Đề thi tuyển sinh vào lớp 10 môn Toán năm 2023-2024 Chuyên Sư Phạm có đáp án
28 người thi tuần này 4.6 118 lượt thi 4 câu hỏi 45 phút
Bạn cần đăng ký gói VIP ( giá chỉ từ 250K ) để làm bài, xem đáp án và lời giải chi tiết không giới hạn.
🔥 Học sinh cũng đã học
Đề minh họa thi vào lớp 10 môn Toán (chuyên) năm 2026 Sở GD&ĐT Đồng Tháp có đáp án
Đề thi thử vào lớp 10 môn Toán (chung) năm 2026 Sở GD&ĐT Lạng Sơn lần 1 có đáp án
Đề minh họa thi vào lớp 10 môn Toán (chuyên) năm 2026 Sở GD&ĐT Đồng Tháp có đáp án
Đề minh họa thi vào lớp 10 môn Toán (chung) năm 2026 Sở GD&ĐT Đồng Tháp có đáp án
Đề thi thử vào lớp 10 môn Toán năm 2026 trường THCS Văn Quán (Hà Nội) Tháng 12/2025 có đáp án
Đề thi thử vào lớp 10 môn Toán năm 2026 trường THCS Phú Diễn (Hà Nội) Tháng 12/2025 có đáp án
Đề thi thử vào lớp 10 môn Toán năm 2026 trường THCS Lê Lợi (Hà Nội) Tháng 12/2025 có đáp án
Đề thi thử vào lớp 10 môn Toán năm 2026 trường THCS Thịnh Quang (Hà Nội) Tháng 9/2025 có đáp án
Danh sách câu hỏi:
Lời giải
1) Gọi 4 số nguyên liên tiếp bất kỳ là a, a + 1 , a + 2 a + 3 với a in mathbb Z Ta có các biến đổi:
\(a\left( {a + 1} \right)\left( {a + 2} \right)\left( {a + 3} \right) + 1 = \left( {{a^2} + 3a} \right)\left( {{a^2} + 3a + 2} \right) + 1\)
\( = {({a^2} + 3a)^2} + 2\left( {{a^2} + 3a} \right) + 1\)
\( = {({a^2} + 3a + 1)^2}\)
Vì\(\;\;\;{({a^2} + 3a + 1)^2}\) là một số chính phương nên bài toán được chứng minh.
2) Bằng các phép biến đổi ta được hệ phương trình sau
\(\left\{ {\begin{array}{*{20}{c}}{2xy - x = 10}\\{x + y + xy = 12}\end{array} \Leftrightarrow } \right.\) \(\left\{ {\begin{array}{*{20}{c}}{x\left( {2y - 1} \right) = 10}\\{\left( {x + 1} \right)\left( {y + 1} \right) = 12}\end{array}\;\;\;\;\;\left( 1 \right)} \right.\)
Vì 2, y nguyên nên x , 2y - 1 nguyên do đó 2y - 1 là ước lẻ của 10. Ta xét các trường hợp sau.
· 2y - 1 = 1 suy ra y = 1 và x = 10 thay vào (1) không thỏa mãn.
· 2y - 1 = - 1 suy ra y = 0 và x = - 10 thay vào (1) ta thấy không thỏa mãn.
· 2y - 1 = 5 suy ra y = 3 và x = 2 thay vào (1) ta thấy thỏa mãn.
· 2y - 1 = - 5 suy ra y = - 2 và x = - 2 thay vào (1) ta thấy không thỏa mãn.
Vậy cặp số nguyên (x,y) thỏa mãn duy nhất là (x, y) = (2, 3) .
Lời giải
a) Bằng các phép biến đổi biểu thức kết hợp với a, b không âm và c thực dương, ta có:
\(\sqrt a - \sqrt {a + b - c} = \sqrt b + \sqrt c \)
\(\;\;\;\;\;\;\; \Leftrightarrow \sqrt a - \sqrt b = \sqrt c + \sqrt {a + b - c} \)
\( \Leftrightarrow a + b - 2\sqrt {ab} = a + b + 2\sqrt {c\left( {a + b - c} \right)} \)
\( \Leftrightarrow \sqrt {ab} + \sqrt {c\left( {a + b - c} \right)} = 0\)
\( \Leftrightarrow \left\{ {\begin{array}{*{20}{c}}{ab = 0}\\{\left( {a + b - c} \right) = 0}\end{array}} \right.\) (*)
Ta cần chứng minh
\(\sqrt[3]{a} + \sqrt[3]{b} - \sqrt[3]{c} = \sqrt[3]{{a + b - c}}\)
Ta biến đổi tương đương đẳng thức này kết hợp với a, b không âm và c thực dương, ta có:
\(\sqrt[3]{a} + \sqrt[3]{b} - \sqrt[3]{c} = \sqrt[3]{{a + b - c}}\)
\( \Leftrightarrow \sqrt[3]{a} + \sqrt[3]{b} = \sqrt[3]{c} + \sqrt[3]{{a + b - c}}\)
\( \Leftrightarrow a + b + 3\left( {\sqrt[3]{{{a^2}b}} + \sqrt[3]{{a{b^2}}}} \right) = a + b + 3\left( {\sqrt[3]{{{c^2}\left( {a + b - c} \right)}} + \sqrt[3]{{c{{(a + b - c)}^2}}}} \right)\)
\( \Leftrightarrow \left( {\sqrt[3]{{{a^2}b}} + \sqrt[3]{{a{b^2}}}} \right) = \left( {\sqrt[3]{{{c^2}\left( {a + b - c} \right)}} + \sqrt[3]{{c{{(a + b - c)}^2}}}} \right)\)
Đẳng thức cuối đúng với điều kiện (*) nên đẳng thức đầu đúng. Bài toán được chứng minh.
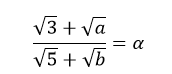
b) Lấy sao cho

Viết lại phương trình dưới dạng

Bình phương 2 vế ta có:
\(a + {\alpha ^2}b - 2\alpha \sqrt {ab} = 5{\alpha ^2} - 2\alpha \sqrt {15} \)
Từ đó suy ra
\(\sqrt {ab} - \sqrt {15} = \beta \in \mathbb{Q}\)
Bình phương 2 vế đẳng thức \(\sqrt {ab} - \sqrt {15} + \beta \) ta được
\(ab = 15 + {\beta ^2} + 2\beta \sqrt {15} \)
\( \Leftrightarrow 2\beta \sqrt {15} = ab - 15 - {\beta ^2}\)
Đẳng thức cuối xảy ra khi và chỉ khi \(\beta \) = 0 tức là ab = 15 . Xét tất cả khả năng có thể xảy ra, ta được.
· a = 1 , b = 15 tức là \(\alpha = \frac{{\sqrt 3 + 1}}{{\sqrt 5 + \sqrt {15} }} = \frac{1}{{\sqrt {5\;} }}\;\)là1 số vô tỷ.
· a = 3, b = 5 tức là \(\alpha = \frac{{2\sqrt 3 }}{{2\sqrt 5 }} = \frac{{\sqrt 3 }}{{\sqrt {5\;} }}\;\;\)là 1 số vô tỷ.
· a = 5, b = 3 tức là \(\alpha = \frac{{\sqrt 3 + \sqrt 5 }}{{\sqrt 5 + \sqrt 3 }} = 1\) là 1 số hữu tỷ.
· a = 15 , b = 1 , tức là \(\alpha = \frac{{\sqrt 3 + \sqrt {15} }}{{\sqrt 5 + 1}} = \sqrt 3 \), 1 số vô tỷ.
Vậy tất cả các cặp (a,b) thỏa mãn là a = 5 b = 3 .
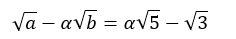
Các bạn có thể tham khảo bài toán gốc của câu 26) như sau. Tìm tất cả các số nguyên dương a, b sao cho số
\(\frac{{\sqrt 2 + \sqrt a }}{{\sqrt 3 + \sqrt b }}\)
là số hữu tỷ.
Lời giải
a) Vì AM là phân giác ngoài \(\widehat {BAC}\) . AI là phân giác trong góc A nên AI \( \bot \) AM mà GE // AI nên EG // AM hay GE // MN . Bài toán được chứng minh.
b) Gọi \({P_1}\) là giao của NE và đường tròn (I) thì từ EG // MN, ta có:
\(\widehat {AN{P_1}} = \widehat {ANE} = \widehat {{P_1}EG} = \widehat {{P_1}GA}\)
Do đó tứ giác ANGP, nội tiếp kết hợp với tứ giác DG\({P_1}E\) nội tiếp, ta có
\(\widehat {{P_1}EM} = \widehat {{P_1}GD} = \widehat {NA{P_1}} = 180^\circ - \widehat {{P_1}GA}\)
Suy ra tứ giác MA\({P_1}E\) nội tiếp kết hợp với EG // MN và tứ giác ANG\({P_1}\) nội tiếp, ta có:
\(\widehat {G{P_1}M} = \widehat {A{P_1}M} + \widehat {A{P_1}G} = \widehat {AEM} + \widehat {A{P_1}G} = \widehat {DGE} + \widehat {A{P_1}G} = \widehat {GNA} + \widehat {A{P_1}G} = \;180^\circ \)
Do đó ta được 3 điểm G, \({P_1},\) M thẳng hàng. Vì vậy nên \({P_1}\) trùng P. Nói cách khác MG, NE cắt nhau tại 1 điểm P nằm trên (I). Bài toán được chứng minh.
Lời giải
Cách 1. Đánh số vào các hình lục giác như hình vẽ.

Ta xét một hình lục giác được điền số \({a_i}\;\;\)thì \({a_i} \equiv {b_i}\) (mod 2) trong đó \({b_i}\) là tổng các số được điền trong các hình lục giác chung cạnh với hình lục giác đang xét. Do đó, khi đổi màu theo đề bài thì số dư trong phép chia cho 2 của tổng các số trong các hình lục giác tô đen luôn không đổi.
Đối với hình 1 thì số dư này bằng 1, còn đối với hình 2 thì số dư này bằng 0 nên không thể có cách đổi màu nào biến hình 1 thành hình 2.
Cách 2.

Xét các ô 2,3,5,6. Mỗi bước ta đổi màu hai hoặc cả bốn ô đó nên số ô đen không thay đổi tính chẵn, lẻ. Ban đầu trong bốn ô nói trên có hai ô đen nên không thể có trạng thái trong bốn ô đó có đúng một ô đen.