lửa ngầm tùy thuộc vào mức độ gần bề mặt nước của nó. “Nếu đợt phun trào xảy ra ở rất sâu dưới nước, trọng lượng của nước bên trên đóng vai trò như một chiếc mũ áp suất”, ông David Pyle, một chuyên gia về núi lửa đồng thời là Giáo sư về khoa học Trái Đất tại Đại học Oxford, cho biết. Nếu đá nóng chảy chảy xuống biển cách bề mặt 2 km (1,24 dặm), nó sẽ tiếp xúc với nước biển lạnh và nguội đi rất nhanh. Nước sẽ bị nóng lên, nhưng không chuyển thành hơi nước. Nhưng nếu ở vùng nước nông, magma bắt đầu đốt nóng nước, sau đó được chuyển thành hơi nước. Điều này tạo ra một sự thay đổi lớn về khối lượng. “Các vụ nổ hơi nước thực sự có sức hủy diệt vì một khối lượng nước dù nhỏ cũng biến thành một khối lượng hơi nước khổng lồ”, ông Pyle cho biết. Ngoài nguy cơ sóng thần, khối lượng tro bụi bay lên không trung khi núi lửa dưới nước phun trào ở vùng nước nông có thể gây ảnh hưởng nghiêm trọng đến sức khỏe con người. Theo ông Pyle, tro bụi và khí thải ra không chỉ gây ô nhiễm không khí mà còn có thể ảnh hưởng đến việc tiếp cận các nguồn cung cấp điện và nước.
(Hoàng Phạm biên dịch, Sự thật thú vị về núi lửa ngầm trên Trái Đất, Theo vov.vn, ngày 18/01/2022)
Câu 181
Lời giải
Bạn cần đăng ký gói VIP ( giá chỉ từ 199K ) để làm bài, xem đáp án và lời giải chi tiết không giới hạn.
Câu 182
Lời giải
Bạn cần đăng ký gói VIP ( giá chỉ từ 199K ) để làm bài, xem đáp án và lời giải chi tiết không giới hạn.
Câu 183
Lời giải
Bạn cần đăng ký gói VIP ( giá chỉ từ 199K ) để làm bài, xem đáp án và lời giải chi tiết không giới hạn.
Câu 184
Lời giải
Bạn cần đăng ký gói VIP ( giá chỉ từ 199K ) để làm bài, xem đáp án và lời giải chi tiết không giới hạn.
Câu 185
Lời giải
Bạn cần đăng ký gói VIP ( giá chỉ từ 199K ) để làm bài, xem đáp án và lời giải chi tiết không giới hạn.
Đoạn văn 3
Ta chỉ có thể phê phán đúng đắn được những vấn đề ta biết thôi. Bởi vậy, đứng trong địa hạt chuyên môn của mình, ai ai cũng tin chắc đến óc phán đoán của mình cả. Cái đó là lẽ cố nhiên. Nhưng khi ta rời khỏi địa hạt chuyên môn của mình để phê bình những vấn đề khác, thật là có hại to vậy. Nguy hơn nữa, là khi đã ra ngoài địa hạt của mình rồi, mà cũng vẫn còn tin cậy sự phán đoán của mình cũng như khi mình phán đoán trong địa hạt chuyên môn của mình. Ta há không thấy hiếm kẻ bác học, nhưng khi ra ở đời, thường lại bị lầm lẫn nặng nề như một kẻ ngu dốt hay sao? Ta há không thấy lắm nhà văn sĩ, tưởng rằng hễ người có học tất phải làm nên sự nghiệp hơn mấy kẻ dốt nát, nên đâm ra buôn bán, nhưng vì chưa rành vấn đề thương mãi mà họ phải bị thất bại một cách đau đớn hay sao? Các vị quan tòa thận trọng, vì sợ phê phán sai lầm, thường hay giao những vấn đề gì ngoài luật pháp cho những kẻ chuyên môn, họ định đoạt thế cho. Trái lại, ở đời, hiếm kẻ không biết gì cả, thế mà không một vấn đề gì là không có họ phê bình tới: Họ bàn chánh trị, chiến tranh, kinh tế, giáo dục... như họ bàn đến những vấn đề của nghề nghiệp họ. Mình nên tránh bọn người ấy cho xa là hơn.
(Nguyễn Duy Cần, Thuật tư tưởng, NXB Trẻ, Thành phố Hồ Chí Minh, 2023)
Câu 186
Lời giải
Bạn cần đăng ký gói VIP ( giá chỉ từ 199K ) để làm bài, xem đáp án và lời giải chi tiết không giới hạn.
Câu 187
Lời giải
Bạn cần đăng ký gói VIP ( giá chỉ từ 199K ) để làm bài, xem đáp án và lời giải chi tiết không giới hạn.
Câu 188
Lời giải
Bạn cần đăng ký gói VIP ( giá chỉ từ 199K ) để làm bài, xem đáp án và lời giải chi tiết không giới hạn.
Câu 189
Lời giải
Bạn cần đăng ký gói VIP ( giá chỉ từ 199K ) để làm bài, xem đáp án và lời giải chi tiết không giới hạn.
Câu 190
Lời giải
Bạn cần đăng ký gói VIP ( giá chỉ từ 199K ) để làm bài, xem đáp án và lời giải chi tiết không giới hạn.
Đoạn văn 4
Trong một nghiên cứu, các sinh viên được yêu cầu sắp xếp mười bức tranh theo thứ tự mức độ hấp dẫn - với thỏa thuận là sau đó họ có thể giữ lại một bức tranh như là phần thưởng cho sự tham gia của họ. Năm phút sau, họ được cho hay là bức tranh được chấm điểm cao thứ ba đã hết. Sau đó họ được yêu cầu xem xét cả mười bức tranh lại từ đầu. Bức tranh đã bị hết bỗng nhiên được xếp hạng là đẹp nhất. Trong tâm lý học, hiện tượng này được gọi là “điện kháng”: khi ta bị tước mất một lựa chọn, ta bỗng nhiên thấy nó hấp dẫn hơn. Đây là một dạng phản kháng. Nó còn được biết đến với tên gọi “hiệu ứng Romeo và Juliet”: bởi vì tình yêu giữa hai cô cậu mới lớn của Shakespeare bị cấm đoán, nên nó càng trở nên mãnh liệt. Nỗi khao khát ấy không nhất thiết chỉ có trong tình yêu. Ở Mỹ, các bữa tiệc sinh viên tràn ngập những cô cậu tuổi teen say bí tỉ (độ tuổi được phép mua rượu tại Hoa Kì là từ 21 tuổi trở lên). Tại châu Âu, nơi độ tuổi cho phép uống rượu là mười tám, bạn lại không chứng kiến hành vi này.
(Rolf Dobelli, Nghệ thuật tư duy rành mạch, NXB Thế giới, Hưng Yên, 2023)
Câu 191
Lời giải
Bạn cần đăng ký gói VIP ( giá chỉ từ 199K ) để làm bài, xem đáp án và lời giải chi tiết không giới hạn.
Câu 192
Lời giải
Bạn cần đăng ký gói VIP ( giá chỉ từ 199K ) để làm bài, xem đáp án và lời giải chi tiết không giới hạn.
Câu 193
Lời giải
Bạn cần đăng ký gói VIP ( giá chỉ từ 199K ) để làm bài, xem đáp án và lời giải chi tiết không giới hạn.
Câu 194
Lời giải
Bạn cần đăng ký gói VIP ( giá chỉ từ 199K ) để làm bài, xem đáp án và lời giải chi tiết không giới hạn.
Câu 195
Lời giải
Bạn cần đăng ký gói VIP ( giá chỉ từ 199K ) để làm bài, xem đáp án và lời giải chi tiết không giới hạn.
Đoạn văn 5
Biết ơn những cánh sẻ nâu đã bay đến cánh đồng
Rút những cọng rơm vàng về kết tổ
Đá dạy ta với cánh diều thơ nhỏ
Biết kéo về cả một sắc trời xanh
Biết ơn mẹ vẫn tính cho con thêm một tuổi sinh thành
“Tuổi của mụ” con nằm tròn bụng mẹ
Để con quý yêu tháng ngày tuổi trẻ
Buổi mở mắt chào đời, phút nhắm mắt ra đi...
Biết ơn trò chơi tuổi nhỏ mê ly
“Chuyền chuyền một...” miệng, tay buông bắt
Ngôn ngữ lung linh, quả chuyền thoăn thoắt
Nên một đời tiếng Việt mãi ngân nga...
Biết ơn dấu chân bấm mặt đường xa
Những dấu chân trần, bùn nặng vết
Ta đi học quen dẫm vào không biết
Dáng cuộc đời in mãi dáng ta đi...
(Nguyễn Khoa Điềm, Lời chào, In trong Văn học Việt Nam thế kỉ XX (thơ ca 1945 – 1975), quyển bốn – tập VIII, NXB Văn học, Hà Nội, 2010)
Câu 196
Lời giải
Bạn cần đăng ký gói VIP ( giá chỉ từ 199K ) để làm bài, xem đáp án và lời giải chi tiết không giới hạn.
Câu 197
Lời giải
Bạn cần đăng ký gói VIP ( giá chỉ từ 199K ) để làm bài, xem đáp án và lời giải chi tiết không giới hạn.
Câu 198
Lời giải
Bạn cần đăng ký gói VIP ( giá chỉ từ 199K ) để làm bài, xem đáp án và lời giải chi tiết không giới hạn.
Câu 199
Lời giải
Bạn cần đăng ký gói VIP ( giá chỉ từ 199K ) để làm bài, xem đáp án và lời giải chi tiết không giới hạn.
Câu 200
Lời giải
Bạn cần đăng ký gói VIP ( giá chỉ từ 199K ) để làm bài, xem đáp án và lời giải chi tiết không giới hạn.
Đoạn văn 6
Mãi đến lúc này tôi mới nhận thấy bà cụ Mật vẫn mặc chiếc quần lụa đen, chiếc áo vải gụ đã sờn, và đầu vẫn quấn chiếc khăn nhung cũ hệt như ngày nào tôi gặp cụ ở làng. Nếu không có màu trắng của các đồ vật trong căn phòng sạch sẽ, lạnh lẽo ở tòa nhà kính gần ba chục tầng, và màu trắng của tuyết Chicagô những ngày cuối năm này, thì khó có thể hình dung bà cụ đang xa quê nhà hàng chục nghìn cây số, ở một đất nước có thể là no đủ, sung sướng đấy, nhưng vẫn buồn và xa lạ. Bất giác, tôi có cảm giác như bà cụ vừa đi cấy về, đang tỏm tẻm nhai trầu, trò chuyện với mẹ tôi, thì bỗng bị bàn tay vô hình nào đó bê nguyên xi sang đây, tách khỏi màu xanh quê hương làng xóm, khỏi những tập tục và việc làm vốn quen thuộc từ ngàn xưa, để tới cái thành phố khổng lồ, xám xịt và lạnh giá này. Cụ như cây mùng từ ao bùn Việt Nam bị nhổ bật rễ đem cấy xuống cánh đồng tuyết quê người. Và dù được giữ trong nhà kính ấm áp, được chăm sóc tốt, cây mùng ấy vẫn ngày một úa tàn, héo quắt. Đơn giản là do bị đặt nhầm chỗ.
- Nước Mỹ rộng và đẹp, bác có hay đi chơi, xem đây đó không? - Tôi hỏi.
- Không. Năm năm nay tôi không bước chân ra khỏi nhà.
Lúc lái ô tô đưa tôi về khách sạn, tôi hỏi anh Hòa vì sao như vậy. Anh nói có lẽ do cụ sợ. Chả là hôm mới đến, để cụ biết nước Mỹ là gì, anh đưa cụ lên tận tầng cuối cùng của tòa nhà Sears Tower 110 tầng, cao nhất thế giới. Cụ nhìn xuống chóng mặt suýt ngất. Khi xuống, thang máy chạy nhanh quá, cụ còn nôn cả ra tay áo con. Từ đấy anh rủ đi đâu, cụ nhất định không chịu.
- Bác có nhớ nhà không? Có muốn về thăm lại quê không? - tôi lại hỏi.
Bà cụ ngồi im hồi lâu, hai mắt lại rưng rưng đờ đẫn nhìn những cánh tuyết xốp rơi không dứt ngoài cửa sổ. Lần nữa bà cụ lại chìm trong thế giới những ý nghĩ đau buồn không dứt của mình. Tôi cũng kiên nhẫn ngồi im, không hỏi thêm câu nào nữa. Cuối cùng, cụ chậm chạp, khó nhọc đứng dậy từ chiếc ghế bành lớn màu trắng. Tôi định đỡ, nhưng cụ ra hiệu không cần. Và cũng chậm chạp, khó nhọc như vậy, cụ cởi chiếc áo gụ sờn đang mặc trên người, đút vào hai túi hai miếng trầu đã têm sẵn, cẩn thận vuốt thẳng từng thân áo, ống tay rồi gói vào một tờ báo. Cụ còn lấy một sợi len đỏ gấp bốn, cột chéo vuông vức như chiếc bánh chưng.
Xong, cụ kính cẩn đặt chiếc áo vào tay tôi. Lần này thì cụ khóc thực sự. Hai dòng nước mắt hiếm hoi từ từ lăn xuống và nhòe dần theo những lớp nhăn sâu trên khuôn mặt già nua khô quắt. Tôi cũng xúc động không kém và chỉ biết đứng im, chờ xem cụ định làm gì.
- Anh nói hộ với mẹ anh là tôi nhớ bà ấy lắm, nhớ bà con, làng xóm lắm. Bây giờ gặp anh đây, tôi có thể nhắm mắt được rồi. Tôi biết tôi chẳng còn sống bao lâu nữa, và chắc chắn sẽ phải chết ở cái xứ lạnh lẽo, xa lạ này. Vậy nhờ anh mang cái này về chôn cạnh mộ ông lão nhà tôi, có lẽ bây giờ đã được đưa về Rú Thần, trong nghĩa trang họ Hoàng mới xây như anh nói. Nếu được, bảo người ta đắp cho tôi nấm mộ giả cho có vợ có chồng. Ông ấy đỡ cô đơn, mà cũng đỡ tủi cho tôi...
(Thái Bá Tân, Tuyết lạnh, In trong Truyện ngắn chọn lọc, NXB Lao động, Hà Nội, 2013)
Câu 201
Lời giải
Bạn cần đăng ký gói VIP ( giá chỉ từ 199K ) để làm bài, xem đáp án và lời giải chi tiết không giới hạn.
Câu 202
Lời giải
Bạn cần đăng ký gói VIP ( giá chỉ từ 199K ) để làm bài, xem đáp án và lời giải chi tiết không giới hạn.
Câu 203
Lời giải
Bạn cần đăng ký gói VIP ( giá chỉ từ 199K ) để làm bài, xem đáp án và lời giải chi tiết không giới hạn.
Câu 204
Lời giải
Bạn cần đăng ký gói VIP ( giá chỉ từ 199K ) để làm bài, xem đáp án và lời giải chi tiết không giới hạn.
Câu 205
Lời giải
Bạn cần đăng ký gói VIP ( giá chỉ từ 199K ) để làm bài, xem đáp án và lời giải chi tiết không giới hạn.
Đoạn văn 7
Cơ quan phát điện chính của cá chình điện nằm ở phần thân, điện ở đuôi tạo ra yếu hơn và giữ vai trò định vị, định hướng bơi của cá. Điện áp phát ra từ một con cá chình Nam Mỹ trung bình là 550V, với con trưởng thành điện áp lên tới 750V.
Cá chình điện Nam Mỹ (Electrophorus electricus) hay còn gọi là Lươn điện (The electric Eel) sống ở phía Bắc Nam Mỹ chủ yếu ở lưu vực sông Amazon và sông Orinoco Peru, con trưởng thành có thể dài 2,5m nặng 20kg.
Chúng có vũ khí săn mồi đáng sợ, đó là cơ quan phát điện của cá (EOD electric organ discharges) được tổng hợp từ 3 phần: phần chính tích điện (Main Organ), phần săn mồi phát động điện (Hunter’s Organ) và phần đuôi định vị (Sach’s Organ).

Phân tích sâu cơ quan phát điện của cả, chúng ta sẽ thấy chúng là các lớp mỏng cơ bao quanh bởi một dịch trong và sệt, các lớp cơ tạo điện đồng bộ và dòng điện tổng phóng ra được điều khiển bởi não cá.
Tất cả chỉ diễn ra trong 3 mili giây \(\left( {\frac{3}{{1000}}s} \right)\) nhưng cá chình điện có thể phóng liên tục 150 lần trong một giờ mà không mệt mỏi. Do đó ít con mồi nào thoát khỏi miệng nó. Đã có trường hợp một con hoằng ngã lăn kềnh ra khi ghé miệng uống nước gần chỗ cả chình điện.
Người khi bị cá chình phóng điện có thể không chết và gượng dậy thoát được, nhưng nếu chậm chân không ra khỏi vùng nguy hiểm và lãnh sự phỏng điện lập lại liên tục từ cá, chúng ta có thể bị tử vong.
Ba phần cơ quan phát điện của cả sẽ tạo dòng điện sinh học, dòng điện này hình thành từ các pin sinh học gọi là bản điện (electroplaques) có suất điện động và điện trở nội . Bộ pin sắp xếp 140 dãy, mỗi dãy có 5000 bản điện trải dài theo thân cá. Chúng ta có thể lập mô hình tính toán như sau:
Suất điện động E của bộ pin gồm 5000 bản điện/dãy và 140 dãy song song chính là suất điện động của mỗi dãy.
Câu 206
Lời giải
Bạn cần đăng ký gói VIP ( giá chỉ từ 199K ) để làm bài, xem đáp án và lời giải chi tiết không giới hạn.
Câu 207
Lời giải
Bạn cần đăng ký gói VIP ( giá chỉ từ 199K ) để làm bài, xem đáp án và lời giải chi tiết không giới hạn.
Lời giải
Bạn cần đăng ký gói VIP ( giá chỉ từ 199K ) để làm bài, xem đáp án và lời giải chi tiết không giới hạn.
Đoạn văn 8
Nitrogen là nguyên tố dinh dưỡng quan trọng cho sinh vật, tuy nhiên hàm lượng nitrogen cao có thể gây ô nhiễm nước. Một nghiên cứu xác định hàm lượng ion ammonium trong nước bề mặt ở Đồng bằng Sông Cửu Long và so sánh với tiêu chuẩn (hàm lượng ) theo nguyên tắc sau:
- Chuẩn bị mẫu thử bằng cách pha loãng mẫu nước 10 lần.
- Ion được chuyển thành indophenol qua các phản ứng:

Cường độ màu (đậm/nhạt) của dung dịch A tỉ lệ thuận với lượng indophenol trong dung dịch. Khi đó máy đo cường độ màu có thể tính toán được hàm lượng indophenol, từ đó tính được hàm lượng trong mẫu đo. Kết quả cho thấy hàm lượng ion trong mẫu thử là 1,44 mg L-1.
- Các phản ứng cần thực hiện ở điều kiện pH trong khoảng từ 4 đến 13. Thiết bị chỉ đo được mẫu nước có hàm lượng nằm trong khoảng từ 0,26 đến 10,30 mg L-1.
(Tham khảo G.-J. Wilbers, M. Becker, L. T. Nga, Z. Sebesvári, and F. G. Renaud, "Spatial and temporal variability of surface water pollution in the Mekong Delta, Vietnam," Science of the Total Environment, vol. 485-486, pp. 653-665, Jul. 2014, doi: .scitotenv.2014.03.049)
Câu 209
Lời giải
Bạn cần đăng ký gói VIP ( giá chỉ từ 199K ) để làm bài, xem đáp án và lời giải chi tiết không giới hạn.
Câu 210
Lời giải
Bạn cần đăng ký gói VIP ( giá chỉ từ 199K ) để làm bài, xem đáp án và lời giải chi tiết không giới hạn.
Lời giải
Bạn cần đăng ký gói VIP ( giá chỉ từ 199K ) để làm bài, xem đáp án và lời giải chi tiết không giới hạn.
Đoạn văn 9
Phenylketonuria (PKU) là bệnh do đột biến gene lặn nằm trên nhiễm sắc thể thường quy định. Thể đột biến thiếu hụt enzyme phenylalanine hydroxylase khiến Phenylalanine (Phe) không được chuyển hóa thành Tyrosine (Tyr) gây nên sự thiếu hụt tyrosine - tiền chất quan trọng để sản xuất serotonin, catecholamine dẫn truyền thần kinh, melanin và hormone tuyến giáp. Hàm lượng phenylalanine tăng cao đầu độc các tế bào thần kinh của người bệnh dẫn đến làm bệnh nhân điên dại, mất trí. Cơ chế gây bệnh được mô tả trong hình vẽ dưới đây:

Câu 212
Lời giải
Bạn cần đăng ký gói VIP ( giá chỉ từ 199K ) để làm bài, xem đáp án và lời giải chi tiết không giới hạn.
Câu 213
Lời giải
Bạn cần đăng ký gói VIP ( giá chỉ từ 199K ) để làm bài, xem đáp án và lời giải chi tiết không giới hạn.
Câu 214
Lời giải
Bạn cần đăng ký gói VIP ( giá chỉ từ 199K ) để làm bài, xem đáp án và lời giải chi tiết không giới hạn.
Đoạn văn 10
Tháng 3 năm 1908, phong trào chống sưu thuế Trung Kỳ nổ ra, và bị triều Nguyễn và chính phủ bảo hộ Pháp đàn áp dữ dội. Phan Châu Trinh cùng nhiều thành viên trong phong trào Duy Tân bị nhà cầm quyền buộc tội đã khởi xướng phong trào chống thuế nên đều bị bắt.
Phan Châu Trinh bị bắt ở Hà Nội, giải về Huế. Tòa Khâm sứ Huế và Nam triều đều muốn khép ông vào tội chết. Nhưng nhờ sự can thiệp của những người Pháp có thiện chí và những đại diện của Hội Nhân quyền tại Hà Nội, họ buộc lòng phải kết ông án "trảm giam hậu, lưu tam thiên lý, ngộ xá bất nguyên" (nghĩa là tội chém nhưng chỉ giam lại, đày xa ba ngàn dặm, gặp ân xá cũng không cho về), rồi đày đi Côn Đảo ngày 4 tháng 4 năm 1908.
Nhờ dư luận trong nước và nhờ có sự vận động của Hội Nhân quyền ngay trên đất Pháp, đầu mùa hè năm 1910, Thống đốc Nam Kỳ theo lệnh của Toàn quyền Đông Dương ra Côn Lôn thẩm vấn riêng Phan Châu Trinh. Tháng 8 năm đó, ông được đưa về đất liền. Tại Sài Gòn, một hội đồng xử lại bản án cho ông được ân xá, nhưng buộc xuống Mỹ Tho chịu quản thúc. Ở đây, ông làm nhiều bài thơ về các nhân vật tên tuổi của Nam Kỳ.
(Lịch sử Việt Nam)
Câu 215
Lời giải
Bạn cần đăng ký gói VIP ( giá chỉ từ 199K ) để làm bài, xem đáp án và lời giải chi tiết không giới hạn.
Câu 216
Lời giải
Bạn cần đăng ký gói VIP ( giá chỉ từ 199K ) để làm bài, xem đáp án và lời giải chi tiết không giới hạn.
Câu 217
Lời giải
Bạn cần đăng ký gói VIP ( giá chỉ từ 199K ) để làm bài, xem đáp án và lời giải chi tiết không giới hạn.
Đoạn văn 11

(Atlat Địa lí Việt Nam, Nxb Giáo dục Việt Nam, 2024)
Câu 218
Lời giải
Bạn cần đăng ký gói VIP ( giá chỉ từ 199K ) để làm bài, xem đáp án và lời giải chi tiết không giới hạn.
Câu 219
Lời giải
Bạn cần đăng ký gói VIP ( giá chỉ từ 199K ) để làm bài, xem đáp án và lời giải chi tiết không giới hạn.
Câu 220
Lời giải
Bạn cần đăng ký gói VIP ( giá chỉ từ 199K ) để làm bài, xem đáp án và lời giải chi tiết không giới hạn.
Đoạn văn 12
The (631) __________ effect of volunteering on the lives of individuals can be profound. Voluntary work helps (632) ______________ independence and imparts the ability to deal with different situations, often simultaneously, thus teaching people how to work their way through different systems. It therefore brings people into touch with the real world; and, hence, equips them for the future.
Initially, young adults in their late teens might not seem to have the expertise or knowledge to impart to others that say a teacher or an agriculturalist or a nurse would have, but they do have many skills that can help others. And (633) _______________, their energy and enthusiasm can be harnessed for the benefit of their fellow human beings, and ultimately themselves. From all this, the gain to any community no matter how many volunteers are involved is (634) ______.
Employers will generally look favorably on people who have shown an ability to work as part of a team. It demonstrates a willingness to learn and an independent spirit (635) ______________.
Câu 221
Lời giải
Bạn cần đăng ký gói VIP ( giá chỉ từ 199K ) để làm bài, xem đáp án và lời giải chi tiết không giới hạn.
Câu 222
Lời giải
Bạn cần đăng ký gói VIP ( giá chỉ từ 199K ) để làm bài, xem đáp án và lời giải chi tiết không giới hạn.
Câu 223
Lời giải
Bạn cần đăng ký gói VIP ( giá chỉ từ 199K ) để làm bài, xem đáp án và lời giải chi tiết không giới hạn.
Câu 224
From all this, the gain to any community no matter how many volunteers are involved is (634) ______.
From all this, the gain to any community no matter how many volunteers are involved is (634) ______.
D. immeasurable
Lời giải
Bạn cần đăng ký gói VIP ( giá chỉ từ 199K ) để làm bài, xem đáp án và lời giải chi tiết không giới hạn.
Câu 225
Lời giải
Bạn cần đăng ký gói VIP ( giá chỉ từ 199K ) để làm bài, xem đáp án và lời giải chi tiết không giới hạn.
Đoạn văn 13
Advocates of the laws and journalists who cover the issue often neglect to ask what will replace plastic bags and what the environmental impact of that replacement will be. People still need bags and use them in various ways in their daily life. And the most common substitute, paper bags, may be just as bad or worse, depending on the environmental problem you are most concerned about.
That is leading to a split in the anti-bag movement. Some bills, like in Massachusetts, try to reduce the use of paper bags as well as plastic, but still favour paper. Others, like in New York City, treat all single-use bags equally. Even then, the question remains as to whether single-use bags are necessarily always worse than reusable ones.
Studies of bags' environmental impacts over their life cycle have reached widely varying conclusions. Some are funded by plastic industry groups, like the ironically named American Progressive Bag Alliance. Even studies conducted with the purest of intentions depend on any number of assumptions. How many plastic bags are replaced by one cotton tote bag? If a plastic bag is reused in the home as the garbage bag in a bathroom waste bin, does that reduce its footprint by eliminating the need for another small plastic garbage bag?
If your chief concern is climate change, things get even muddier. One of the most comprehensive research papers on the environmental impact of bags, published in 2007 by an Australian state government agency, found that paper bags have a higher carbon footprint than plastiC. That is primarily because more energy is required to produce and transport paper bags.
"People look at paper and say it's degradable, therefore it's much better for the environment, but it's not in terms of climate change impact," says David Tyler, a professor of chemistry at the University of Oregon who has examined the research on the environmental impact of bag use. The reasons for paper's higher carbon footprint are complex but can mostly be understood as stemming from the fact that paper bags are much thicker than plastic bags. "Very broadly, carbon footprints are proportional to mass of an object," says Tyler. For example, because paper bags take up so much more space, more trucks are needed to ship paper bags to a store than to ship plastic bags.
(Adapted from https://www.wired.com/)
Câu 226
Lời giải
Bạn cần đăng ký gói VIP ( giá chỉ từ 199K ) để làm bài, xem đáp án và lời giải chi tiết không giới hạn.
Câu 227
Lời giải
Bạn cần đăng ký gói VIP ( giá chỉ từ 199K ) để làm bài, xem đáp án và lời giải chi tiết không giới hạn.
Câu 228
D. Massachusetts bans both plastic and paper bags entirely, whereas New York City has no such restrictions.
Lời giải
Bạn cần đăng ký gói VIP ( giá chỉ từ 199K ) để làm bài, xem đáp án và lời giải chi tiết không giới hạn.
Câu 229
Lời giải
Bạn cần đăng ký gói VIP ( giá chỉ từ 199K ) để làm bài, xem đáp án và lời giải chi tiết không giới hạn.
Câu 230
Lời giải
Bạn cần đăng ký gói VIP ( giá chỉ từ 199K ) để làm bài, xem đáp án và lời giải chi tiết không giới hạn.
Đoạn văn 14
As anyone who has tried pointing their phone’s camera at a menu in a foreign country lately will know, machine translation has improved rapidly since the first days of Google Translate. The utility of AI-powered translation in situations like this is unquestionable – but the proposed use of AI in literary translation has been significantly more controversial.
The use of AI translation for commercial fiction has outraged both authors and translators – despite attempts to reassure them with promises that no books will be translated in this way without careful checking and that authors will have to give consent. Translators and authors have also pointed out that AI translation requires very careful checking and editing – ideally by someone who knows both languages. At that point, that person may as well be translating the text themselves. Cultural sensitivity is a particular concern, as AI has been known to produce things that are wildly inappropriate.
There are however some scenarios in which machine translation could arguably help the creators of cultural works. For writers working in minority languages, for instance, whose works are not currently translated into English or other languages at all, an AI-assisted translation could bring them to the attention of many more readers. And in video games, localisation can be one of the bigger costs for smaller independent developers, especially those for whom English is not a native language. AI translation of in-game text could theoretically help those developers reach a much larger audience, and help players who speak minority languages to enjoy their games more. But here, too, there are obvious limitations.
Dr Jack Ratcliffe is the designer and CEO of Noun Town, a mixed-reality language learning game, speaking to the locals in one of 40 supported languages. Noun Town has around 50,000 lines of dialogue, all of it translated and voice acted by humans, and checked by language teachers. The studio did experiment with AI translation and found that when they used it with languages other than English the results were significantly worse. “What we’ve found in our tests that going into English is actually OK, though nothing with AI is ever perfect,” he says. “These large language models have learned a lot of English but going into other languages, especially less popular languages, it gets more and more out there, more and more confused.”
Any game developer making a game with lots of words and dialogue, then, is looking at a high localisation cost – and presumably cares about the meaning and nuance of those words as much as the author of a book. When it comes to how people feel about AI translation, there is a definite distinction between utility and craft. Few object to using AI in the same way as a dictionary, to discern meaning. But translators, of course, do much more than that.
(Adapted from https://www.theguardian.com/)
Câu 231
Lời giải
Bạn cần đăng ký gói VIP ( giá chỉ từ 199K ) để làm bài, xem đáp án và lời giải chi tiết không giới hạn.
Câu 232
Lời giải
Bạn cần đăng ký gói VIP ( giá chỉ từ 199K ) để làm bài, xem đáp án và lời giải chi tiết không giới hạn.
Câu 233
Lời giải
Bạn cần đăng ký gói VIP ( giá chỉ từ 199K ) để làm bài, xem đáp án và lời giải chi tiết không giới hạn.
Câu 234
Lời giải
Bạn cần đăng ký gói VIP ( giá chỉ từ 199K ) để làm bài, xem đáp án và lời giải chi tiết không giới hạn.
Câu 235
Lời giải
Bạn cần đăng ký gói VIP ( giá chỉ từ 199K ) để làm bài, xem đáp án và lời giải chi tiết không giới hạn.






























