Đề minh họa thi vào lớp 10 môn Toán (chuyên) năm 2026 Sở GD&ĐT Đồng Tháp có đáp án
137 người thi tuần này 4.6 137 lượt thi 7 câu hỏi 60 phút
Bạn cần đăng ký gói VIP ( giá chỉ từ 199K ) để làm bài, xem đáp án và lời giải chi tiết không giới hạn.
🔥 Học sinh cũng đã học
Đề thi thử vào lớp 10 Toán (chung) Sở GD&ĐT Lạng Sơn lần 1 năm 2026-2027 có đáp án
Đề minh họa thi vào lớp 10 môn Toán (chuyên) năm 2026 Sở GD&ĐT Đồng Tháp có đáp án
Đề minh họa thi vào lớp 10 môn Toán (chung) năm 2026 Sở GD&ĐT Đồng Tháp có đáp án
Đề thi thử vào lớp 10 trường THCS Văn Quán (Hà Nội) năm 2025-2026 Tháng 12 có đáp án
Đề thi thử vào lớp 10 Toán trường THCS Phú Diễn (Hà Nội) năm 2025-2026 Tháng 12 có đáp án
Đề thi thử vào lớp 10 Toán trường THCS Lê Lợi (Hà Nội) năm 2025-2026 Tháng 12 có đáp án
Đề thi thử vào lớp 10 trường THCS Thịnh Quang (Hà Nội) năm 2025-2026 Tháng 9 có đáp án
Đề thi tuyển sinh vào lớp 10 môn Toán Sở GD&ĐT Đắk Nông năm học 2025-2026 có đáp án
Danh sách câu hỏi:
Câu 1
(4,0 điểm).
Cho số thực \(a = \sqrt {17 - 12\sqrt 2 } + 2\sqrt 2 + 6\) và biểu thức
\(P\left( x \right) = \left( {\frac{1}{{x - 4}} + \frac{{3\sqrt x + 10}}{{x\sqrt x - 2x - 4\sqrt x + 8}}} \right)\left( {\frac{{{{\left( {\sqrt x + 2} \right)}^2}}}{{2\sqrt x }} - 4} \right)\) với \(x > 0\) và \(x \ne 4\).
a) Rút gọn \(a\) và \(P\left( x \right)\), sau đó tính giá trị của biểu thức \(P\left( x \right)\) tại \(x = a\).
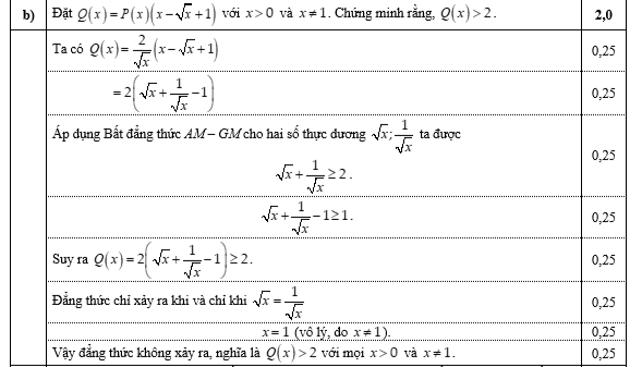
b) Đặt \(Q\left( x \right) = P\left( x \right)\left( {x - \sqrt x + 1} \right)\) với \(x > 0\) và \(x \ne 1\). Chứng minh rằng \(Q\left( x \right) > 2\).
(4,0 điểm).
Cho số thực \(a = \sqrt {17 - 12\sqrt 2 } + 2\sqrt 2 + 6\) và biểu thức
\(P\left( x \right) = \left( {\frac{1}{{x - 4}} + \frac{{3\sqrt x + 10}}{{x\sqrt x - 2x - 4\sqrt x + 8}}} \right)\left( {\frac{{{{\left( {\sqrt x + 2} \right)}^2}}}{{2\sqrt x }} - 4} \right)\) với \(x > 0\) và \(x \ne 4\).
a) Rút gọn \(a\) và \(P\left( x \right)\), sau đó tính giá trị của biểu thức \(P\left( x \right)\) tại \(x = a\).
b) Đặt \(Q\left( x \right) = P\left( x \right)\left( {x - \sqrt x + 1} \right)\) với \(x > 0\) và \(x \ne 1\). Chứng minh rằng \(Q\left( x \right) > 2\).
Lời giải


Lời giải
Bạn cần đăng ký gói VIP ( giá chỉ từ 199K ) để làm bài, xem đáp án và lời giải chi tiết không giới hạn.
Lời giải
Bạn cần đăng ký gói VIP ( giá chỉ từ 199K ) để làm bài, xem đáp án và lời giải chi tiết không giới hạn.






